Abstract
Purpose
In 2014, the Korean Government passed the Gender Equality Act, which was accompanied by policies to increase women’s participation in the labour force and representation in positions of power in the public and private sectors. While Korea has witnessed modest progress in macro-level gender equality, little is known about the effects of these changes on mental health outcomes. Our study investigated the relationship between regional-level gender equality (as measured by women’s economic and political power) and women’s depressive symptoms from 2013–18, and whether the effects differed across women from different socioeconomic positions.
Methods
To examine how change over time in political and economic power influences the severity of depressive symptoms, we applied a fixed-effect regression, using a nationally representative sample for women aged 19–64 (n = 9,589) from the Korean Longitudinal Survey of Women and Families (2013–2018, wave 4 to 6) residing across the 16 regions of South Korea.
Results
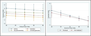
Our study found that increases in women’s political and economic power led to moderate reductions in depressive symptoms (–0.25 and –0.23 points in CESD respectively). Sensitivity analyses indicate that economic power is more consistently associated with subsequent reductions in CESD. The effect of economic and political power on depressive symptoms did not differ by women’s socioeconomic positions.
Conclusions
Our findings suggest that even modest improvements in gender equality were associated with increases in women’s mental health. Further progress to ensure gender equality, such as the anti-discrimination legislation, may lead to greater improvements in public mental health.


Data availability
The Korean Longitudinal Survey of Women and Families is publicly available from the Korean Women’s Development Institute website.
References
Stepanikova I, Acharya S, Abdalla S et al (2020) Gender discrimination and depressive symptoms among child-bearing women: ELSPAC-CZ cohort study. E Clin Med 20:100297
Chen Y-Y, Subramanian SV, Acevedo-Garcia D, Kawachi I (2005) Women’s status and depressive symptoms: a multilevel analysis. Soc Sci Med 60:49–60
McLaughlin KA, Xuan Z, Subramanian SV, Koenen KC (2011) State-level women’s status and psychiatric disorders among US women. Soc Psychiatr Psychiatr Epidemiol 46:1161–1171
Van de Velde S, Huijts T, Bracke P, Bambra C (2013) Macro-level gender equality and depression in men and women in Europe. Sociol Health Illn 35:682–698
Kim Y-J, Kim S (2020) Relational ethics as a cultural constraint on fathers’ parental leave in a Confucian welfare state, South Korea. Soc Policy Adm 54:684–698
Soh C-HS (1993) Sexual equality, male superiority, and Korean women in politics: changing gender relations in a “patriarchal democracy.” Sex Roles 28:73–90
Kim KH, Rou SY, Ali TIMTM, Kim J (2019) Female stereotyping and gender socialization through proverbs and idioms: a comparative Study of Malaysia and Korea. Asian Women 35:25–44
Kim H (2021) Abolishment of hojuje. East Asia young act. Netw. Program. http://eayan.org/2021/01/abolishment-of-hojuje/. Accessed 27 July 2022
Oh J (2007) Women’s political participation and the change of family law: a case study of the abolition process of family head system (the Hojuje) in Korea. Asian Women 23:97–121
Son S (2014) Korean divorced mothers’ experiences with child support from noncustodial fathers. Int J Hum Ecol 15:38–50
Cho Y, Kang H, Park J (2017) Korean women in leadership: Challenges and opportunities. In: Cho Y, Ghosh R (eds) Current perspectives on Asian women in leadership. Springer, cham, pp 87–106
OECD (2012) Closing the gender gap: Act now. OECD Publishing Paris. https://www.oecd.org/els/family/closingthegap.htm. Accessed 27 July 2022
Kim J, Lee J-W, Shin K (2018) Gender inequality and economic growth in Korea. Pac Econ Rev 23:658–682
Mansury Y, Baek K-H (2019) Gender inequality among urban households in South Korea. Reg Sci Policy Pract 11:23–38
Kim J, Lee J-W, Shin K (2016) Impact of gender inequality on the Republic of Korea’s long-term economic growth: an application of the theoretical model of gender inequality and economic growth. SSRN Electron J. https://doi.org/10.2139/ssrn.2737837
Ministry of strategy and finance (2014) 3-year plan for economic innovation. Seoul, Korea. https://english.moef.go.kr/popup/14_PolicyFocusBanner_20140401/popup.html. Accessed 27 July 2022
Ministry of gender equality and family (2019) Research on regional level gender equality. https://www.korea.kr/archive/expDocView.do?docId=38981. Accessed 27 July 2022
World economic forum (2021) Global gender gap report 2021. https://www.weforum.org/reports/global-gender-gap-report-2021/. Accessed 27 July 2022
OECD (2018) Suicide rates. https://doi.org/10.1787/a82f3459-en
Kim I-H, Muntaner C, Khang Y-H et al (2006) The relationship between nonstandard working and mental health in a representative sample of the South Korean population. Soc Sci Med 63:566–574. https://doi.org/10.1016/j.socscimed.2006.02.004
King TL, Kavanagh A, Scovelle AJ, Milner A (2020) Associations between gender equality and health: a systematic review. Health Promot Int 35:27–41
Kuehner C (2017) Why is depression more common among women than among men? Lancet Psychiatr 4:146–158
Yllo K (1983) Sexual equality and violence against wives in American states. J Comp Fam Stud 14:67–86
Simon RW (2014) Twenty years of the sociology of mental health The continued significance of gender and marital status for emotional well-being In: Robert J. Johnson, R. Jay Turner, (eds) Sociology of mental health. Springer, NY. pp 21–51.
Vigod SN, Rochon PA (2020) The impact of gender discrimination on a woman’s mental health. E Clinical Medicine 20:100311–100311
Coe I (2019) Feminism is for everybody. Lancet 393:493
Syed IU (2021) Feminist Political Economy of Health: Current Perspectives and Future Directions. Healthc Multidiscip Digit Publ Instit 9(3):233
Kawachi I, Kennedy BP, Gupta V, Prothrow-Stith D (1999) Women’s status and the health of women and men: a view from the States. Soc Sci Med 48:21–32
Homan P (2017) Political gender inequality and infant mortality in the United States, 1990–2012. Soc Sci Med 182:127–135
Backhans MC, Lundberg M, Månsdotter A (2007) Does increased gender equality lead to a convergence of health outcomes for men and women? a study of Swedish municipalities. Soc Sci Med 64:1892–1903
Bilal U, Beltrán P, Fernández E et al (2016) Gender equality and smoking: a theory-driven approach to smoking gender differences in Spain. Tob Control 25:295–300
Dahlin J, Härkönen J (2013) Cross-national differences in the gender gap in subjective health in Europe: does country-level gender equality matter? Soc Sci Med 98:24–28
Yu M-Y, Sarri R (1997) Women’s health status and gender inequality in China. Soc Sci Med 45:1885–1898. https://doi.org/10.1016/S0277-9536(97)00127-5
Yu S (2018) Uncovering the hidden impacts of inequality on mental health: a global study. Transl Psychiatr 8:1–10
Gunasekara FI, Richardson K, Carter K, Blakely T (2014) Fixed effects analysis of repeated measures data. Int J Epidemiol 43:264–269. https://doi.org/10.1093/ije/dyt221
The Korean longitudinal survey of women and families (2012) Overview. Seoul, Korea. https://klowf.kwdi.re.kr/portal/eng/mainPage.do?. Accessed 27 July 2022
Williams MW, Li C-Y, Hay CC (2020) Validation of the 10-item center for epidemiologic studies depression scale post stroke. J Stroke Cerebrovasc Dis 29:105334. https://doi.org/10.1016/j.jstrokecerebrovasdis.2020.105334
Edwards SR, Bradshaw KA, Hinsz VB (2014) Denying rape but endorsing forceful intercourse: exploring differences among responders. Violence Gend 1:188–193
Ministry of gender equality and family (2018) A study on the status of single-parent families. Seoul, Korea. http://www.mogef.go.kr/mp/pcd/mp_pcd_s001d.do?mid=plc503&bbtSn=704815. Accessed 27 July 2022
Mansournia MA, Nazemipour M, Naimi AI et al (2021) Reflection on modern methods: demystifying robust standard errors for epidemiologists. Int J Epidemiol 50:346–351
Blumberg RL, Coleman MT (1989) A theoretical look at the gender balance of power in the American couple. J Fam Issues 10:225–250
Statistics Korea (2021) Official statistics. https://index.go.kr/smart/mbl/chart_view.do?idx_cd=1588. Accessed 27 July 2022
Thomas S, Welch S (2001) The impact of women in state legislatures. Impact Women Public Off 1:166–181
Carroll SJ (1984) Woman candidates and support for feminist concerns: the closet feminist syndrome. West Polit Q 37:307–323
Rauhala E (2012) The strongman’s daughter. TIME magazine. http://content.time.com/time/covers/asia/0,16641,20121217,00.html. Accessed 27 July 2022
Chung W, Kim R (2015) Are married men healthier than single women? a gender comparison of the health effects of marriage and marital satisfaction in East Asia. PLoS ONE 10:e0134260
Yip PS, Chen Y-Y, Yousuf S et al (2012) Towards a reassessment of the role of divorce in suicide outcomes: evidence from five pacific rim populations. Soc Sci Med 75:358–366
Kim H-K (2009) Analyzing the gender division of labor: The cases of the United States and South Korea. Asian Perspect 33:181–229
Fraser N (1996) Justice Interruptus: Critical Reflections on the “Postsocialist” Condition. Routledge
Kim C, Nielsen A, Teo C, Chum A (2022) Social movement and mental health of Korean women sexual violence survivors, 2012–2019. Am J Public Health (Accepted for publication in American Journal of Public Health on May 6th, 2022). http://ssrn.com/abstract=4115815
Chase T (2012) Problems of publicity: Online activism and discussion of same-sex sexuality in South Korea and China. Asian Stud Rev 36:151–170
Funding
Funding for this study and the principal investigator, Antony Chum, are supported by the Canada Research Chair programme (CRC-2021–00269). The funding agencies had no role in the design and conduct of the study; the collection, management, analysis or interpretation of the data; the preparation, review or approval of the manuscript; or the decision to submit the manuscript for publication.
Author information
Authors and Affiliations
Contributions
CK and AC conceived the study, CK, CT, AN and AC drafted the first versions of the manuscript, and CK performed the data management and statistical analyses. Funding was provided by AC for the study. All authors contributed to the design of the study and the interpretation of data, contributed important intellectual content to the manuscript and have approved the final version to be published.
Corresponding author
Ethics declarations
Conflict of interest
On behalf of all authors, the corresponding author states that there is no conflict of interest.
Supplementary Information
Below is the link to the electronic supplementary material.
Rights and permissions
Springer Nature or its licensor holds exclusive rights to this article under a publishing agreement with the author(s) or other rightsholder(s); author self-archiving of the accepted manuscript version of this article is solely governed by the terms of such publishing agreement and applicable law.
About this article
Cite this article
Kim, C., Teo, C., Nielsen, A. et al. Macro-level gender equality and women’s depressive symptoms in South Korea: a longitudinal study. Soc Psychiatry Psychiatr Epidemiol 58, 383–393 (2023). https://doi.org/10.1007/s00127-022-02335-6
Received:
Accepted:
Published:
Issue Date:
DOI: https://doi.org/10.1007/s00127-022-02335-6