Skip to main content

Depression risk and body mass index among immigrants and non-immigrants in Canada: results from the Canadian Community Health Surveys, 2010–2014

Abstract

Purpose

Obesity has been associated with an increased risk of the depression in the general population, but it is unknown whether this relationship applies equally to immigrants as well as non-immigrants. Furthermore, the nature of the relationship is uncertain, is it direct or curvilinear? The aim of this study is to examine the relationship between body mass index and major depressive episode among immigrants and non-immigrants.

Methods

To provide more statistically robust data, a series of cross-sectional health surveys of the Canadian population for the 5 years 2010–2014 were pooled to increase the number of immigrants in the study. Restricted cubic splines analysis was used to examine the nature of the association.

Results

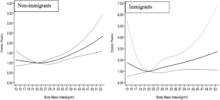
Immigrants had lower 12-month depression and obesity prevalence rates than non-immigrants. In addition, it was found that non-immigrants were more likely to develop depression than immigrants, OR = 1.40 (95% CI, 1.16–1.67). Obese respondents were more likely to develop depression than normal weight respondents in both immigrant (OR = 1.55; 95% CI, 1.03–2.32) and non-immigrant groups (OR = 1.23; 95% CI, 1.15–1.32). A significant nonlinear elongated J-shaped association between obesity and depression was found for both immigrants and non-immigrants with increased risk of depression in obese individuals.

Conclusion

Culture-specific, clinical-based interventions should be developed to improve the early identification, treatment and recovery of individuals with a high BMI particularly among those with BMIs in the obese range.

This is a preview of subscription content, access via your institution.

Fig. 1
Fig. 2

References

  1. Luppino FS, de Wit LM, Bouvy PF, Stijnen T, Cuijpers P, Penninx BW, Zitman FG (2010) Overweight, obesity, and depression: a systematic review and meta-analysis of longitudinal studies. Arch Gen Psychiatry 67(3):220–229

    PubMed  Google Scholar 

  2. De Wit LM, Van Straten A, Van Herten M, Penninx BW, Cuijpers P (2009) Depression and body mass index, a u-shaped association. BMC Public Health 9(1):14

    PubMed  PubMed Central  Google Scholar 

  3. Tjepkema M (2006) Adult obesity. Health Rep 17(3):9–25

    PubMed  Google Scholar 

  4. Pearson C JT, Ali J (2013) Mental and substance use disorders in Canada. Statistics Canada Ottawa 2013

  5. Richard A, Rohrmann S, Lohse T, Eichholzer M (2016) Is body weight dissatisfaction a predictor of depression independent of body mass index, sex and age? Results of a cross-sectional study. BMC Public Health 16(1):863

    PubMed  PubMed Central  Google Scholar 

  6. Chen Y, Jiang Y, Mao Y (2009) Association between obesity and depression in Canadians. J Womens Health 18(10):1687–1692

    Google Scholar 

  7. Gariepy G, Wang J, Lesage AD, Schmitz N (2010) The longitudinal association from obesity to depression: results from the 12-year national population health survey. Obesity 18(5):1033–1038

    CAS  PubMed  Google Scholar 

  8. Jung SJ, Woo H-t, Cho S, Park K, Jeong S, Lee YJ, Kang D, Shin A (2017) Association between body size, weight change and depression: systematic review and meta-analysis. Br J Psychiatry 211(1):14–21

    PubMed  Google Scholar 

  9. Mannan M, Mamun A, Doi S, Clavarino A (2016) Is there a bi-directional relationship between depression and obesity among adult men and women? Systematic review and bias-adjusted meta analysis. Asian J Psychiatr 21:51–66

    PubMed  Google Scholar 

  10. Mannan M, Mamun A, Doi S, Clavarino A (2016) Prospective associations between depression and obesity for adolescent males and females-a systematic review and meta-analysis of longitudinal studies. PLoS One 11(6):e0157240

    PubMed  PubMed Central  Google Scholar 

  11. Blüher M (2019) Obesity: global epidemiology and pathogenesis. Nat Rev Endocrinol 15(5):288

    PubMed  PubMed Central  Google Scholar 

  12. Jung SJ, Woo H-t, Cho S, Park K, Jeong S, Lee YJ, Kang D, Shin A (2018) Association between body size, weight change and depression: systematic review and meta-analysis. Br J Psychiatry 211(1):14–21. https://doi.org/10.1192/bjp.bp.116.186726

    Article  Google Scholar 

  13. Kim J, Noh JW, Park J, Kwon YD (2014) Body mass index and depressive symptoms in older adults: a cross-lagged panel analysis. PLoS One 9(12):e114891. https://doi.org/10.1371/journal.pone.0114891

    CAS  Article  PubMed  PubMed Central  Google Scholar 

  14. Johnston E, Johnson S, McLeod P, Johnston M (2004) The relation of body mass index to depressive symptoms. Can J Public Health 95(3):179–183

    PubMed  PubMed Central  Google Scholar 

  15. Dong C, Sanchez L, Price R (2004) Relationship of obesity to depression: a family-based study. Int J Obes 28(6):790

    CAS  Google Scholar 

  16. Xiang X, An R (2015) Obesity and onset of depression among U.S. middle-aged and older adults. J Psychosom Res 78(3):242–248. https://doi.org/10.1016/j.jpsychores.2014.12.008

    Article  PubMed  Google Scholar 

  17. Hicken MT, Lee H, Mezuk B, Kershaw KN, Rafferty J, Jackson JS (2013) Racial and ethnic differences in the association between obesity and depression in women. J Womens Health (Larchmt) 22(5):445–452. https://doi.org/10.1089/jwh.2012.4111

    Article  Google Scholar 

  18. De Maio FG (2010) Immigration as pathogenic: a systematic review of the health of immigrants to Canada. Int J Equity Health 9(1):27

    PubMed  PubMed Central  Google Scholar 

  19. Chen J, Ng E, Wilkins R (1996) The health of Canada's immigrants in 1994–95. Health Rep 7:33–46

    CAS  PubMed  Google Scholar 

  20. Setia MS, Quesnel-Vallee A, Abrahamowicz M, Tousignant P, Lynch J (2009) Convergence of body mass index of immigrants to the Canadian-born population: evidence from the National Population Health Survey (1994–2006). Eur J Epidemiol 24(10):611–623. https://doi.org/10.1007/s10654-009-9373-4

    Article  PubMed  PubMed Central  Google Scholar 

  21. Lincoln KD, Abdou CM, Lloyd D (2014) Race and socioeconomic differences in obesity and depression among Black and non-Hispanic White Americans. J Health Care Poor Underserved 25(1):257–275. https://doi.org/10.1353/hpu.2014.0038

    Article  PubMed  PubMed Central  Google Scholar 

  22. Acevedo MC (2000) The role of acculturation in explaining ethnic differences in the prenatal health-risk behaviors, mental health, and parenting beliefs of Mexican American and European American at-risk women. Child Abuse Negl 24(1):111–127

    CAS  PubMed  Google Scholar 

  23. Arroyo-Johnson C, Mincey KD (2016) Obesity epidemiology worldwide. Gastroenterol Clin North Am 45(4):571–579. https://doi.org/10.1016/j.gtc.2016.07.012

    Article  PubMed  PubMed Central  Google Scholar 

  24. Patten SB, Wang JL, Williams JV, Currie S, Beck CA, Maxwell CJ, El-Guebaly N (2006) Descriptive epidemiology of major depression in Canada. Can J Psychiatry 51(2):84–90. https://doi.org/10.1177/070674370605100204

    Article  PubMed  Google Scholar 

  25. Kessler RC, Ustun T (2008) The WHO Mental Health Surveys. Global perspectives on the epidemiology of mental disorders. Am Psychiatric Assoc 167:354–355

    Google Scholar 

  26. Jones CA, Pohar SL, Patten SB (2009) Major depression and health-related quality of life in Parkinson's disease. Gen Hosp Psychiatry 31(4):334–340

    PubMed  Google Scholar 

  27. StataCorp L (2007) Stata data analysis and statistical Software. Special Edition Release 10:733

    Google Scholar 

  28. Sterne JA, White IR, Carlin JB, Spratt M, Royston P, Kenward MG, Wood AM, Carpenter JR (2009) Multiple imputation for missing data in epidemiological and clinical research: potential and pitfalls. BMJ 338:b2393

    PubMed  PubMed Central  Google Scholar 

  29. Desquilbet L, Mariotti F (2010) Dose-response analyses using restricted cubic spline functions in public health research. Stat Med 29(9):1037–1057

    PubMed  Google Scholar 

  30. Szaflarski M, Cubbins LA, Bauldry S, Meganathan K, Klepinger DH, Somoza E (2016) Major depressive disorder and dysthymia at the intersection of nativity and racial-ethnic origins. J Immigr Minor Health 18(4):749–763

    PubMed  PubMed Central  Google Scholar 

  31. Takeuchi DT, Zane N, Hong S, Chae DH, Gong F, Gee GC, Walton E, Sue S, Alegría M (2007) Immigration-related factors and mental disorders among Asian Americans. Am J Public Health 97(1):84–90

    PubMed  PubMed Central  Google Scholar 

  32. Tomita A, Labys CA, Burns JK (2014) The relationship between immigration and depression in South Africa: evidence from the first South African National Income Dynamics Study. J Immigr Minor Health 16(6):1062–1068

    PubMed  PubMed Central  Google Scholar 

  33. Alegría M, Canino G, Shrout PE, Woo M, Duan N, Vila D, Torres M, Chen C-n, Meng X-L (2008) Prevalence of mental illness in immigrant and non-immigrant US Latino groups. Am J Psychiatry 165(3):359–369

    PubMed  PubMed Central  Google Scholar 

  34. Waugh B (2011) Canadians and Americans are more similar than assumed. Think Sociology, University of British Columbia, Vancouver

    Google Scholar 

  35. Wang JL (2004) Rural–urban differences in the prevalence of major depression and associated impairment. Soc Psychiatry Psychiatr Epidemiol 39(1):19–25

    PubMed  Google Scholar 

  36. Gee EMT, Kobayashi KM, Prus SG (2004) Examining the healthy immigrant effect in mid-to later life: findings from the Canadian Community Health Survey. Can J Aging 23(5):S55–S63

    Google Scholar 

  37. Garcini LM, Peña JM, Galvan T, Fagundes CP, Malcarne V, Klonoff EA (2017) Mental disorders among undocumented Mexican immigrants in high-risk neighborhoods: Prevalence, comorbidity, and vulnerabilities. J Consult Clin Psychol 85(10):927–936. https://doi.org/10.1037/ccp0000237

    Article  PubMed  PubMed Central  Google Scholar 

  38. Lindert J, von Ehrenstein OS, Priebe S, Mielck A, Brähler E (2009) Depression and anxiety in labor migrants and refugees–a systematic review and meta-analysis. Soc Sci Med 69(2):246–257

    PubMed  Google Scholar 

  39. Poole DN, Hedt-Gauthier B, Liao S, Raymond NA, Bärnighausen T (2018) Major depressive disorder prevalence and risk factors among Syrian asylum seekers in Greece. BMC Public Health 18(1):908–908. https://doi.org/10.1186/s12889-018-5822-x

    Article  PubMed  PubMed Central  Google Scholar 

  40. Burnam MA, Hough RL, Karno M, Escobar JI, Telles CA (1987) Acculturation and lifetime prevalence of psychiatric disorders among Mexican Americans in Los Angeles. J Health Soc Behav 28(1):89–102

    CAS  PubMed  Google Scholar 

  41. Janssen-Kallenberg H, Schulz H, Kluge U, Strehle J, Wittchen H-U, Wolfradt U, Koch-Gromus U, Heinz A, Mösko M, Dingoyan D (2017) Acculturation and other risk factors of depressive disorders in individuals with Turkish migration backgrounds. BMC Psychiatry 17(1):264

    PubMed  PubMed Central  Google Scholar 

  42. Breslau J, Borges G, Tancredi D, Saito N, Kravitz R, Hinton L, Vega W, Medina-Mora ME, Aguilar-Gaxiola S (2011) Migration from Mexico to the United States and subsequent risk for depressive and anxiety disorders: a cross-national study. Arch Gen Psychiatry 68(4):428–433. https://doi.org/10.1001/archgenpsychiatry.2011.21

    Article  PubMed  PubMed Central  Google Scholar 

  43. Blaine B (2008) Does depression cause obesity? A meta-analysis of longitudinal studies of depression and weight control. J Health Psychol 13(8):1190–1197

    PubMed  Google Scholar 

  44. De Wit L, Luppino F, van Straten A, Penninx B, Zitman F, Cuijpers P (2010) Depression and obesity: a meta-analysis of community-based studies. Psychiatry Res 178(2):230–235

    PubMed  Google Scholar 

  45. Shoelson SE, Herrero L, Naaz A (2007) Obesity, inflammation, and insulin resistance. Gastroenterology 132(6):2169–2180

    CAS  Google Scholar 

  46. Miller AH, Raison CL (2016) The role of inflammation in depression: from evolutionary imperative to modern treatment target. Nat Rev Immunol 16(1):22

    CAS  PubMed  PubMed Central  Google Scholar 

  47. Winer DA, Luck H, Tsai S, Winer S (2016) The intestinal immune system in obesity and insulin resistance. Cell Metab 23(3):413–426

    CAS  PubMed  Google Scholar 

  48. Schutter DJ (2012) The cerebello-hypothalamic–pituitary–adrenal axis dysregulation hypothesis in depressive disorder. Med Hypotheses 79(6):779–783

    CAS  PubMed  Google Scholar 

  49. Rodriguez ACI, Epel ES, White ML, Standen EC, Seckl JR, Tomiyama AJ (2015) Hypothalamic-pituitary-adrenal axis dysregulation and cortisol activity in obesity: a systematic review. Psychoneuroendocrinology 62:301–318

    Google Scholar 

  50. de Zwaan M (2001) Binge eating disorder and obesity. Int J Obes 25(S1):S51

    Google Scholar 

  51. Tanofsky-Kraff M, Yanovski SZ (2004) Eating disorder or disordered eating? Non-normative eating patterns in obese individuals. Obes Res 12(9):1361–1366

    PubMed  Google Scholar 

  52. Amy EA, Kozak AT (2012) “The more pain I have, the more I want to eat”: obesity in the context of chronic pain. Obesity 20(10):2027–2034

    Google Scholar 

  53. Goesling J, Clauw DJ, Hassett AL (2013) Pain and depression: an integrative review of neurobiological and psychological factors. Curr Psychiatry Rep 15(12):421

    PubMed  Google Scholar 

  54. Tyrrell J, Mulugeta A, Wood AR, Zhou A, Beaumont RN, Tuke MA, Jones SE, Ruth KS, Yaghootkar H, Sharp S (2018) Using genetics to understand the causal influence of higher BMI on depression. Int J Epidemiol. https://doi.org/10.1093/ije/dyy223

    Article  PubMed Central  Google Scholar 

  55. Martin-Rodriguez E, Guillen-Grima F, Aubá E, Marti A, Brugos-Larumbe A (2016) Relationship between body mass index and depression in women: a 7-year prospective cohort study. The APNA study. Eur Psychiatry 32:55–60

    CAS  PubMed  Google Scholar 

  56. Lee J-H, Park S, Ryoo J-H, Oh C-M, Choi J-M, McIntyre R, Mansur R, Kim H, Hales S, Jung J (2017) U-shaped relationship between depression and body mass index in the Korean adults. Eur Psychiatry 45:72–80

    PubMed  Google Scholar 

  57. Su Y, Ma Y, Rao W, Yang G, Wang S, Fu Y, Liu Y, Zhang Y, You Y, Yu Y (2016) Association between body mass index and diabetes in northeastern China: based on dose-response analyses using restricted cubic spline functions. Asia Pac J Public Health 28(6):486–497

    PubMed  Google Scholar 

  58. Rao W, Su Y, Yang G, Ma Y, Liu R, Zhang S, Wang S, Fu Y, Kou C, Yu Y (2016) Cross-sectional associations between body mass index and hyperlipidemia among adults in northeastern china. Int J Environ Res Public Health 13(5):516

    PubMed Central  Google Scholar 

  59. Liu X, Zhang D, Liu Y, Sun X, Hou Y, Wang B, Ren Y, Zhao Y, Han C, Cheng C (2018) A J-shaped relation of BMI and stroke: Systematic review and dose–response meta-analysis of 4.43 million participants. Nutr Metab Cardiovasc Dis 28(11):1092–1099

    CAS  PubMed  Google Scholar 

  60. Argueta DA, DiPatrizio NV (2017) Peripheral endocannabinoid signaling controls hyperphagia in western diet-induced obesity. Physiol Behav 171:32–39. https://doi.org/10.1016/j.physbeh.2016.12.044

    CAS  Article  PubMed  PubMed Central  Google Scholar 

  61. Medina-Remón A, Kirwan R, Lamuela-Raventós RM, Estruch R (2018) Dietary patterns and the risk of obesity, type 2 diabetes mellitus, cardiovascular diseases, asthma, and neurodegenerative diseases. Crit Rev Food Sci Nutr 58(2):262–296. https://doi.org/10.1080/10408398.2016.1158690

    Article  PubMed  Google Scholar 

Download references

Acknowledgements

The authors would like to thank Statistic Canada for the provision of Public Use Microdata Files on CCHS surveys through their Data Liberation Initiative (DLI). YS would like to acknowledge the support of a Chinese Scholarship Council Doctoral Scholarship.

Author information

Affiliations

Authors

Contributions

YS and WR conceived the idea of this study and drafted the manuscript together. YS conducted the statistical analyses. CCD provided critical feedback towards developing the research question and results interpretation and was significantly involved in manuscript redrafting. All authors have read and approved of the final draft.

Corresponding author

Correspondence to Carl D’Arcy.

Ethics declarations

Conflict of interest

The authors declare no conflicting interests.

Electronic supplementary material

Below is the link to the electronic supplementary material.

Supplementary file1 (PDF 85 kb)

Rights and permissions

Reprints and Permissions

About this article

Verify currency and authenticity via CrossMark

Cite this article

Su, Y., Rao, W. & D’Arcy, C. Depression risk and body mass index among immigrants and non-immigrants in Canada: results from the Canadian Community Health Surveys, 2010–2014. Soc Psychiatry Psychiatr Epidemiol 55, 1283–1295 (2020). https://doi.org/10.1007/s00127-020-01861-5

Download citation

  • Received:

  • Accepted:

  • Published:

  • Issue Date:

  • DOI: https://doi.org/10.1007/s00127-020-01861-5

Keywords

  • Body mass index
  • Depression
  • Restricted spline function
  • Immigrant
  • Dose response