Skip to main content

Effects of contact-based mental illness stigma reduction programs: age, gender, and Asian, Latino, and White American differences

Abstract

Purpose

Mental illness stigma disproportionately affects help seeking among youth, men, and ethnic minorities. As part of a comprehensive statewide initiative to reduce mental illness stigma and discrimination in California, a broad set of contact-based educational programs were widely disseminated. This study examined whether the effects of contact-based educational programs varied depending on the age, gender, and race-ethnicity of participants.

Methods

Participants (N = 4122) attended a contact-based educational program that was delivered as part of the statewide initiative to reduce mental illness stigma and discrimination. Self-administered surveys assessing beliefs, attitudes, and intentions toward mental illnesses and treatment were conducted immediately before and after participation in contact-based educational programs.

Results

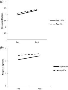
Participant age, gender, and race-ethnicity significantly moderated pre–post changes in mental illness stigma. Although all groups exhibited significant pre–post changes across most of the stigma domains assessed, young adults, females, and Asian and Latino American participants reported larger improvements compared to older adults, males, and Whites, respectively.

Conclusions

Findings suggest that contact-based educational programs can achieve immediate reductions in mental illness stigma across a variety of sociodemographic groups and may particularly benefit young adults and racial–ethnic minorities. Further research is needed to assess whether contact-based educational programs can sustain longer-term changes and aid in the reduction of disparities in mental illness stigma and treatment.

This is a preview of subscription content, access via your institution.

Fig. 1
Fig. 2

References

  1. Corrigan PW, Druss BG, Perlick DA (2014) The impact of mental illness stigma on seeking and participating in mental health care. Psychol Sci Public Interest 15(2):37–70

    Article  PubMed  Google Scholar 

  2. Pescosolido BA, Medina TR, Martin JK, Long JS (2013) The “backbone” of stigma: identifying the global core of public prejudice associated with mental illness. Am J Public Health 103(5):853–860

    Article  PubMed  PubMed Central  Google Scholar 

  3. Link BG, Yang LH, Phelan JC, Collins PY (2004) Measuring mental illness stigma. Schizophr Bull 30(3):511–541

    Article  PubMed  Google Scholar 

  4. Kobau R, DiIorio C, Chapman D, Delvecchio P, Members SCMISP (2010) Attitudes about mental illness and its treatment: validation of a generic scale for public health surveillance of mental illness associated stigma. Community Ment Health J 46(2):164–176

    Article  PubMed  Google Scholar 

  5. Pescosolido BA (2013) The public stigma of mental illness what do we think; what do we know; what can we prove? J Health Soc Behav 54(1):1–21

    Article  PubMed  PubMed Central  Google Scholar 

  6. Clement S, Schauman O, Graham T, Maggioni F, Evans-Lacko S, Bezborodovs N, Morgan C, Rüsch N, Brown J, Thornicroft G (2015) What is the impact of mental health-related stigma on help-seeking? A systematic review of quantitative and qualitative studies. Psychol Med 45(01):11–27

    CAS  Article  PubMed  Google Scholar 

  7. Corrigan P, Larson J, Rusch N (2009) Self-stigma and the “why try” effect: impact on life goals and evidence-based practices. World Psychiatry 9(2):75–81

    Article  Google Scholar 

  8. van der Sanden RLM, Bos AER, Stutterheim SE, Pryor JB, Kok G (2013) Experiences of stigma by association among family members of people with mental illness. Rehabil Psychol 58(1):73–80. https://doi.org/10.1037/a0031752

    Article  PubMed  Google Scholar 

  9. Link BG, Phelan J (2013) Labeling and stigma. In: Aneshensel CS, Phelan JC, Bierman A (eds) Handbook of the sociology of mental health, 2nd edn. Springer, Dordrecht, pp 525–541

    Chapter  Google Scholar 

  10. New Freedom Commission on Mental Health (2003) Achieving the promise: transforming mental health care in America. Final Report. DHHS pub no SMA-03-3832, Rockville, MD

  11. WHO (2013) Global Mental Health Action Plan 2013–2020. World Health Organisation, Geneva

    Google Scholar 

  12. Clement S, Lassman F, Barley E, Evans-Lacko S, Williams P, Yamaguchi S, Slade M, Rüsch N, Thornicroft G (2013) Mass media interventions for reducing mental health-related stigma. Cochrane Database Syst Rev 7

  13. Corrigan PW, Morris SB, Michaels PJ, Rafacz JD, Rüsch N (2012) Challenging the public stigma of mental illness: a meta-analysis of outcome studies. Psychiatric Services

  14. Griffiths KM, Carron-Arthur B, Parsons A, Reid R (2014) Effectiveness of programs for reducing the stigma associated with mental disorders. A meta-analysis of randomized controlled trials. World Psychiatry 13(2):161–175

    Article  PubMed  PubMed Central  Google Scholar 

  15. Thornicroft G, Mehta N, Clement S, Evans-Lacko S, Doherty M, Rose D, Koschorke M, Shidhaye R, O’Reilly C, Henderson C (2016) Evidence for effective interventions to reduce mental-health-related stigma and discrimination. Lancet 387(10023):1123–1132

    Article  PubMed  Google Scholar 

  16. Dalky HF (2012) Mental illness stigma reduction interventions: review of intervention trials. West J Nurs Res 34(4):520–547. https://doi.org/10.1177/0193945911400638

    Article  PubMed  Google Scholar 

  17. Angermeyer MC, Dietrich S (2006) Public beliefs about and attitudes towards people with mental illness: a review of population studies. Acta Psychiatr Scand 113(3):163–179. https://doi.org/10.1111/j.1600-0447.2005.00699.x

    CAS  Article  PubMed  Google Scholar 

  18. Collins RL, Roth E, Cerully JL, Wong EC (2014) Beliefs related to mental illness stigma among California young adults. RAND Corporation. RR-819-CMHSA, CA

    Google Scholar 

  19. Martinez-Zambrano F, Garcia-Morales E, Garcia-Franco M, Miguel J, Villellas R, Pascual G, Arenas O, Ochoa S (2013) Intervention for reducing stigma: assessing the influence of gender and knowledge. World J Psychiatry 3(2):18–24. https://doi.org/10.5498/wjp.v3.i2.18

    Article  PubMed  PubMed Central  Google Scholar 

  20. Smith ME, Lindsey MA, Williams CD, Medoff DR, Lucksted A, Fang LJ, Schiffman J, Lewis-Fernandez R, Dixon LB (2014) Race-related differences in the experiences of family members of persons with mental illness participating in the NAMI Family to Family Education Program. Am J Community Psychol 54(3–4):316–327. https://doi.org/10.1007/s10464-014-9674-y

    Article  PubMed  Google Scholar 

  21. Koller M, Stuart H (2016) Reducing stigma in high school youth. Acta Psychiatr Scand 134:63–70. https://doi.org/10.1111/acps.12613

    Article  PubMed  Google Scholar 

  22. Clark W, Welch SN, Berry SH, Collentine AM, Collins R, Lebron D, Shearer AL (2013) California’s historic effort to reduce the stigma of mental illness: the Mental Health Services Act. Am J Public Health 103(5):786–794

    Article  PubMed  PubMed Central  Google Scholar 

  23. Cerully JL, Collins RL, Wong EC, Roth E, Marks J, Yu J (2015) Effects of stigma and discrimination reduction programs conducted under the California Mental Health Services authority: an evaluation of Runyon Saltzman Einhorn, Inc., Documentary Screening Events. RAND Corporation, RR-1257-CMHSA

  24. Cerully JL, Collins RL, Wong EC, Roth E, Marks J, Yu J (2015) Effects of stigma and discrimination reduction trainings conducted under the California Mental Health Services authority: an evaluation fo disability rights California and Mental Health America of California Trainings. RAND Corporation, RR-1073-CMHSA

  25. Cerully JL, Collins RL, Wong EC, Seelam R, Yu J (2018) Differential response to contact-based stigma reduction programs: perceived quality and personal experience matter. Psychiatry Res 259:302–309. https://doi.org/10.1016/j.psychres.2017.10.027

    Article  PubMed  Google Scholar 

  26. Wong EC, Collins RL, Cerully JL, Roth E, Marks J, Yu J (2015) Effects of stigma and discrimination reduction trainings conducted under the California Mental Health Services authority: an evaluation of the National Alliance on Mnetal Illness Adult Programs. RAND Corporation, RR-1247-1-CMHSA. https://doi.org/10.7249/RR1247-1

  27. Couture S, Penn D (2003) Interpersonal contact and the stigma of mental illness: a review of the literature. J Mental Health 12(3):291–305

    Article  Google Scholar 

  28. Collins RL, Wong EC, Roth E, Cerully JL, Marks J (2015) Changes in mental illness stigma in California during the statewide stigma and discrimination reduction initiative. RAND Corporation. RR-1139-CMHSA, CA

    Google Scholar 

  29. Mojtabai R, Evans-Lacko S, Schomerus G, Thornicroft G Attitudes toward mental health help seeking as predictors of future help-seeking behavior and use of mental health treatments. Psychiatr Serv. https://doi.org/10.1176/appi.ps.201500164

  30. See Change (2012) The National Mental health stigma reduction partnership: research 2012. Irish attitudes towards mental health problems

  31. Wyllie A, Lauder J (2012) Impacts of national media campaign to counter stigma and discrimination associated with mental illness. Phoenix Research, Auckland

    Google Scholar 

  32. Jorm AF, Reavley NJ, Ross AM (2012) Belief in the dangerousness of people with mental disorders: A review. Aust NZ J Psychiatry 46(11):1029–1045

    Article  Google Scholar 

  33. Kobau R, Zack MM (2013) Attitudes toward mental illness in adults by mental illness-related factors and chronic disease status: 2007 and 2009 behavioral risk factor surveillance system. Am J Public Health 103(11):2078–2089. https://doi.org/10.2105/ajph.2013.301321

    Article  PubMed  PubMed Central  Google Scholar 

  34. Bril-Barniv S, Moran GS, Naaman A, Roe D, Karnieli-Miller O (2017) A qualitative study examining experiences and dilemmas in concealment and disclosure of people living with serious mental illness. Qual Health Res 27(4):573–583. https://doi.org/10.1177/1049732316673581

    Article  PubMed  Google Scholar 

  35. Singh A, Mattoo S, Grover S (2016) Stigma associated with mental illness: conceptual issues and focus on stigma perceived by the patients with schizophrenia and their caregivers. Indian J Soc Psychiatry 32(2):134–142. https://doi.org/10.4103/0971-9962.181095

    Article  Google Scholar 

  36. Jorm AF, Oh E (2009) Desire for social distance from people with mental disorders. Aust NZ J Psychiatry 43(3):183–200. https://doi.org/10.1080/00048670802653349

    Article  Google Scholar 

  37. Gaebel W, Baumann A (2003) Interventions to reduce the stigma associated with severe mental illness: experiences from the open the doors program in Germany. Can J Psychiatry 48(10):657–662

    Article  PubMed  Google Scholar 

  38. Pescosolido BA, Martin JK, Long JS, Medina TR, Phelan JC, Link BG (2010) “A disease like any other”? A decade of change in public reactions to schizophrenia, depression, and alcohol dependence. Am J Psychiatry 167(11):1321–1330. https://doi.org/10.1176/appi.ajp.2010.09121743

    Article  PubMed  PubMed Central  Google Scholar 

  39. Wang PS, Berglund P, Olfson M, Pincus HA, Wells KB, Kessler RC (2005) Failure and delay in initial treatment contact after first onset of mental disorders in the National Comorbidity Survey Replication. Arch Gen Psychiatry 62(6):603–613

    Article  PubMed  Google Scholar 

  40. Kessler RC, Berglund P, Demler O, Jin R, Merikangas KR, Walters EE (2005) Lifetime prevalence and age-of-onset distributions of DSM-IV disorders in the National Comorbidity Survey Replication. Arch Gen Psychiatry 62(6):593–602

    Article  PubMed  Google Scholar 

  41. Gonzalez JM, Alegria M, Prihoda TJ (2005) How do attitudes toward mental health treatment vary by age, gender, and ethnicity/race in young adults? J Commun Psychol 33(5):611–629

    Article  Google Scholar 

  42. Pinfold V, Toulmin H, Thornicroft G, Huxley P, Farmer P, Graham T (2003) Reducing psychiatric stigma and discrimination: evaluation of educational interventions in UK secondary schools. Br J Psychiatry 182(4):342–346

    Article  PubMed  Google Scholar 

  43. Batson CD, Chang J, Orr R, Rowland J (2002) Empathy, attitudes, and action: can feeling for a member of a stigmatized group motivate one to help the group? Personal Soc Psychol Bull 28(12):1656–1666. https://doi.org/10.1177/014616702237647

    Article  Google Scholar 

  44. Rochlen AB, Hoyer WD (2005) Marketing mental health to men: theoretical and practical considerations. J Clin Psychol 61(6):675–684. https://doi.org/10.1002/jclp.20102

    Article  PubMed  Google Scholar 

  45. U.S. Department of Health and Human Services (1999) Mental health: A report of the surgeon general. Substance Abuse and Mental Health Services Administration, Center for Mental Health Services, National Institutes of Health, National Institute of Mental Health, Rockville, MD

    Google Scholar 

  46. National Academies of Sciences E, and Medicine, (2016) Ending discrimination against people with mental and substance use disorders: the evidence for stigma change. The National Academies Press, Washington, DC, https://doi.org/10.17226/23442

    Google Scholar 

  47. Ford-Paz RE, Reinhard C, Kuebbeler A, Contreras R, Sanchez B (2015) Culturally tailored depression/suicide prevention in Latino youth: community perspectives. J Behav Health Serv Res 42(4):519–533. https://doi.org/10.1007/s11414-013-9368-5

    Article  PubMed  Google Scholar 

  48. Knifton L (2012) Understanding and addressing the stigma of mental illness with ethnic minority communities. Health Soc Rev 21(3):287–298. https://doi.org/10.5172/hesr.2012.21.3.287

    Article  Google Scholar 

  49. Pietrus M (2013) Opening minds interim report

  50. Corrigan PW, Shapiro JR (2010) Measuring the impact of programs that challenge the public stigma of mental illness. Clin Psychol Rev 30 (8):907–922. https://doi.org/10.1016/j.cpr.2010.06.004

    Article  PubMed  PubMed Central  Google Scholar 

  51. Kassam A, Papish A, Modgill G, Patten S (2012) The development and psychometric properties of a new scale to measure mental illness related stigma by health care providers: the Opening Minds Scale for Health Care Providers (OMS-HC). BMC Psychiatry 12:62. https://doi.org/10.1186/1471-244x-12-62

    Article  PubMed  PubMed Central  Google Scholar 

Download references

Acknowledgements

This research was funded by the California Mental Health Services Authority (CalMHSA).

Author information

Affiliations

Authors

Corresponding author

Correspondence to Eunice C. Wong.

Ethics declarations

Conflict of interest

The authors have no other conflicts of interest to disclose.

Rights and permissions

Reprints and Permissions

About this article

Verify currency and authenticity via CrossMark

Cite this article

Wong, E.C., Collins, R.L., Cerully, J.L. et al. Effects of contact-based mental illness stigma reduction programs: age, gender, and Asian, Latino, and White American differences. Soc Psychiatry Psychiatr Epidemiol 53, 299–308 (2018). https://doi.org/10.1007/s00127-017-1459-9

Download citation

  • Received:

  • Accepted:

  • Published:

  • Issue Date:

  • DOI: https://doi.org/10.1007/s00127-017-1459-9

Keywords

  • Mental illness stigma
  • Race
  • Ethnicity
  • Gender
  • Contact-based educational program