Skip to main content

An examination of the effects of intra and inter-individual changes in wellbeing and mental health on self-rated health in a population study of middle and older-aged adults

Abstract

Purpose

Self-rated health is frequently used as an indicator of health and quality of life in epidemiological studies. While the association between self-rated health and negative mental health is well established, associations with indictors of positive wellbeing are less clear. Data from the Dynamic Analyses to Optimise Ageing (DYNOPTA) project were used to compare the effects of vitality and mental health on self-rated health.

Methods

Participants (n = 40,712) provided information on vitality, mental health and self-rated health, were aged 45–95 years at baseline, and were followed between 1 and 10 years (M = 5.6; SD = 2.9).

Results

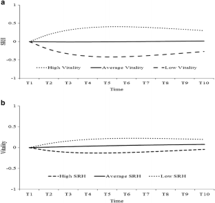
In comparison with mental health, multi-level modelling indicated between- and within-person change in vitality was more strongly associated with self-rated health. Bivariate dual change score modelling of the cross-lagged associations between vitality and self-rated health indicated vitality to be a stronger predictor of change in self-rated health. Self-rated health was unrelated to change in vitality.

Conclusion

Vitality accounted for most of the mental health effect on self-rated health and was identified as a significant predictor of change in self-rated health over a 10-year period. Promoting wellbeing and psychological functioning may have significant protective effects on negative health outcomes throughout the adult lifespan and into late life.

This is a preview of subscription content, access via your institution.

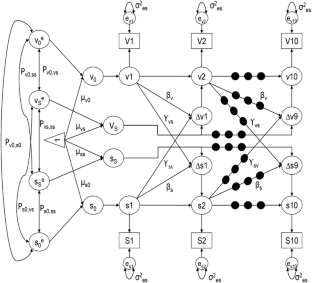
Fig. 1
Fig. 2

References

  1. Maddox GL (1999) Commentary on the self-reported health symposium. Res Aging 21:501–506

    Article  Google Scholar 

  2. Benyamini Y, Idler EL (1999) Community studies reporting association between self-rated health and mortality: additional studies, 1995 to 1998. Res Aging 21:392–401

    Article  Google Scholar 

  3. Barsky AJ, Cleary PD, Klerman GL (1992) Determinants for perceived health status of medical outpatients. Soc Sci Med 34:1147–1154

    PubMed  Article  CAS  Google Scholar 

  4. Emmelin M et al (2003) Self-rated ill-health strengthens the effect of biomedical risk factors in predicting stroke, especially for men—an incident case referent study. J Hypertens 21:887–896

    PubMed  Article  CAS  Google Scholar 

  5. Lee Y, Shinkai S (2003) A comparison of correlates of self-rated health and functional disability of older persons in the Far East: Japan and Korea. Arch Gerontol Geriatr 37(1):63–76

    PubMed  Article  Google Scholar 

  6. Roos NP et al (1988) Using administrative data to predict important health outcomes: entry to hospital, nursing home, and death. Med Care 26(3):221–239

    PubMed  Article  CAS  Google Scholar 

  7. Anstey KJ, von Sanden C, Luszcz MA (2006) An 8-year prospective study of the relationship between cognitive performance and falling in very old adults. J Am Geriatr Soc 54:1169–1176

    PubMed  Article  Google Scholar 

  8. Anstey KJ et al (2006) Predicting driving cessation over 5 years in older adults: psychological well-being and cognitive competence are stronger predictors than physical health. J Am Geriatr Soc 54:121–126

    PubMed  Article  Google Scholar 

  9. Blaum CS, Liang J, Liu X (1994) The relationship of chronic diseases and health status to the health service utilization of older Americans. J Am Geriatr Soc 42:1087–1093

    PubMed  CAS  Google Scholar 

  10. Mohan R et al (2011) Self-rated health as a tool for estimating health-adjusted life expectancy among patients newly diagnosed with localized prostate cancer: a preliminary study. Qual Life Res: Int J Qual Life Aspects Treat Care Rehabil 20(5):713–721

    Article  Google Scholar 

  11. Mossey JM, Shapiro E (1982) Self-rated health: a predictor of mortality among the elderly. Am J Public Health 72(8):800–808

    PubMed  Article  CAS  PubMed Central  Google Scholar 

  12. Settersten L, Lauver DR (2004) Critical thinking, perceived health status, and participation in health behaviors. Nurs Res 53(1):11–18

    PubMed  Article  Google Scholar 

  13. Sargent-Cox K et al (2014) The effect of health behaviour change on self-rated health across the adult life course: a longitudinal cohort study. Prev Med 58:75–80

    Google Scholar 

  14. Bisconti TL, Bergeman CS (1999) Perceived social control as a mediator of the relationships among social support, psychological well-being, and perceived health. Gerontologist 39:94

    PubMed  Article  CAS  Google Scholar 

  15. Franks P, Gold MR, Fiscella K (2003) Sociodemographics, self-rated health, and mortality in the US. Soc Sci Med 56:2505–2514

    PubMed  Article  Google Scholar 

  16. Barsky AJ (1988) The paradox of health. N Engl J Med 318:414–418

    PubMed  Article  CAS  Google Scholar 

  17. Kaplan GA, Camacho T (1983) Perceived health and mortality: a nine-year follow-up of the Human Population Laboratory cohort. Am J Epidemiol 117(3):292–304

    PubMed  CAS  Google Scholar 

  18. Huppert FA, Keverne B, Bayliss N (2004) The science of well-being, integrating neurobiology, psychology and social science. Proc Royal Soc Sci Discuss Meet 359(1449):1447–1451

    Google Scholar 

  19. Keyes CL (2002) The mental health continuum: from languishing to flourishing in life. J Health Soc Behav 43(2):207–222

    PubMed  Article  Google Scholar 

  20. Huppert FA et al (2009) Measuring well-being across Europe: description of the ESS Well-being module and preliminary findings. Soc Indic Res 91(3):301–315

    Article  Google Scholar 

  21. Burns RA et al (2012) Positive components of mental health provide significant protection against likelihood of falling in older women over a 13-year period. Int Psychogeriatr 24(9):1419–1428

    Google Scholar 

  22. Boehm JK et al (2011) A prospective study of positive psychological well-being and coronary heart disease. Health Psychol 30(3):259–267

    PubMed  Article  PubMed Central  Google Scholar 

  23. Burns RA, Machin MA (2010) Identifying gender differences in the independent effects of personality and psychological well-being on two broad affect components of subjective well-being. Personal Individ Differ 48(1):22–27

    Article  Google Scholar 

  24. Burns RA, Machin MA (2012) Moving beyond the pleasure principle: within and between-occasion effects of employee eudaimonia within a school organizational climate context. J Vocat Behav 80(1):118–128

    Article  Google Scholar 

  25. Ryan RM, Frederick C (1997) On energy, personality, and health: subjective vitality as a dynamic reflection of well-being. J Personal 65(3):529–565

    Article  CAS  Google Scholar 

  26. Kasser T, Ryan RM (1996) Further examining the American dream: differential correlates of intrinsic and extrinsic goals. Personal Soc Psychol Bull 22(3):280–287

    Article  Google Scholar 

  27. Brown KW, Ryan RM (2003) The benefits of being present: mindfulness and its role in psychological well-being. J Personal Soc Psychol 84(4):822–848

    Article  Google Scholar 

  28. Nix GA et al (1999) Revitalization through self-regulation: the effects of autonomous and controlled motivation on happiness and vitality. J Exp Soc Psychol 35(3):266–284

    Article  Google Scholar 

  29. Bjorner JB et al (2007) Interpreting score differences in the SF-36 vitality scale: using clinical conditions and functional outcomes to define the minimally important difference. Curr Med Res Opin 23(4):731–739

    PubMed  Article  Google Scholar 

  30. Croog SH et al (1986) The effects of antihypertensive therapy on the quality of life. N Engl J Med 314(26):1657–1664

    PubMed  Article  CAS  Google Scholar 

  31. Fowler FJ Jr et al (1988) Symptom status and quality of life following prostatectomy. J Am Med Assoc 259(20):3018–3022

    Article  Google Scholar 

  32. Foundation NE (2009) National accounts of well-being: bringing real wealth onto the balance sheet. N.E. Foundation (ed). New Economics Foundation, London

  33. Anstey KJ et al (2010) Cohort profile: the dynamic analyses to optimize ageing (DYNOPTA) project. Int J Epidemiol 39(1):44–51

    PubMed  Article  PubMed Central  Google Scholar 

  34. Noale M et al (2005) Predictors of mortality: an international comparison of socio-demographic and health characteristics from six longitudinal studies on aging: the CLESA project. Exp Gerontol 40:89–99

    PubMed  Article  Google Scholar 

  35. Ware JE Jr et al (1998) The factor structure of the SF-36 health survey in 10 countries: results from the IQOLA Project. International quality of life assessment. J Clin Epidemiol 51(11):1159–1165

    PubMed  Article  Google Scholar 

  36. Bartsch LJ et al (2011) Examining the SF-36 in an older population: analysis of data and presentation of Australian adult reference scores from the dynamic analyses to optimise ageing (DYNOPTA) project. Qual Life Res 20(8):1227–1236

    PubMed  Article  Google Scholar 

  37. Skapinakis P et al (2005) Mental health inequalities in Wales, UK: multi-level investigation of the effect of area deprivation. Br J Psychiatry 186:417–422

    PubMed  Article  Google Scholar 

  38. Gill SC et al (2006) Mental health and the timing of men’s retirement. Soc Psychiatry Psychiatr Epidemiol 41(7):515–522

    PubMed  Article  Google Scholar 

  39. Singer JD, Willett JB (2003) Applied longitudinal data analysis : modeling change and event occurrence. Oxford University Press, Oxford, New York, pp xx, 644

  40. McArdle JJ, Hamagami F (2001) Latent difference score structural models for linear dynamic analyses with incomplete longitudinal data. In: Sayer LMCAG (ed) New methods for the analysis of change. American Psychological Association, Washington, DC, pp 137–176

  41. Meredith W, Tisak J (1990) Latent curve analysis. Psychometrika 55:107–122

    Article  Google Scholar 

  42. Rogosa D (1980) A critique of cross-lagged correlation. Psychol Bull 88:245–258

    Article  Google Scholar 

  43. Gerstorf D et al (2009) Dynamic links of cognitive functioning among married couples: longitudinal evidence from the Australian longitudinal study of ageing. Psychol Aging 24(2):296–309

    PubMed  Article  Google Scholar 

  44. Lovden M et al (2005) Studying individual aging in an interindividual context: typical paths of age-related, dementia-related, and mortality-related cognitive development in old age. Psychol Aging 20(2):303–316

    PubMed  Article  Google Scholar 

  45. Beddington J et al (2008) The mental wealth of nations. Nature 455(7216):1057–1060

    PubMed  Article  CAS  Google Scholar 

  46. Boehm JK, Lyubomirsky S, KM Sheldon (2011) A longitudinal experimental study comparing the effectiveness of happiness-enhancing strategies in Anglo Americans and Asian Americans. Cognit Emot 25(7):1263–1272

    Google Scholar 

  47. Lyubomirsky S (2011) Hedonic adaptation to positive and negative experiences. In: The Oxford handbook of stress, health, and coping. Oxford University Press, New York, pp 200–224

  48. Sin NL, Lyubomirsky S (2009) Enhancing well-being and alleviating depressive symptoms with positive psychology interventions: a practice-friendly meta-analysis. J Clin Psychol 65(5):467–487

    PubMed  Article  Google Scholar 

  49. Fava GA, Tomba E (2009) Increasing psychological well-being and resilience by psychotherapeutic methods. J Personal 77(6):1903–1934

    Article  Google Scholar 

Download references

Acknowledgments

The data on which this research is based were drawn from several Australian longitudinal studies including the Australian Longitudinal Study of Ageing (ALSA), the Australian Longitudinal Study of Women’s Health (ALSWH), the Australian Diabetes, Obesity and Lifestyle Study (AusDiab), the Blue Mountain Eye Study (BMES), the Canberra Longitudinal Study of Ageing (CLS), the Household, Income and Labour Dynamics in Australia study (HILDA), the Melbourne Longitudinal Studies on Healthy Ageing (MELSHA), the Personality And Total Health Through Life Study (PATH), and the Sydney Older Persons Study (SOPS). These studies were pooled and harmonized for the Dynamic Analyses to Optimise Ageing (DYNOPTA) project. DYNOPTA was funded by the National Health and Medical Research Council (NHMRC grant # 410215). All studies would like to thank the participants for volunteering their time to be involved in the respective studies. Details of all studies contributing data to DYNOPTA, including individual study leaders and funding sources, are available on the DYNOPTA website (http://dynopta.anu.edu.au). The findings and views reported in this paper are those of the author(s) and not those of the original studies or their respective funding agencies. Burns and Sargent-Cox are supported by the Australian Research Council Centre of Excellence in Population Ageing Research (project #: CE110001029). Anstey is supported by an NHMRC Research Fellowship (No. 366756).

Conflict of interest

On behalf of all authors, the corresponding author states that there is no conflict of interest.

Author information

Affiliations

Authors

Corresponding author

Correspondence to Richard A. Burns.

Rights and permissions

Reprints and Permissions

About this article

Cite this article

Burns, R.A., Sargent-Cox, K., Mitchell, P. et al. An examination of the effects of intra and inter-individual changes in wellbeing and mental health on self-rated health in a population study of middle and older-aged adults. Soc Psychiatry Psychiatr Epidemiol 49, 1849–1858 (2014). https://doi.org/10.1007/s00127-014-0864-6

Download citation

  • Received:

  • Accepted:

  • Published:

  • Issue Date:

  • DOI: https://doi.org/10.1007/s00127-014-0864-6

Keywords

  • Vitality
  • Mental health
  • Self-rated health
  • Wellbeing