Skip to main content

DSM-IV psychiatric comorbidity according to symptoms of insomnia: a nationwide sample of Korean adults

Abstract

Purpose

The diagnosis of insomnia is based on the presence of four different symptoms: difficulty in initiating sleep (DIS), difficulty in maintaining sleep (DMS), early morning awakening (EMA), and non-restorative sleep (NRS). This study investigated the differences in sociodemographic correlates and psychiatric comorbidity between the four symptoms of insomnia in the general population of South Korea.

Methods

A sample of the population aged 18–64 (N = 6,510) was questioned using a face-to-face interview. Insomnia was defined as having at least one of the four following symptoms three or more times per week: DIS, DMS, EMA, and NRS. Psychiatric disorders were evaluated using the Korean version of Composite International Diagnostic Interview. Logistic regression analysis was used to test each of the sleep outcomes (DIS, DMS, EMA, or NRS) for an association with sociodemographic and clinical variables.

Results

The prevalence of DIS, DMS, EMA, and NRS were 7.9 % (95 % CI 6.6–9.5 %), 7.9 % (95 % CI 6.5–9.6 %), 4.9 % (95 % CI 3.9–6.0 %), and 14.8 % (95 % CI 12.6–17.4 %), respectively. The overall prevalence of insomnia was 19.0 % (95 % CI 16.1–22.2 %). Being separated, divorced, or widowed, being single, having a part-time job, having a psychiatric illness, and having a physical illness were all significantly related to insomnia. Older age also increased the risk of DMS and EMA, and younger age was a risk factor for NRS. The presence of most psychiatric disorders was significantly related to insomnia. However, the relationship between the psychiatric illness and each insomnia symptom varied and was dependent on the insomnia symptom.

Conclusions

Most psychiatric disorders were significantly associated with each insomnia symptom in different ways. Differences in sociodemographic and clinical correlates between the four insomnia symptoms implied the heterogeneous characteristics of insomnia as defined by the current diagnostic criteria.

This is a preview of subscription content, access via your institution.

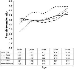
Fig. 1

References

  1. Ohayon MM (2002) Epidemiology of insomnia: what we know and what we still need to learn. Sleep Med Rev 6:97–111

    PubMed  Article  Google Scholar 

  2. American Psychiatric Association (APA) (1994) Diagnostic and Statistical Manual of Mental Disorders, 4th edn. American Psychiatric Press, Washington

    Google Scholar 

  3. Ohayon MM, Caulet M, Lemoine P (1998) Comorbidity of mental and insomnia disorders in the general population. Compr Psychiatry 39:185–197

    PubMed  Article  CAS  Google Scholar 

  4. Leger D, Guilleminault C, Dreyfus JP, Delahaye C, Paillard M (2000) Prevalence of insomnia in a survey of 12,778 adults in France. J Sleep Res 9:35–42

    PubMed  Article  CAS  Google Scholar 

  5. Kim K, Uchiyama M, Okawa M, Liu X, Ogihara R (2000) An epidemiological study of insomnia among the Japanese general population. Sleep 23:41–47

    PubMed  CAS  Google Scholar 

  6. Liu X, Uchiyama M, Kim K, Okawa M, Shibui K, Kudo Y, Doi Y, Minowa M, Ogihara R (2000) Sleep loss and daytime sleepiness in the general adult population of Japan. Psychiatry Res 93:1–11

    PubMed  Article  CAS  Google Scholar 

  7. Ohayon MM, Roth T (2001) What are the contributing factors for insomnia in the general population? J Psychosom Res 51:745–755

    PubMed  Article  CAS  Google Scholar 

  8. Ohayon MM, Hong SC (2002) Prevalence of insomnia and associated factors in South Korea. J Psychosom Res 53:593–600

    PubMed  Article  Google Scholar 

  9. Li RH, Wing YK, Ho SC, Fong SY (2002) Gender differences in insomnia—a study in the Hong Kong Chinese population. J Psychosom Res 53:601–609

    PubMed  Article  CAS  Google Scholar 

  10. Rocha FL, Guerra HL, Lima-Costa MF (2002) Prevalence of insomnia and associated socio-demographic factors in a Brazilian community: the Bambui study. Sleep Med 3:121–126

    PubMed  Article  Google Scholar 

  11. Shin C, Lee S, Lee T, Shin K, Yi H, Kimm K, Cho N (2005) Prevalence of insomnia and its relationship to menopausal status in middle-aged Korean women. Psychiatry Clin Neurosci 59:395–402

    PubMed  Article  Google Scholar 

  12. Nomura K, Yamaoka K, Nakao M, Yano E (2005) Impact of insomnia on individual health dissatisfaction in Japan, South Korea, and Taiwan. Sleep 28:1328–1332

    PubMed  Google Scholar 

  13. Roth T, Jaeger S, Jin R, Kalsekar A, Stang PE, Kessler RC (2006) Sleep problems, comorbid mental disorders, and role functioning in the national comorbidity survey replication. Biol Psychiatry 60:1364–1371

    PubMed  Article  Google Scholar 

  14. Hartz AJ, Daly JM, Kohatsu ND, Stromquist AM, Jogerst GJ, Kukoyi OA (2007) Risk factors for insomnia in a rural population. Ann Epidemiol 17:940–947

    PubMed  Article  Google Scholar 

  15. Xiang YT, Ma X, Cai ZJ, Li SR, Xiang YQ, Guo HL, Hou YZ, Li ZB, Li ZJ, Tao YF, Dang WM, Wu XM, Deng J, Lai KY, Ungvari GS (2008) The prevalence of insomnia, its sociodemographic and clinical correlates, and treatment in rural and urban regions of Beijing, China: a general population-based survey. Sleep 31:1655–1662

    PubMed  Google Scholar 

  16. Gureje O, Makanjuola VA, Kola L (2007) Insomnia and role impairment in the community: results from the Nigerian survey of mental health and wellbeing. Soc Psychiatry Psychiatr Epidemiol 42:495–501

    PubMed  Article  Google Scholar 

  17. Cho YW, Shin WC, Yun CH, Hong SB, Kim J, Earley CJ (2009) Epidemiology of insomnia in korean adults: prevalence and associated factors. J Clin Neurol 5:20–23

    PubMed  Article  Google Scholar 

  18. Sutton DA, Moldofsky H, Badley EM (2001) Insomnia and health problems in Canadians. Sleep 24:665–670

    PubMed  CAS  Google Scholar 

  19. Karacan I, Thornby JI, Anch M, Holzer CE, Warheit GJ, Schwab JJ, Williams RL (1976) Prevalence of sleep disturbance in a primarily urban Florida County. Soc Sci Med 10:239–244

    PubMed  Article  CAS  Google Scholar 

  20. Ford DE, Kamerow DB (1989) Epidemiologic study of sleep disturbances and psychiatric disorders. An opportunity for prevention? JAMA 262:1479–1484

    PubMed  Article  CAS  Google Scholar 

  21. Janson C, Gislason T, De Backer W, Plaschke P, Bjornsson E, Hetta J, Kristbjarnason H, Vermeire P, Boman G (1995) Prevalence of sleep disturbances among young adults in three European countries. Sleep 18:589–597

    PubMed  CAS  Google Scholar 

  22. Hetta J, Broman JE, Mallon L (1999) Evaluation of severe insomnia in the general population—implications for the management of insomnia: insomnia, quality of life and healthcare consumption in Sweden. J Psychopharmacol 13:S35–S36

    PubMed  CAS  Google Scholar 

  23. Ohayon MM, Smirne S (2002) Prevalence and consequences of insomnia disorders in the general population of Italy. Sleep Med 3:115–120

    PubMed  Article  Google Scholar 

  24. Ohayon MM, Partinen M (2002) Insomnia and global sleep dissatisfaction in Finland. J Sleep Res 11:339–346

    PubMed  Article  Google Scholar 

  25. Zhang B, Wing YK (2006) Sex differences in insomnia: a meta-analysis. Sleep 29:85–93

    PubMed  Google Scholar 

  26. Yoshioka E, Saijo Y, Kita T, Satoh H, Kawaharada M, Fukui T, Kishi R (2011) Gender differences in insomnia and the role of paid work and family responsibilities. Soc Psychiatry Psychiatr Epidemiol 47:651–662

    Google Scholar 

  27. Peretti-Watel P, Legleye S, Baumann M, Choquet M, Falissard B, Chau N (2009) Fatigue, insomnia and nervousness: gender disparities and roles of individual characteristics and lifestyle factors among economically active people. Soc Psychiatry Psychiatr Epidemiol 44:703–709

    PubMed  Article  Google Scholar 

  28. Demyttenaere K, Bruffaerts R, Posada-Villa J, Gasquet I, Kovess V, Lepine JP, Angermeyer MC, Bernert S, de Girolamo G, Morosini P, Polidori G, Kikkawa T, Kawakami N, Ono Y, Takeshima T, Uda H, Karam EG, Fayyad JA, Karam AN, Mneimneh ZN, Medina-Mora ME, Borges G, Lara C, de Graaf R, Ormel J, Gureje O, Shen Y, Huang Y, Zhang M, Alonso J, Haro JM, Vilagut G, Bromet EJ, Gluzman S, Webb C, Kessler RC, Merikangas KR, Anthony JC, Von Korff MR, Wang PS, Brugha TS, Aguilar-Gaxiola S, Lee S, Heeringa S, Pennell BE, Zaslavsky AM, Ustun TB, Chatterji S (2004) Prevalence, severity, and unmet need for treatment of mental disorders in the World Health Organization World Mental Health Surveys. JAMA 291:2581–2590

    PubMed  Article  Google Scholar 

  29. Coren S (1994) The prevalence of self-reported sleep disturbances in young adults. Int J Neurosci 79:67–73

    PubMed  CAS  Google Scholar 

  30. Arendt J, Skene DJ (2005) Melatonin as a chronobiotic. Sleep Med Rev 9:25–39

    PubMed  Article  Google Scholar 

  31. Sack RL, Auckley D, Auger RR, Carskadon MA, Wright KP Jr, Vitiello MV, Zhdanova IV (2007) Circadian rhythm sleep disorders: part II, advanced sleep phase disorder, delayed sleep phase disorder, free-running disorder, and irregular sleep-wake rhythm. An American Academy of Sleep Medicine review. Sleep 30:1484–1501

    PubMed  Google Scholar 

  32. Krishnan V, Collop NA (2006) Gender differences in sleep disorders. Curr Opin Pulm Med 12:383–389

    PubMed  Article  Google Scholar 

  33. Soares CN, Murray BJ (2006) Sleep disorders in women: clinical evidence and treatment strategies. Psychiatr Clin N Am 29:1095–1113

    Article  Google Scholar 

  34. Nofzinger EA, Buysse DJ, Reynolds CF 3rd, Kupfer DJ (1993) Sleep disorders related to another mental disorder (nonsubstance/primary): a DSM-IV literature review. J Clin Psychiatry 54:244–255

    PubMed  CAS  Google Scholar 

  35. Benca RM, Obermeyer WH, Thisted RA, Gillin JC (1992) Sleep and psychiatric disorders. A meta-analysis. Arch Gen Psychiatry 49:651–668

    PubMed  Article  CAS  Google Scholar 

  36. Benca RM (1996) Sleep in psychiatric disorders. Neurol Clin 14:739–764

    PubMed  Article  CAS  Google Scholar 

  37. Breslau N, Roth T, Rosenthal L, Andreski P (1996) Sleep disturbance and psychiatric disorders: a longitudinal epidemiological study of young adults. Biol Psychiatry 39:411–418

    PubMed  Article  CAS  Google Scholar 

  38. Korea National Statistical Office (2006) The Report of Population and Housing Census 2005. Korean National Statistical Office, Daejeon

  39. Cho MJ, Hahm BJ, Suh DW, Hong JP, Bae JN, Kim JK, Lee DW, Cho SJ (2002) Development of a Korean version of the Composite International Diagnostic Interview (K-CIDI). J Korean Neuropsychiatr Assoc 41:123–137

    Google Scholar 

  40. World Health Organization (WHO) (1990) Composite International Diagnostic Interview (CIDI), Version 1.0. World Health Organization, Geneva

  41. World Health Organization (WHO) (1997) Procedures for the Development of New Language Versions of the WHO Composite International Diagnostic Interview (WHO-CIDI). World Health Organization, Geneva

    Google Scholar 

  42. Hahm BJ (2001) Development of a Korean version of the composite international diagnostic interview (K-CIDI) and assessment of its applicability to a Korean population. Dissertation, Seoul National University, Seoul

  43. Ohayon MM, Roberts RE, Zulley J, Smirne S, Priest RG (2000) Prevalence and patterns of problematic sleep among older adolescents. J Am Acad Child Adolesc Psychiatry 39:1549–1556

    PubMed  Article  CAS  Google Scholar 

  44. Roberts RE, Roberts CR, Chen IG (2002) Impact of insomnia on future functioning of adolescents. J Psychosom Res 53:561–569

    PubMed  Article  Google Scholar 

  45. Ohayon MM (2005) Prevalence and correlates of nonrestorative sleep complaints. Arch Intern Med 165:35–41

    PubMed  Article  Google Scholar 

  46. Stone KC, Taylor DJ, McCrae CS, Kalsekar A, Lichstein KL (2008) Nonrestorative sleep. Sleep Med Rev 12:275–288

    PubMed  Article  Google Scholar 

  47. Maartens LW, Leusink GL, Knottnerus JA, Smeets CG, Pop VJ (2001) Climacteric complaints in the community. Fam Pract 18:189–194

    PubMed  Article  CAS  Google Scholar 

  48. Doi Y, Minowa M, Okawa M, Uchiyama M (2000) Prevalence of sleep disturbance and hypnotic medication use in relation to sociodemographic factors in the general Japanese adult population. J Epidemiol 10:79–86

    PubMed  Article  CAS  Google Scholar 

  49. Ohayon MM, Carskadon MA, Guilleminault C, Vitiello MV (2004) Meta-analysis of quantitative sleep parameters from childhood to old age in healthy individuals: developing normative sleep values across the human lifespan. Sleep 27:1255–1273

    PubMed  Google Scholar 

  50. Foley DJ, Monjan A, Simonsick EM, Wallace RB, Blazer DG (1999) Incidence and remission of insomnia among elderly adults: an epidemiologic study of 6,800 persons over three years. Sleep 22(Suppl 2):S366–S372

    PubMed  Google Scholar 

  51. Andersson HI, Ejlertsson G, Leden I, Schersten B (1999) Impact of chronic pain on health care seeking, self care, and medication. Results from a population-based Swedish study. J Epidemiol Community Health 53:503–509

    PubMed  Article  CAS  Google Scholar 

  52. Bardage C, Isacson DG (2000) Self-reported side-effects of antihypertensive drugs: an epidemiological study on prevalence and impact on health-state utility. Blood Press 9:328–334

    PubMed  Article  CAS  Google Scholar 

  53. Bolge SC, Doan JF, Kannan H, Baran RW (2009) Association of insomnia with quality of life, work productivity, and activity impairment. Qual Life Res 18:415–422

    PubMed  Article  Google Scholar 

  54. Klink M, Quan SF (1987) Prevalence of reported sleep disturbances in a general adult population and their relationship to obstructive airways diseases. Chest 91:540–546

    PubMed  Article  CAS  Google Scholar 

  55. Dikeos D, Georgantopoulos G (2011) Medical comorbidity of sleep disorders. Curr Opin Psychiatry 24:346–354

    PubMed  Article  Google Scholar 

  56. Chervin RD, Guilleminault C (1996) Obstructive sleep apnea and related disorders. Neurol Clin 14:583–609

    PubMed  Article  CAS  Google Scholar 

  57. Ferguson BJ (2004) Influences of allergic rhinitis on sleep. Otolaryngol Head Neck Surg 130:617–629

    PubMed  Article  Google Scholar 

  58. Shaheen NJ, Madanick RD, Alattar M, Morgan DR, Davis PH, Galanko JA, Spacek MB, Vaughn BV (2007) Gastroesophageal reflux disease as an etiology of sleep disturbance in subjects with insomnia and minimal reflux symptoms: a pilot study of prevalence and response to therapy. Dig Dis Sci 53:1493–1499

    Article  Google Scholar 

  59. Levenstein S (1999) Peptic ulcer at the end of the 20th century: biological and psychological risk factors. Can J Gastroenterol 13:753–759

    PubMed  CAS  Google Scholar 

  60. Taylor DJ, Mallory LJ, Lichstein KL, Durrence HH, Riedel BW, Bush AJ (2007) Comorbidity of chronic insomnia with medical problems. Sleep 30:213–218

    PubMed  Google Scholar 

  61. Ohayon MM, Caulet M, Philip P, Guilleminault C, Priest RG (1997) How sleep and mental disorders are related to complaints of daytime sleepiness. Arch Intern Med 157:2645–2652

    PubMed  Article  CAS  Google Scholar 

  62. Belt NK, Kronholm E, Kauppi MJ (2009) Sleep problems in fibromyalgia and rheumatoid arthritis compared with the general population. Clin Exp Rheumatol 27:35–41

    PubMed  CAS  Google Scholar 

  63. Monti JM, Monti D (2004) Sleep in schizophrenia patients and the effects of antipsychotic drugs. Sleep Med Rev 8:133–148

    PubMed  Article  Google Scholar 

  64. Krystal AD, Goforth HW, Roth T (2008) Effects of antipsychotic medications on sleep in schizophrenia. Int Clin Psychopharmacol 23:150–160

    PubMed  Article  Google Scholar 

  65. Wirshing DA, Pierre JM, Wirshing WC (2002) Sleep apnea associated with antipsychotic-induced obesity. J Clin Psychiatry 63:369–370

    PubMed  Article  Google Scholar 

  66. Landolt HP, Roth C, Dijk DJ, Borbely AA (1996) Late-afternoon ethanol intake affects nocturnal sleep and the sleep EEG in middle-aged men. J Clin Psychopharmacol 16:428–436

    PubMed  Article  CAS  Google Scholar 

  67. Roehrs T, Roth T (2001) Sleep, sleepiness, sleep disorders and alcohol use and abuse. Sleep Med Rev 5:287–297

    PubMed  Article  Google Scholar 

  68. Kaneita Y, Ohida T, Takemura S, Sone T, Suzuki K, Miyake T, Yokoyama E, Umeda T (2005) Relation of smoking and drinking to sleep disturbance among Japanese pregnant women. Prev Med 41:877–882

    PubMed  Article  Google Scholar 

  69. Phillips BA, Danner FJ (1995) Cigarette smoking and sleep disturbance. Arch Intern Med 155:734–737

    PubMed  Article  CAS  Google Scholar 

  70. Wetter DW, Young TB (1994) The relation between cigarette smoking and sleep disturbance. Prev Med 23:328–334

    PubMed  Article  CAS  Google Scholar 

  71. Lexcen FJ, Hicks RA (1993) Does cigarette smoking increase sleep problems. Percept Mot Skills 77:16–18

    PubMed  Article  CAS  Google Scholar 

  72. Hurt RD, Dale LC, Fredrickson PA, Caldwell CC, Lee GA, Offord KP, Lauger GG, Marusic Z, Neese LW, Lundberg TG (1994) Nicotine patch therapy for smoking cessation combined with physician advice and nurse follow-up. One-year outcome and percentage of nicotine replacement. JAMA 271:595–600

    PubMed  Article  CAS  Google Scholar 

  73. Hatsukami DK, Dahlgren L, Zimmerman R, Hughes JR (1988) Symptoms of tobacco withdrawal from total cigarette cessation versus partial cigarette reduction. Psychopharmacology 94:242–247

    PubMed  Article  CAS  Google Scholar 

  74. Hughes JR, Higgins ST, Bickel WK (1994) Nicotine withdrawal versus other drug withdrawal syndromes: similarities and dissimilarities. Addiction 89:1461–1470

    PubMed  Article  CAS  Google Scholar 

  75. Okuji Y, Matsuura M, Kawasaki N, Kometani S, Shimoyama T, Sato M, Oga K, Abe K (2002) Prevalence of insomnia in various psychiatric diagnostic categories. Psychiatry Clin Neurosci 56:239–240

    PubMed  Article  Google Scholar 

  76. Aigner M, Graf A, Freidl M, Prause W, Weiss M, Kaup-Eder B, Saletu B, Bach M (2003) Sleep disturbances in somatoform pain disorder. Psychopathology 36:324–328

    PubMed  Article  Google Scholar 

Download references

Acknowledgments

This study was supported by a research Grant from the Ministry of Health, Welfare, and Family Affairs of the Republic of Korea.

Author information

Affiliations

Authors

Corresponding author

Correspondence to Maeng Je Cho.

Rights and permissions

Reprints and Permissions

About this article

Cite this article

Kim, BS., Jeon, H.J., Hong, J.P. et al. DSM-IV psychiatric comorbidity according to symptoms of insomnia: a nationwide sample of Korean adults. Soc Psychiatry Psychiatr Epidemiol 47, 2019–2033 (2012). https://doi.org/10.1007/s00127-012-0502-0

Download citation

  • Received:

  • Accepted:

  • Published:

  • Issue Date:

  • DOI: https://doi.org/10.1007/s00127-012-0502-0

Keywords

  • Comorbidity
  • Insomnia
  • Prevalence
  • South Korea