Abstract
Key message
A combinatorial genomic strategy delineated functionally relevant natural allele of a CLAVATA gene and its marker (haplotype)-assisted introgression led to development of the early-flowering chickpea cultivars with high flower number and enhanced yield/productivity.
Abstract
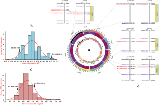
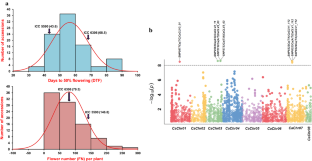
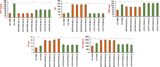
Unraveling the genetic components involved in CLAVATA (CLV) signaling is crucial for modulating important shoot apical meristem (SAM) characteristics and ultimately regulating diverse SAM-regulated agromorphological traits in crop plants. A genome-wide scan identified 142 CLV1-, 28 CLV2- and 6 CLV3-like genes, and their comprehensive genomic constitution and phylogenetic relationships were deciphered in chickpea. The QTL/fine mapping and map-based cloning integrated with high-resolution association analysis identified SNP loci from CaCLV3_01 gene within a major CaqDTF1.1/CaqFN1.1 QTL associated with DTF (days to 50% flowering) and FN (flower number) traits in chickpea, which was further ascertained by quantitative expression profiling. Molecular haplotyping of CaCLV3_01 gene, expressed specifically in SAM, constituted two major haplotypes that differentiated the early-DTF and high-FN chickpea accessions from late-DTF and low-FN. Enhanced accumulation of transcripts of superior CaCLV3_01 gene haplotype and known flowering promoting genes was observed in the corresponding haplotype-introgressed early-DTF and high-FN near-isogenic lines (NILs) with narrow SAM width. The superior haplotype-introgressed NILs exhibited early-flowering, high-FN and enhanced seed yield/productivity without compromising agronomic performance. These delineated molecular signatures can regulate DTF and FN traits through SAM proliferation and differentiation and thereby will be useful for translational genomic study to develop early-flowering cultivars with enhanced yield/productivity.
This is a preview of subscription content, access via your institution.









References
Bajaj D, Upadhyaya HD, Khan Y et al (2015a) A combinatorial approach of comprehensive QTL-based comparative genome mapping and transcript profiling identified a seed weight-regulating candidate gene in chickpea. Sci Rep 5:9264
Bajaj D, Saxena MS, Kujur A et al (2015b) Genome-wide conserved non-coding microsatellite (CNMS) marker-based integrative genetical genomics for quantitative dissection of seed weight in chickpea. J Exp Bot 66:1271–1290
Bajaj D, Upadhyaya HD, Das S, Kumar V, Gowda CL, Sharma S, Tyagi AK, Parida SK (2016) Identification of candidate genes for dissecting complex branch number trait in chickpea. Plant Sci 245:61–70
Benjamini Y, Hochberg Y (1995) Controlling the false discovery rate: a practical and powerful approach to multiple testing. J R Stat Soc Ser B Stat Methodol 57:289–300
Bommert P, Nagasawa NS, Jackson D (2013) Quantitative variation in maize kernel row number is controlled by the FASCIATED EAR2 locus. Nat Genet 45:334–337
Clark SE, Running MP, Meyerowitz EM (1993) CLAVATA1, a regulator of meristem and flower development in Arabidopsis. Development 119:397–418
Clark SE, Williams RW, Meyerowitz EM (1997) The CLAVATA1 gene encodes a putative receptor-kinase that controls shoot and floral meristem size in Arabidopsis. Cell 89:575–585
Cock JM, McCormick S (2001) A large family of genes that share homology with CLAVATA3. Plant Physiol 126:939–942
De Young BJ, Bickle KL, Schrage KJ, Muskett P, Patel K, Clark SE (2006) The CLAVATA1-related BAM1, BAM2 and BAM3 receptor kinase-like proteins are required for meristem function in Arabidopsis. Plant J 45:1–16
Durbak AR, Tax FE (2011) CLAVATA signaling pathway receptors of Arabidopsis regulate cell proliferation in fruit organ formation as well as in meristems. Genetics 189:177–194
Gautam V, Singh A, Singh S, Sarkar AK (2016) An efficient LCM-based method for tissue specific expression analysis of genes and miRNAs. Sci Rep 6:21577
Grienenberger E, Fletcher JC (2015) Polypeptide signalling molecules in plant development. Curr Opin Plant Biol 23:8–14
Gupta S, Nawaz K, Parween S, Roy R, Sahu K, Pole A, Khandal H, Srivastava R, Parida S, Chattopadhyay D (2016) Draft genome sequence of Cicer reticulatum L., the wild progenitor of chickpea provides a resource for agronomic trait improvement. DNA Res 24:1–10
Hastwell AH, Gresshoff PM, Ferguson BJ (2015) Genome-wide annotation and characterization of CLAVATA/ESR (CLE) peptide hormones of soybean (Glycine max) and common bean (Phaseolus vulgaris), and their orthologues of Arabidopsis thaliana. J Exp Bot 66:5271–5287
Hastwell AH, De Bang TC, Gresshoff PM, Ferguson BJ (2017) CLE peptide-encoding gene families in Medicago truncatula and Lotus japonicus, compared with those of soybean, common bean and Arabidopsis. Sci Rep 7:1–13
Jain M, Misra G, Patel RK et al (2013) A draft genome sequence of the pulse crop chickpea (Cicer arietinum L.). Plant J 74:715–729
Jeong S, Clark SE (2005) Photoperiod regulates flower meristem development in Arabidopsis thaliana. Genetics 169:907–915
Jeong S, Trotochaud AE, Clark SE (1999) The Arabidopsis CLAVATA2 gene encodes a receptor-like protein required for the stability of the CLAVATA1 receptor-like kinase. Plant Cell 11:1925–1934
Jiang L, Qian Q, Mao L, Zhou QY, Zhai WX (2005) Characterization of the rice floral organ number mutant fon3. J Integr Plant Biol 47:100–106
Jiang SY, González JM, Ramachandran S (2013) Comparative genomic and transcriptomic analysis of tandemly and segmentally duplicated genes in rice. PLoS ONE 8:e63551
Kujur A, Bajaj D, Upadhyaya HD et al (2015a) A genome-wide SNP scan accelerates trait-regulatory genomic loci identification in chickpea. Sci Rep 5:11166
Kujur A, Upadhyaya HD, Shree T et al (2015b) Ultra-high density intra-specific genetic linkage maps accelerate identification of functionally relevant molecular tags governing important agronomic traits in chickpea. Sci Rep 5:9468
Kujur A, Bajaj D, Upadhyaya HD et al (2015c) Employing genome-wide SNP discovery and genotyping strategy to extrapolate the natural allelic diversity and domestication patterns in chickpea. Front Plant Sci 6:162
Kujur A, Upadhyaya HD, Bajaj D, Gowda CL, Sharma S, Tyagi AK, Parida SK (2016) Identification of candidate genes and natural allelic variants for QTLs governing plant height in chickpea. Sci Rep 6:27968
Landau U, Asis L, Eshed Williams L (2015) The ERECTA, CLAVATA and class III HD-ZIP pathways display synergistic interactions in regulating floral meristem activities. PLoS ONE 10:e0125408
Laux T, Mayer KF, Berger J, Jürgens G (1996) The WUSCHEL gene is required for shoot and floral meristem integrity in Arabidopsis. Development 122:87–96
Leiboff S, Li X, Hu HC et al (2015) Genetic control of morphometric diversity in the maize shoot apical meristem. Nat Commun 6:8974
Li J, Tax FE (2013) Receptor-like kinases: key regulators of plant development and defense. J Integr Plant Biol 55:1184–1187
Li S, Pan Y, Wen C, Li Y, Liu X, Zhang X, Behera TK, Xing G, Weng Y (2016) Integrated analysis in bi-parental and natural populations reveals CsCLAVATA3 (CsCLV3) underlying carpel number variations in cucumber. Theor Appl Genet 129:1007–1022
Lipka AE, Tian F, Wang Q, Peiffer J, Li M, Bradbury PJ, Gore MA, Buckler ES, Zhang Z (2012) GAPIT: genome association and prediction integrated tool. Bioinformatics 2:2397–2399
Liu R, Jia H, Cao X, Huang J, Li F, Tao Y, Qiu F, Zheng Y, Zhang Z (2012) Fine mapping and candidate gene prediction of a pleiotropic quantitative trait locus for yield-related trait in Zea mays. PLoS ONE 7:e49836
Malik N, Dwivedi N, Singh AK, Parida SK, Agarwal P, Thakur JK, Tyagi AK (2016) An integrated genomic strategy delineates candidate mediator genes regulating grain size and weight in rice. Sci Rep 6:23253
Meng L, Buchanan BB, Feldman LJ, Luan S (2010) A putative nuclear CLE-Like (CLEL) peptide precursor regulates root growth in Arabidopsis. Mol Plant 5:955–957
Mortier V, Fenta B, Martens C, Rombauts S, Holsters M, Kunert K, Goormachtig S (2011) Search for nodulation-related CLE genes in the genome of Glycine max. J Exp Bot 62:2571–2583
Muller R, Bleckmann A, Simon R (2008) The receptor kinase CORYNE of Arabidopsis transmits the stem cell-limiting signal CLAVATA3 independently of CLAVATA1. Plant Cell 20:934–946
Muthamilarasan M, Mangu VR, Zandkarimi H, Prasad M, Baisakh N (2016) Structure, organization and evolution of ADP-ribosylation factors in rice and foxtail millet, and their expression in rice. Sci Rep 6:24008
Narnoliya L, Basu U, Bajaj D et al (2019) Transcriptional signatures modulating SAM morphometric and plant architectural traits enhance yield and productivity in chickpea. Plant J. https://doi.org/10.1111/tpj.14284
Oelkers K, Goffard N, Weiller GF, Gresshoff PM, Mathesius U, Frickey T (2008) Bioinformatic analysis of the CLE signalling peptide family. BMC Plant Biol 8:1
Parween S, Nawaz K, Roy R et al (2015) An advanced draft genome assembly of a desi type chickpea (Cicer arietinum L.). Sci Rep 5:12806
Ridge S, Deokar A, Lee R, Daba K, Macknight RC, Weller JL, Tar’an B (2017) The chickpea Early Flowering 1 (Efl1) locus is an ortholog of Arabidopsis ELF3. Plant Physiol 175:802–815
Sawa S, Kinoshita A, Nakanomyo I, Fukuda H (2006) CLV3/ESR related (CLE) peptides as intercellular signalling molecules in plants. Chem Rec 6:303–310
Saxena MS, Bajaj D, Das S, Kujur A, Kumar V, Singh M, Bansal KC, Tyagi AK, Parida SK (2014a) An integrated genomic approach for rapid delineation of candidate genes regulating agro-morphological traits in chickpea. DNA Res 21:695–710
Saxena MS, Bajaj D, Kujur A, Das S, Badoni S, Kumar V, Singh M, Bansal KC, Tyagi AK, Parida SK (2014b) Natural allelic diversity, genetic structure and linkage disequilibrium pattern in wild chickpea. PLoS ONE 9:e107484
Schoof H, Lenhard M, Haecker A, Mayer KF, Jürgens G, Laux T (2000) The stem cell population of Arabidopsis shoot meristems is maintained by a regulatory loop between the CLAVATA and WUSCHEL genes. Cell 100:635–644
Sharma M, Pandey GK (2016) Expansion and function of repeat domain proteins during stress and development in plants. Front Plant Sci 6:1218
Shinohara H, Moriyama Y, Ohyama K, Matsubayashi Y (2012) Biochemical mapping of a ligand-binding domain within Arabidopsis BAM1 reveals diversified ligand recognition mechanisms of plant LRR-RKs. Plant J 70:845–854
Singh VK, Garg R, Jain M (2013) A global view of transcriptome dynamics during flower development in chickpea by deep sequencing. Plant Biotechnol J 11:691–701
Somssich M, Bl Je, Simon R, Jackson D (2016) CLAVATA-WUSCHEL signaling in the shoot meristem. Development 143:3238–3248
Stahl Y, Wink RH, Ingram GC, Simon R (2009) A signaling module controlling the stem cell niche in Arabidopsis root meristems. Curr Biol 19:909–914
Suzaki T (2004) The gene FLORAL ORGAN NUMBER1 regulates floral meristem size in rice and encodes a leucine-rich repeat receptor kinase orthologous to Arabidopsis CLAVATA1. Development 131:5649–5657
Taguchi-Shiobara F, Yuan Z, Hake S, Jackson D (2001) The fasciated ear2 gene encodes a leucine-rich repeat receptor-like protein that regulates shoot meristem proliferation in maize. Genes Dev 15:2755–2766
Trotochaud AE, Hao T, Wu G, Yang Z, Clark SE (1999) The CLAVATA1 receptor-like kinase requires CLAVATA3 for its assembly into a signaling complex that includes KAPP and a Rho-related protein. Plant Cell 11:393–406
Upadhyaya HD, Bajaj D, Das S et al (2015) A genome-scale integrated approach aids in genetic dissection of complex flowering time trait in chickpea. Plant Mol Biol 89:403–420
Van Ooijen JW (2009) MapQTL 6: software for the mapping of quantitative trait loci in experimental populations of diploid species. B.V. Kyazma, Wageningen
Varshney RK, Mohan SM, Gaur PM et al (2013a) Achievements and prospects of genomics-assisted breeding in three legume crops of the semi-arid tropics. Biotechnol Adv 31:1120–1134
Varshney RK, Song C, Saxena RK et al (2013b) Draft genome sequence of chickpea (Cicer arietinum) provides a resource for trait improvement. Nat Biotechnol 31:240–246
Voorrips RE (2002) MapChart: software for the graphical presentation of linkage maps and QTLs. J Hered 93:77–78
Whitewoods CD, Cammarata J, Nemec Venza Z et al (2018) CLAVATA was a genetic novelty for the morphological innovation of 3D growth in land plants. Curr Biol 28:2365–2376.e5
Xu C, Liberatore KL, Macalister CA et al (2015) A cascade of arabinosyltransferases controls shoot meristem size in tomato. Nat Genet 47:784–792
Acknowledgments
The financial support provided by (Grant No. 102/IFD/SAN/2161/2013-14) the Department of Biotechnology (DBT), Ministry of Science and Technology, Government of India, is acknowledged. UB, LN and VT acknowledge the UGC (University Grants Commission) and DBT for Senior/Junior Research Fellowship awards.
Author information
Authors and Affiliations
Corresponding author
Ethics declarations
Conflict of interest
The authors declare that the research was conducted in the absence of any commercial or financial relationships that could be constructed as a potential conflict of interest.
Additional information
Communicated by Heiko C. Becker.
Publisher's Note
Springer Nature remains neutral with regard to jurisdictional claims in published maps and institutional affiliations.
Electronic supplementary material
Below is the link to the electronic supplementary material.
Rights and permissions
About this article
Cite this article
Basu, U., Narnoliya, L., Srivastava, R. et al. CLAVATA signaling pathway genes modulating flowering time and flower number in chickpea. Theor Appl Genet 132, 2017–2038 (2019). https://doi.org/10.1007/s00122-019-03335-y
Received:
Accepted:
Published:
Issue Date:
DOI: https://doi.org/10.1007/s00122-019-03335-y