Abstract
Key message
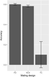
Testcross is the worst mating design to use as a training set to predict maize single-crosses that would be obtained through full diallel or North Carolina design II.
Abstract
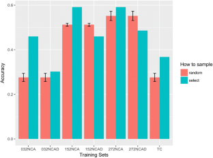
Even though many papers have been published about genomic prediction (GP) in maize, the best mating design to build the training population has not been defined yet. Such design must maximize the accuracy given constraints on costs and on the logistics of the crosses to be made. Hence, the aims of this work were: (1) empirically evaluate the effect of the mating designs, used as training set, on genomic selection to predict maize single-crosses obtained through full diallel and North Carolina design II, (2) and identify the possibility of reducing the number of crosses and parents to compose these training sets. Our results suggest that testcross is the worst mating design to use as a training set to predict maize single-crosses that would be obtained through full diallel or North Carolina design II. Moreover, North Carolina design II is the best training set to predict hybrids taken from full diallel. However, hybrids from full diallel and North Carolina design II can be well predicted using optimized training sets, which also allow reducing the total number of crosses to be made. Nevertheless, the number of parents and the crosses per parent in the training sets should be maximized.




Similar content being viewed by others
Change history
23 May 2018
Unfortunately, the first author name of the above-mentioned article was incorrectly published in the original publication. The complete correct name should read as follows:
References
Akdemir D (2017) STPGA: selection of training populations with a genetic algorithm. BioRxiv. https://doi.org/10.1101/111989
Akdemir D, Sanchez JI, Jannink J-L (2015) Optimization of genomic selection training populations with a genetic algorithm. Genet Sel Evol 47:38. https://doi.org/10.1186/s12711-015-0116-6
Albrecht T, Wimmer V, Auinger H-J et al (2011) Genome-based prediction of testcross values in maize. Theor Appl Genet 123:339–350. https://doi.org/10.1007/s00122-011-1587-7
Albrecht T, Auinger H-J, Wimmer V et al (2014) Genome-based prediction of maize hybrid performance across genetic groups, testers, locations, and years. Theor Appl Genet 127:1375–1386. https://doi.org/10.1007/s00122-014-2305-z
Butler DG, Cullis BR, Gilmour AR, Gogel BJ (2009) {ASReml}-R reference manual. R package version 3.0. https://www.vsni.co.uk
Cullis B, Gogel B, Verbyla A, Thompson R (1998) Spatial analysis of multi-environment early generation variety trials. Biometrics 54:1. https://doi.org/10.2307/2533991
Fritsche-Neto R, Gonçalves MC, Vencovsky R, Souza Junior CL (2010) Prediction of genotypic values of maize hybrids in unbalanced experiments. Crop Breed Appl Biotechnol 10:32–39. https://doi.org/10.12702/1984-7033.v10n01a05
Garrick DJ, Taylor JF, Fernando RL (2009) Deregressing estimated breeding values and weighting information for genomic regression analyses. Genet Sel Evol 41:55. https://doi.org/10.1186/1297-9686-41-55
Gianola D, Schon C-C (2016) Cross-validation without doing cross-validation in genome-enabled prediction. G3 Genes Genomes Genet. https://doi.org/10.1534/g3.116.033381
Griffing B (1956) Concept of general and specific combining ability in relation to diallel crossing systems. Aust J Biol Sci 9:463–493. https://doi.org/10.1071/BI9560463
Guo Z, Tucker DM, Basten CJ et al (2014) The impact of population structure on genomic prediction in stratified populations. Theor Appl Genet 127:749–762. https://doi.org/10.1007/s00122-013-2255-x
Hallauer AR, Carena MJ, Miranda Filho JB (2010) Quantitative genetics in maize breeding. Springer, New York
Isidro J, Jannink J-L, Akdemir D et al (2015) Training set optimization under population structure in genomic selection. Theor Appl Genet 128:145–158. https://doi.org/10.1007/s00122-014-2418-4
Kadam DC, Potts SM, Bohn MO et al (2016) Genomic prediction of single crosses in the early stages of a maize hybrid breeding pipeline. G3 Genes Genomes Genet. https://doi.org/10.1534/g3.116.031286
Lyra DH, de Freitas Mendonça L, Galli G et al (2017) Multi-trait genomic prediction for nitrogen response indices in tropical maize hybrids. Mol Breed 37:80. https://doi.org/10.1007/s11032-017-0681-1
Meuwissen THE, Hayes BJ, Goddard ME (2001) Prediction of total genetic value using genome-wide dense marker maps. Genetics 157:1819–1829
Piepho H-P, Möhring J, Schulz-Streeck T, Ogutu JO (2012) A stage-wise approach for the analysis of multi-environment trials. Biom J 54:844–860. https://doi.org/10.1002/bimj.201100219
Rincent R, Laloe D, Nicolas S et al (2012) Maximizing the reliability of genomic selection by optimizing the calibration set of reference individuals: comparison of methods in two diverse groups of maize inbreds (Zea mays L.). Genetics 192:715–728. https://doi.org/10.1534/genetics.112.141473
Shull GH (1911) Hybridization methods in corn breeding. J Hered os-6:63–72. https://doi.org/10.1093/jhered/os-6.1.63
Souza MB, Cuevas J, de Oliveira Couto EG et al (2017) Genomic-enabled prediction in maize using kernel models with genotype × environment interaction. G3 Genes Genomes Genet 7:g3.117.042341. https://doi.org/10.1534/g3.117.042341
Unterseer S, Bauer E, Haberer G et al (2014) A powerful tool for genome analysis in maize: development and evaluation of the high density 600 k SNP genotyping array. BMC Genom 15:823. https://doi.org/10.1186/1471-2164-15-823
VanRaden PM (2008) Efficient methods to compute genomic predictions. J Dairy Sci 91:4414–4423. https://doi.org/10.3168/jds.2007-0980
Wang X, Li L, Yang Z et al (2017) Predicting rice hybrid performance using univariate and multivariate GBLUP models based on North Carolina mating design II. Heredity (Edinb) 118:302–310. https://doi.org/10.1038/hdy.2016.87
Welham SJ, Gogel BJ, Smith AB et al (2010) A comparison of analysis methods for late-stage variety evaluation trials. Aust N Z J Stat 52:125–149. https://doi.org/10.1111/j.1467-842X.2010.00570.x
Acknowledgements
Fundação de Amparo a Pesquisa do Estado de São Paulo (FAPESP-2015/26251-5).
Funding
This project was supported by São Paulo Research Foundation-FAPESP (Process: 2013/24135-2; 2015/26251-5), Dupont-Pioneer (2015 Dupont Young Professor Award), and National Council Coordination for the Scientific and Technological Development (CNPq).
Author information
Authors and Affiliations
Corresponding author
Ethics declarations
Conflict of interest
We have no conflicts of interest to disclose.
Additional information
Communicated by Marcos Malosetti.
Electronic supplementary material
Below is the link to the electronic supplementary material.
Rights and permissions
About this article
Cite this article
Fristche-Neto, R., Akdemir, D. & Jannink, JL. Accuracy of genomic selection to predict maize single-crosses obtained through different mating designs. Theor Appl Genet 131, 1153–1162 (2018). https://doi.org/10.1007/s00122-018-3068-8
Received:
Accepted:
Published:
Issue Date:
DOI: https://doi.org/10.1007/s00122-018-3068-8


