Abstract
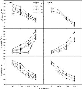
Plant density has been recognized as a major factor determining the grain yield. The photosynthetic performance changes as the density increases. The main objective of this research was to evaluate responses of photosynthetic performance and chloroplast ultrastructure to planting densities in two summer maize (Zea mays L.) hybrids Denghai661 (DH661) and Nongda108 (ND108). DH661 was planted at densities of 30,000, 45,000, 60,000, 75,000, 90,000, 105,000, 120,000, or 135,000 plants ha−1. ND108 was planted at densities of 30,000, 45,000, 60,000, 75,000, or 90,000 plants ha−1. Research variables included leaf area, grain yield, chlorophyll content, leaf gas exchange parameters, number of chloroplasts, and chloroplast ultrastructure. As plant density increased, chlorophyll a and b content significantly decreased; carotenoids initially decreased and then increased; the net photosynthetic rate during each growth period significantly decreased; the membrane structure of mesophyll cells was gradually damaged; the number of chloroplasts significantly decreased; the external form of chloroplasts shifted from long and oval to elliptical or circular; the number of grana significantly decreased, while the number of grana lamellae increased; grana gradually became hypogenetic and eventually dissolved; plot yield increased; and yield per plant significantly decreased. The yield per plant of DH661 at 135,000 plants ha−1 and that of ND108 at 90,000 plants ha−1 decreased by 65.8 and 42.5%, respectively, compared with those at 30,000 plants ha−1.








Similar content being viewed by others
Abbreviations
- C i :
-
Intercellular CO2 concentration
- Cm:
-
Cell membrane
- Chm:
-
Chloroplast membrane
- G:
-
Grana
- G s :
-
Stomatal conductance
- LAI:
-
Leaf area index
- O:
-
Osmiophilic granules
- P n :
-
Net photosynthetic rate
- R3:
-
Milk-ripe stage
- R6:
-
Physiological maturity
- V6:
-
The sixth leaf stage
- V12:
-
The twelfth leaf stage
- VT:
-
Tasseling stage
References
Anderson JM (1982) The role of chlorophyll–protein complexes in the function and structure of chloroplast thylakoids. Mol Cell Biol 46:161–172
Antonietta M, Fanello DD, Acciaresi HA, Guiamet JJ (2014) Senescence and yield responses to plant density in stay green and earlier-senescing maize hybrids from Argentina. Field Crop Res 155:111–119
Bertamini M, Muthuchelian K, Nedunchezhian N (2006) Shade effect alters leaf pigments and photosynthetic responses in Norway spruce (Picea abies L.) grown under field conditions. Photosynthetica 44:227–234
Burkey KO, Wells R (1991) Response of soybean photosynthesis and chloroplast membrane function to canopy development and mutual shading. Plant Physiol 97:245–252
Chen CY, Hou HP, Li Q, Zhu P, Zhang ZY, Dong ZQ, Zhao M (2010) Effects of panting density on photosynthetic characteristics and changes of carbon and nitrogen in leaf of different corn hybrids. Acta Agron Sin 36:871–878
Dai JR (2000) The review and prospects of maize genetics and breeding. Prospects of maize genetics an breeding for the 21st century-paper collection of International Maize Genetics an Breeding Symposium. Changchun: China Agricultural Science and Technology Press 9:1–7
Dong JH, Jin LF, Shi CY, Cui DC (1995) Correlations between ultrastructure and photosynthesis in leaves of rice and barnyardyass. Acta Agron Sin 21:497–505
Giles KL, Cohen D, Beardsell MF (1976) Effects of water stress on the ultrastructure of leaf cells of Sorghum bicolor. Plant Physiol 57:11–14
Kusaba M, Ito H, Morita R, Sato Y, Fujimoto M, Kawasaki S, Tanaka A (2007) Rice non-yellow coloring is involved in light-harvesting complex II and grana degradation during leaf senescence. Plant Cell 19:1362–1375
Li HS (2000) Principles and techniques of plant physiological experiment. Higher Education Press, Beijing, pp 119–120
Li HB, Hu YX, Bai KZ, Kuang TY, Zhou F, Lin JX (2002) Comparison of chloroplast ultrastructure and 77 k fluorescence emission spectra between awns and flag leaves in wheat. J Chin Electron Microsc Soc 21:97–101
Liu ZQ, Lu LP, Shen HB, Gao M, Wang ZG (2004) Introduction on America corn yield contest. Journal of Maize Sciences 12:110–113
Liu X, Li ZX, Wang QC, Liu KC (2007) Effects of planting density on filling process, yield and quality of different maize varieties. Journal of Maize Sciences 15:75–78
Liu W, Lü P, Su K, Yang JS, Zhang JW, Dong ST, Liu P, Sun QQ (2010) Effect of plant density on source-sink characteristics of summer maize under high-yield condition. Chin J Appl Ecol 21:1737–1743
Liu W, Zhang JW, Lü P, Yang JS, Liu P, Dong ST, Li DH, Sun QQ (2011) Effect of plant density on grain yield dry matter accumulation and partitioning in summer maize cultivar Denghai 661. Acta Agron Sin 37:1301–1307
Ma C, Huang XS, Li PK, Wei L (2010) Effects of planting density on physiological decline on ear leaf of summer maize. Journal of Maize Science 18:50–53
Montgomery EG (1911) Correlation studies in corn. 24th annual report. Agricultural Experiment Station, Nebraska, Mo
Niki T (1978) Studies on chilling injury in plant cell ultrastructural changes associated with chilling injury in callus tissues of Cornus stolonifera. Plant Cell Physiol 19:139–148
Pessarakli M (2005) Handbook of photosynthesis. 2nd Edition. New York
Sun SX (2003) Brief situation of high yield maize competition of U.S.A in 2002. Journal of Maize Sciences 3:–102
Tao QN, Wu LH, Fang P (1992) Computer image analysis of density and grana ultrastructure of rice chloroplast. Acta Photophysiologica Sinica 18:126–132
Tokatlidis IS, Has V, Melidis V, Has I, Mylonas I, Evgenidis G, Copandean A, Ninou E, Fasoula VA (2011) Maize hybrids less dependent on high plant densities improve resource-use efficiency in rainfed and irrigated conditions. Field Crop Res 120:345–351
Tollenaar M, Lee EA (2002) Yield potential, yield stability and stress tolerance in maize. Field Crop Res 75:161–169
Tollenaar M, Deen W, Echarte L, Liu W (2006) Effect of crowding stress on dry matter accumulation and harvest index in maize. Agron J 98:930–937
Wang CT, Li SK, Han BT (2006) Approaches to high-yielding and yield potential exploration in corn. Science & Technology Review 24:8–11
Weston E, Thorogood K, Vinti G, López-Juez E (2000) Light quantity controls leaf-cell and chloroplast development in Arabidopsis thaliana wild type and blue-light-perception mutants. Planta 211:807–815
Xu PL, Guo YK, Bai JG, Shang L, Wang XJ (2008) Effects of long-term chilling on ultrastructure and antioxidant activity in leaves of two cucumber cultivars under low light. Physiol Plant 132:467–478
Yang JS, Gao HY, Liu P, Li G, Dong ST, Zhang JW, Wang JF (2010) Effects of planting density and row spacing on canopy apparent photosynthesis of high-yield summer corn. Acta Agron Sin 36:1226–1233
Zhang J, Li TL (2005) Effects of daytime sub-high temperature on photosynthesis and chloroplast ultrastructure of tomato leaves in greenhouse. Acta Horticulturae Sinica 32:614–619
Zhao M, Zhang JG, Zhang B, Dong ZQ, Wang MY (2006) The compensatory mechanism in exploring crop production potential. Acta Agron Sin 32:1566–1573
Acknowledgments
We are grateful for grants from National Modern Agricultural Technology & Industry System (CARS-02-20), National Basic Research Program of China (973, Program: 2015CB150404), and Shandong Province Key Agricultural Project for Application Technology Innovation.
Author information
Authors and Affiliations
Corresponding author
Additional information
Communicated by: Sven Thatje
Baizhao Ren and Wei Liu contributed equally to this work.
Rights and permissions
About this article
Cite this article
Ren, B., Liu, W., Zhang, J. et al. Effects of plant density on the photosynthetic and chloroplast characteristics of maize under high-yielding conditions. Sci Nat 104, 12 (2017). https://doi.org/10.1007/s00114-017-1445-9
Received:
Revised:
Accepted:
Published:
DOI: https://doi.org/10.1007/s00114-017-1445-9


