Skip to main content

An experimental test for age-related improvements in reproductive performance in a frog that cares for its young

Abstract

Reproductive performance often increases with age in long-lived iteroparous organisms, a pattern that can result from within-individual increases in effort and/or competence. In free-living populations, it is typically difficult to distinguish these mechanisms or to isolate particular features of reproduction-influencing outcomes. In captive Oophaga pumilio, a frog in which mothers provide extended offspring provisioning via trophic eggs, we experimentally manipulated the age at which females started breeding and then monitored them across repeated reproductive events. This experiment allowed us to decouple age and experience and isolate maternal care as the proximate source of any differences in performance. Younger first-time mothers produced larger broods than older first-time mothers, but did not rear more offspring to independence. Across repeated reproductive events, maternal age was unassociated with any metric of performance. At later reproductive events, however, mothers produced fewer metamorphs, and a lower proportion of individuals in their broods reached independence. These patterns suggest that performance does not improve with age or breeding experience in this frog, and that eventual declines in performance are driven by reproductive activity, not age per se. Broadly, age-specific patterns of reproductive performance may depend on the proximate mechanism by which parents influence offspring fitness and how sensitive these are to effort and competence.

This is a preview of subscription content, access via your institution.

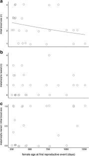
Fig. 1
Fig. 2

References

  • Balbontín J, Hermosell IG, Marzal A, Reviriego M, de Lope F, Møller AP (2007) Age-related change in breeding performance in early life is associated with an increase in competence in the migratory barn swallow Hirundo rustica. J Anim Ecol 76:915–925

    Article  PubMed  Google Scholar 

  • Beamonte-Barrientos R, Velando A, Drummond H, Torres R (2010) Senescence of maternal effects: aging influences egg quality and rearing capacities of a long-lived bird. Am Nat 175:469–480

    Article  PubMed  Google Scholar 

  • Brust DG (1990) Maternal brood care by Dedrobates pumilio: a frog that feeds its young, PhD dissertation. Cornell University, Ithaca, NY

    Google Scholar 

  • Cam E, Monnat JV (2000) Apparent inferiority of first-time breeders in the kittiwake: the role of heterogeneity among age classes. J Anim Ecol 69:380–394

    Article  Google Scholar 

  • Daunt F, Wanless S, Harris MP, Monaghan P (1999) Experimental evidence that age-specific reproductive success is independent of environmental effects. Proc R Soc Lond B 266:1489–1493

    Article  Google Scholar 

  • Dugas MB, Richards-Zawacki CL (2015) A captive breeding experiment reveals no evidence of reproductive isolation among lineages of a polytypic poison frog. Biol J Linn Soc DOI: 10.1111/bij.12571

  • Dugas MB, Wamelink CN, Richards-Zawacki CL (2015) Both sexes pay a cost of reproduction in a frog with biparental care. Biol J Linn Soc 115:211–218

    Article  Google Scholar 

  • Forslund P, Pärt T (1995) Age and reproduction in birds- hypotheses and tests. Trends Ecol Evol 10:374–378

    CAS  Article  PubMed  Google Scholar 

  • Limmer B, Becker PH (2009) Improvement in chick provisioning with parental experience in a seabird. Anim Behav 77:1095–1101

    Article  Google Scholar 

  • Maple MM (2002) Maternal effects on offspring fitness in Dendrobates pumilio, the strawberry poison frog, PhD dissertation. University of Kentucky, Lexington, KY

    Google Scholar 

  • Martin JGA, Festa-Bianchet M (2011) Age-independent and age-dependent decreases in reproduction of females. Ecol Lett 14:576–581

    Article  PubMed  Google Scholar 

  • Moore PJ, Harris WE (2003) Is a decline in offspring quality a necessary consequence of maternal age? Proc R Soc Lond B 270:S192–S194

    Article  Google Scholar 

  • Prӧhl H (2005) Clutch loss affects the operational sex ratio in the strawberry poison frog. Dendrobates pumilio. Behav Ecol Sociobiol 58:310–315

    Article  Google Scholar 

Download references

Acknowledgments

We thank the numerous students who cared for captive frogs, especially Justin Yeager. Three anonymous reviewers provided comments that greatly improved the quality of this manuscript. ANAM (Panama) provided collection and export permission, and Tulane IACUC approved all work (0382, 0382#R1). The National Science Foundation (USA) funded this work (awards # 0701165, 11-46370).

Author information

Affiliations

Authors

Corresponding author

Correspondence to Matthew B. Dugas.

Additional information

Communicated by: Sven Thatje

Electronic supplementary material

Below is the link to the electronic supplementary material.

ESM 1

(PDF 149 kb)

Rights and permissions

Reprints and Permissions

About this article

Verify currency and authenticity via CrossMark

Cite this article

Dugas, M.B., Moore, M.P., Wamelink, C.N. et al. An experimental test for age-related improvements in reproductive performance in a frog that cares for its young. Sci Nat 102, 48 (2015). https://doi.org/10.1007/s00114-015-1302-7

Download citation

  • Received:

  • Revised:

  • Accepted:

  • Published:

  • DOI: https://doi.org/10.1007/s00114-015-1302-7

Keywords

  • Breeding experience
  • Life history
  • Parental care
  • Reproductive success
  • Senescence