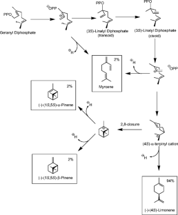
Abstract
(−)-Menthol is the most familiar of the monoterpenes as both a pure natural product and as the principal and characteristic constituent of the essential oil of peppermint (Mentha x piperita). In this paper, we review the biosynthesis and molecular genetics of (−)-menthol production in peppermint. In Mentha species, essential oil biosynthesis and storage is restricted to the peltate glandular trichomes (oil glands) on the aerial surfaces of the plant. A mechanical method for the isolation of metabolically functional oil glands, has provided a system for precursor feeding studies to elucidate pathway steps, as well as a highly enriched source of the relevant biosynthetic enzymes and of their corresponding transcripts with which cDNA libraries have been constructed to permit cloning and characterization of key structural genes. The biosynthesis of (−)-menthol from primary metabolism requires eight enzymatic steps, and involves the formation and subsequent cyclization of the universal monoterpene precursor geranyl diphosphate to the parent olefin (−)-(4S)-limonene as the first committed reaction of the sequence. Following hydroxylation at C3, a series of four redox transformations and an isomerization occur in a general “allylic oxidation–conjugate reduction” scheme that installs three chiral centers on the substituted cyclohexanoid ring to yield (−)-(1R, 3R, 4S)-menthol. The properties of each enzyme and gene of menthol biosynthesis are described, as are their probable evolutionary origins in primary metabolism. The organization of menthol biosynthesis is complex in involving four subcellular compartments, and regulation of the pathway appears to reside largely at the level of gene expression. Genetic engineering to up-regulate a flux-limiting step and down-regulate a side route reaction has led to improvement in the composition and yield of peppermint oil.









References
Alonso WR, Rajaonarivony JIM, Gershenzon J, Croteau R (1992) Purification of 4S-limonene synthase, a monoterpene cyclase from the glandular trichomes of peppermint (Mentha x piperita) and spearmint (M. spicata). J Biol Chem 267:7582–7587
Battaile J, Loomis WD (1961) Biosynthesis of terpenes, II. The site and sequence of terpene formation in peppermint. Biochim Biophys Acta 51:545–552
Battaile J, Burbott AJ, Loomis WD (1968) Monoterpene interconversions: metabolism of pulegone by a cell-free system from Mentha piperita. Phytochemistry 7:1159–1163
Bauer K, Garbe D, Surburg H (1997) Common fragrance and flavor materials. Wiley-VCH, New York, NY, pp50–54
Bedoukian PZ (1986) Perfumery and flavoring synthetics, 3rd ed. Allured, Carol Stream, IL, pp283–300
Benn S (1998) Potent odorants in peppermint and cornmint oils characterized by GC-O and AEDA. Perfum Flavor 23:5–16
Bertea CM, Schalk M, Karp F, Maffei M, Croteau R (2001) Demonstration that menthofuran synthase of mint (Mentha) is a cytochrome P450 monooxygenase: cloning, functional expression and characterization of the responsible gene. Arch Biochem Biophys 390:279–286
Bohlmann J, Meyer-Gauen G, Croteau R (1998) Plant terpenoid synthases: molecular biology and phylogenetic analysis. Proc Natl Acad Sci USA 95:4126–4133
Bouvier F, Suire C, d’Harlingue A, Backhaus RA, Camara B (2000) Molecular cloning of geranyl diphosphate synthase and compartmentation of monoterpene synthesis in plant cells. Plant J 24:241–252
Buckingham J (2004) Dictionary of natural products web version 2004 (2). Chapman and Hall, London, UK [http://www.chemnetbase.com]
Burbott AJ, Loomis WD (1967) Effects of light and temperature on the monoterpenes of peppermint. Plant Physiol 42:20–28
Burke C, Croteau R (2002) Interaction with the small subunit of geranyl diphosphate synthase modifies the chain length specificity of geranylgeranyl diphosphate synthase to produce geranyl diphosphate. J Biol Chem 277:3141–3149
Burke C, Croteau R (2002) Geranyl diphosphate synthase from Abies grandis: cDNA isolation, functional expression and characterization. Arch Biochem Biophys 405:130–136
Burke C, Wildung MR, Croteau R (1999) Geranyl diphosphate synthase: cloning, expression, and characterization of this prenyltransferase as a heterodimer. Proc Natl Acad Sci USA 96:13062–13067
Burke C, Klettke K, Croteau R (2004) Heteromeric geranyl diphosphate synthase from mint: construction of a functional fusion protein and inhibition by bisphosphonate substrate analogs. Arch Biochem Biophys 422:52–60
Chen A, Kroon PA, Poulter CD (1994) Isoprenyl diphosphate synthases: protein sequence comparisons, a phylogenetic tree, and predictions of secondary structure. Protein Sci 3:600–607
Clark GS (1988) Menthol. Perfum Flavor 13:37–46
Clark RJ, Menary RC (1980) Environmental effects on peppermint, I. Effect of day length, photon flux density, night temperature and day temperature on the yield and composition of peppermint oil. Aust J Plant Physiol 7:685–692
Colby SM, Alonso WR, Katahira EJ, McGarvey DJ, Croteau R (1993) 4S-Limonene synthase from the oil glands of spearmint (Mentha spicata): cDNA isolation, characterization and bacterial expression of the catalytically active monoterpene cyclase. J Biol Chem 268:23016–23024
Croteau R (1987) Biosynthesis and catabolism of monoterpenoids. Chem Rev 87:929–954
Croteau R, Venkatachalam KV (1986) Metabolism of monoterpenes: demonstration that (+)-cis-isopulegone, not piperitenone, is the key intermediate in the conversion of (−)-isopiperitenone to (+)-pulegone in peppermint (Mentha piperita). Arch Biochem Biophys 249:306–315
Croteau R, Gershenzon J (1994) Genetic control of monoterpene biosynthesis in mints (Mentha: Lamiaceae). Recent Adv Phytochem 28:193–229
Croteau R, Karp F, Wagschal KC, Satterwhite DM, Hyatt DC, Skotland CB (1991) Biochemical characterization of a spearmint mutant that resembles peppermint in monoterpene content. Plant Physiol 96:744–752
Davis EM, Croteau R (2000) Cyclization enzymes in the biosynthesis of monoterpenes, sesquiterpenes and diterpenes. Top Curr Chem 209:53–95
Davis EM, Ringer KL, McConkey ME, Croteau R (2005) Monoterpene metabolism: cloning, expression and characterization of menthone reductases from peppermint. Plant Physiol 137:873–881
Eisenreich W, Sagner S, Zenk MH, Bacher A (1997) Monoterpene essential oils are not of mevalonoid origin. Tetrahedron Lett 38:3889–3892
Erman WF (1985) The p-menthane monoterpenes. In: Chemistry of the monoterpenes, Part A. Marcel Dekker, New York, NY, pp601–724
Fichan I, Larroche C, Gros JB (1999) Water solubility, vapor pressure and activity coefficients of terpenes and terpenoids. J Chem Eng Data 44:56–62
Fuchs S, Beck T, Sandvoss M, Mosandl A (1999) Biogenetic studies in Mentha x piperita, 2. Stereoselectivity in the bioconversion of pulegone into menthone and isomenthone. J Agric Food Chem 47:3058–3062
Gershenzon J, Maffei M, Croteau R (1989) Biochemical and histochemical localization of monoterpene biosynthesis in the glandular trichomes of spearmint (Mentha spicata). Plant Physiol 89:1351–1357
Gershenzon J, McConkey M, Croteau R (2000) Regulation of monoterpene accumulation in leaves of peppermint (Mentha x piperita L.). Plant Physiol 122:205–213
Gershenzon J, McCaskill D, Rajaonarivony J, Mihaliak C, Karp F, Croteau R (1991) Biosynthetic methods for plant natural products: new procedures for the study of glandular trichome constituents. Recent Adv Phytochem 25:347–370
Gershenzon J, McCaskill D, Rajaonarivony JIM, Mihaliak C, Karp F, Croteau R (1992) Isolation of secretory cells from plant glandular trichomes and their use in biosynthetic studies of monoterpenes and other gland products. Anal Biochem 200:130–138
Haley RC, Miller JA, Wood HCS (1969) Phosphate esters, Part II. The formation of monoterpene hydrocarbons from geranyl and neryl diphenyl phosphates. J Chem Soc (C) 1969:264–268
Harborne JB (1991) Recent advances in the ecological chemistry of plant terpenoids. In: Harborne JB, Tomas-Barberan FA (eds) Ecological chemistry and biochemistry of plant terpenoids. Clarendon, Oxford, UK, pp399–426
Karp F, Mihaliak CA, Harris JL, Croteau R (1990) Monoterpene biosynthesis: specificity of the hydroxylations of (−)-limonene by enzyme preparations from peppermint (Mentha piperita), spearmint (Mentha spicata), and perilla (Perilla frutescens) leaves. Arch Biochem Biophys 276:219–226
Kjonaas R, Croteau R (1983) Demonstration that limonene is the first cyclic intermediate in the biosynthesis of oxygenated p-menthane monoterpenes in Mentha piperita and other Mentha species. Arch Biochem Biophys 220:79–89
Kjonaas R, Martinkus-Taylor C, Croteau R (1982) Metabolism of monoterpenes: conversion of l-menthone to l-menthol and d-neomenthol by stereospecific dehydrogenases from peppermint (Mentha piperita) leaves. Plant Physiol 69:1013–1017
Kjonaas RB, Venkatachalam KV, Croteau R (1985) Metabolism of monoterpenes: oxidation of isopiperitenol to isopiperitenone, and subsequent isomerization to piperitenone, by soluble enzyme preparations from peppermint (Mentha piperita) leaves. Arch Biochem Biophys 238:49–60
Lange BM, Croteau R (1999) Isoprenoid biosynthesis via a mevalonate-independent pathway in plants: cloning and heterologous expression of 1-deoxy-d-xylulose-5-phosphate reductoisomerase from peppermint. Arch Biochem Biophys 365:170–174
Lange BM, Ketchum REB, Croteau R (2001) Isoprenoid biosynthesis: metabolite profiling of peppermint oil gland secretory cells and application to herbicide target analysis. Plant Physiol 127:305–314
Lange BM, Wildung MR, McCaskill DG, Croteau R (1998) A family of transketolases that directs isoprenoid biosynthesis via a mevalonate-independent pathway. Proc Natl Acad Sci USA 95:2100–2104
Lange BM, Wildung MR, Stauber EJ, Sanchez C, Pouchnik D, Croteau R (2000) Probing essential oil biosynthesis and secretion by functional evaluation of expressed sequence tags from mint glandular trichomes. Proc Natl Acad Sci USA 97:2934–2939
Lawrence BM (1981) Monoterpene interrelationships in the Mentha genus: a biosynthetic discussion. In: Mookherjee BD, Mussinan CJ (eds) Essential oils. Allured, Wheaton, IL, pp1–81
Li X, Gong Z, Koiwa H, Niu X, Espartero J, Zhu X, Veronese P, Ruggiero B, Bressan RA, Weller SC, Hasegawa PM (2001) Bar-expressing peppermint (Mentha x piperita L. var. Black Mitcham) plants are highly resistant to the glufosinate herbicide Liberty. Mol Breed 8:109–118
Lupien S, Karp F, Wildung M, Croteau R (1999) Regiospecific cytochrome P450 limonene hydroxylases from mint (Mentha) species: cDNA isolation, characterization, and functional expression of (−)-4S-limonene-3-hydroxylase and (−)-4S-limonene-6-hydroxylase. Arch Biochem Biophys 368:181–192
Mahmoud SS, Croteau R (2001) Metabolic engineering of essential oil yield and composition in mint by altering expression of deoxyxylulose phosphate reductoisomerase and menthofuran synthase. Proc Natl Acad Sci USA 98:8915–8920
Mahmoud SS, Croteau R (2003) Menthofuran regulates essential oil biosynthesis in peppermint by controlling a downstream monoterpene reductase. Proc Natl Acad Sci USA 100:14481–14486
McCaskill D, Croteau R (1995) Monoterpene and sesquiterpene biosynthesis in glandular trichomes of peppermint (Mentha x piperita) rely exclusively on plastid-derived isopentenyl diphosphate. Planta 197:49–56
McCaskill D, Gershenzon J, Croteau R (1992) Morphology and monoterpene biosynthetic capabilities of secretory cell clusters isolated from glandular trichomes of peppermint (Mentha piperita). Planta 187:445–454
McConkey M, Gershenzon J, Croteau R (2000) Developmental regulation of monoterpene biosynthesis in the glandular trichomes of peppermint (Mentha x piperita L.). Plant Physiol 122:215–223
Mihaliak CA, Gershenzon J, Croteau R (1991) Lack of rapid monoterpene turnover in rooted plants: implications for theories of plant chemical defense. Oecologia 87:373–376
Murray MJ, Lincoln DE, Marble PM (1972) Oil composition of Mentha aquatica x M. spicata F1 hybrids in relation to the origin of M. x piperita. Can J Genet Cytol 14:13–29
Niu X, Lin K, Hasegawa PM, Bressan RA, Weller SC (1998) Transgenic peppermint (Mentha x piperita L.) plants obtained by co-cultivation with Agrobacterium tumefaciens. Plant Cell Rep 17:165–171
Niu X, Li X, Veronese P, Bressan RA, Weller SC, Hasegawa PM (2000) Factors affecting Agrobacterium tumefaciens-mediated transformation of peppermint. Plant Cell Rep 19:304–310
Park S-H, Kim S-U (1998) Modified monoterpenes from biotransformation of (−)-isopiperitenone by suspension cell culture of Mentha piperita. J Nat Prod 61:354–357
Pichersky E, Gang DR (2000) Genetics and biochemistry of secondary metabolites in plants: an evolutionary perspective. Trends Plant Sci 5:439–445
Ramos-Valdivia AC, van der Heijden R, Verpoorte R (1997) Isopentenyl diphosphate isomerase: a core enzyme in isoprenoid biosynthesis. A review of its biochemistry and function. Nat Prod Rep 14:591–603
Ringer KL, Davis EM, Croteau R (2005) Monoterpene metabolism: cloning, expression and characterization of (−)-isopiperitenol/(−)-carveol dehydrogenase from peppermint and spearmint. Plant Physiol 137:863–872
Ringer KL, McConkey ME, Davis EM, Rushing GW, Croteau R (2003) Monoterpene double-bond reductases of the (−)-menthol biosynthetic pathway: isolation and characterization of cDNAs encoding (−)-isopiperitenone reductase and (+)-pulegone reductase of peppermint. Arch Biochem Biophys 418:80–92
Rohdich F, Hecht S, Gärtner K, Adam P, Krieger C, Amslinger S, Arigoni D, Bacher A, Eisenreich W (2002) Studies on the nonmevalonate terpene biosynthetic pathway: metabolic role of IspH (LytB) protein. Proc Natl Acad Sci USA 99:1158–1163
Schalk M, Croteau R (2000) A single amino acid substitution (Phe363Ile) converts the regiochemistry of the spearmint (−)-limonene hydroxylase from a C6- to a C3-hydroxylase. Proc Natl Acad Sci USA 97:11948–11953
Talalay P, Benson AM (1972) Δ5-3-Ketosteroid isomerase. In: Boyer PD (ed) The enzymes, 3rd edn, vol 6. Academic, New York, NY, USA, pp591–618
Tholl D, Kish CM, Orlova I, Sherman D, Gershenzon J, Pichersky E, Dudareva N (2004) Formation of monoterpenes in Antirrhinum majus and Clarkia breweri flowers involves heterodimeric geranyl diphosphate synthases. Plant Cell 16:977–992
Trapp SC, Croteau RB (2001) Genomic organization of plant terpene synthases and molecular evolutionary implications. Genetics 158:811–832
Tucker AO (1992) The truth about mints. The Herb Companion 4(6):51–52
Turner GW, Croteau R (2004) Organization of monoterpene biosynthesis in Mentha: immunocytochemical localization of geranyl diphosphate synthase, limonene-6-hydroxylase, isopiperitenol dehydrogenase, and pulegone reductase. Plant Physiol 136:4215–4227
Turner GW, Gershenzon J, Croteau RB (2000a) Distribution of peltate glandular trichomes on developing leaves of peppermint (Mentha x piperita L.). Plant Physiol 124:655–663
Turner GW, Gershenzon J, Croteau RB (2000b) Development of peltate glandular trichomes of peppermint (Mentha x piperita L.). Plant Physiol 124:665–679
Turner GW, Gershenzon J, Nielson EE, Froehlich JE, Croteau R (1999) Limonene synthase, the enzyme responsible for monoterpene biosynthesis in peppermint, is localized to leucoplasts of oil gland secretory cells. Plant Physiol 120:879–886
Vial MV, Rojas C, Portilla G, Chayet L, Perez LM, Cori O (1981) Enhancement of the hydrolysis of geranyl pyrophosphate by bivalent metal ions. A model for enzymic biosynthesis of cyclic monoterpenes. Tetrahedron 37:2351–2357
Voirin B, Brun N, Bayet C (1990) Effects of day length on the monoterpene composition of leaves of Mentha x piperita. Phytochemistry 29:749–755
Weidenhamer JD, Macias FA, Fischer NH, Williamson GB (1993) Just how insoluble are monoterpenes? J Chem Ecol 19:1799–1807
Williams DC, McGarvey DJ, Katahira EJ, Croteau R (1998) Truncation of limonene synthase preprotein provides a fully active ‘pseudomature’ form of this monoterpene cyclase and reveals the function of the amino-terminal arginine pair. Biochemistry 37:12213–12220
Wise ML, Croteau R (1999) Monoterpene biosynthesis. In: Cane DE (ed) Comprehensive natural products chemistry: isoprenoids including carotenoids and steroids. Elsevier Science, Oxford, pp97–153
Wüst M, Croteau R (2002) Hydroxylation of specifically deuterated limonene enantiomers by cytochrome P450 limonene-6-hydroxylase reveals the mechanism of multiple product formation. Biochemistry 41:1820–1827
Wüst M, Little DB, Schalk M, Croteau R (2001) Hydroxylation of limonene enantiomers and analogs by recombinant (−)-limonene 3- and 6-hydroxylases from mint (Mentha) species: evidence for catalysis within sterically constrained active sites. Arch Biochem Biophys 387:125–136
Acknowledgements
Studies on the origin of menthol in our laboratory were supported by grants from the National Science Foundation and the U.S. Department of Energy, a research contract with the Washington Mint Commission/Mint Industry Research Council, and Hatch Project 0268 from the Agricultural Research Center, Washington State University. We are indebted to a group of dedicated coworkers for their many efforts, as indicated in the appropriate references.
Author information
Authors and Affiliations
Corresponding author
Rights and permissions
About this article
Cite this article
Croteau, R.B., Davis, E.M., Ringer, K.L. et al. (−)-Menthol biosynthesis and molecular genetics. Naturwissenschaften 92, 562–577 (2005). https://doi.org/10.1007/s00114-005-0055-0
Published:
Issue Date:
DOI: https://doi.org/10.1007/s00114-005-0055-0