Skip to main content

Einfluss von Melatonin auf die Physiologie des Haares

The influence of melatonin on hair physiology

Zusammenfassung

Melatonin, das Hormon der Zirbeldrüse (Glandula pinealis) und ein starkes Antioxidans, ist seit Langem v. a. in der tierexperimentellen Forschung und wollproduzierenden Industrie als eine potente regulatorische neuroendokrine Substanz in Bezug auf Haarwachstum, Haarfarbe und Haarzyklus in Abhängigkeit von Lichtperioden, saisonalen Rhythmen, von Umwelteinflussfaktoren und Reproduktionsrhythmen bekannt. Dennoch sind die biologischen Mechanismen dieses äußerst vielseitigen Hormons v. a. in Bezug auf den humanen Haarfollikel nicht vollständig geklärt. In den letzten Jahren konnten jedoch wesentliche Erkenntnisse zum melatoninergen System der Haut, zu Melatoninspiegeln in Keratinozyten und Haarfollikeln, zur extrapinealen intrafollikulären Melatoninsynthese und Noradrenalin-stimulierten Synthesesteigerung sowie zur haarzyklusabhängigen Expression des membranständigen Melatoninrezeptors MT2 und des nukleären Rezeptors RORα gewonnen werden. Auch funktionelle Daten zum Wachstum des humanen Haares in vitro und in vivo zeigen, dass Melatonin eine Rolle in der Physiologie des Haares zu spielen scheint.

Abstract

Melatonin, the pineal gland hormone and a strong antioxidant, has long been known, particularly in animal-experiment based research and the wool-producing industry, to be a potent regulatory neuroendocrine substance in relation to hair growth, hair color and hair cycle, depending on light periods, seasonal rhythms, environmental factors and reproductive rhythms. Nevertheless, the biological mechanisms of this extremely versatile hormone, especially with regard to human hair follicles, are not fully understood. In recent years, however, essential knowledge has been gained on the melatoninergic system of the skin, melatonin levels in keratinocytes and hair follicles, extrapineal intrafollicular melatonin synthesis and noradrenalin-induced increase in synthesis, as well as hair cycle-dependent expression of the membrane-bound melatonin receptor MT2 and the nuclear receptor RORα. Functional data on the growth of human hair both in vitro and in vivo show that melatonin might play an essential role in hair physiology.

This is a preview of subscription content, access via your institution.

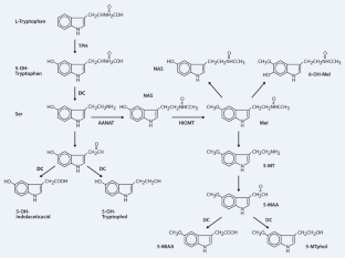
Abb. 1

Literatur

  1. Allain D, Ravault JP, Panaretto BA, Rougeot J (1986) Effects of pinealectomy on photoperiodic control of hair follicle activity in the Limousine ram: possible relationship with plasma prolactin levels. J Pineal Res 3:25–32

    Article  PubMed  CAS  Google Scholar 

  2. Alonso R, Prieto L, Hernandez C, Mas M (1978) Antiandrogenic effects of the pineal gland and melatonin in castrated and intact prepubertal male rats. J Endocrinol 79:77–83

    Article  PubMed  CAS  Google Scholar 

  3. Arendt J (1988) Melatonin. Clin Endocrinol (Oxf) 29:205–229

    Google Scholar 

  4. Bangha E, Elsner P, Kistler GS (1996) Suppression of UV-induced erythema by topical treatment with melatonin (N-acetyl-5-methoxytryptamine). A dose response study. Arch Dermatol Res 288:522–526

    Article  PubMed  CAS  Google Scholar 

  5. Bangha E, Elsner P, Kistler GS (1997) Suppression of UV-induced erythema by topical treatment with melatonin (N-acetyl-5-methoxytryptamine). Influence of the application time point. Dermatology 195:248–252

    Article  PubMed  CAS  Google Scholar 

  6. Becker-Andre M, Andre E, DeLamarter JF (1993) Identification of nuclear receptor mRNAs by RT-PCR amplification of conserved zinc-finger motif sequences. Biochem Biophys Res Commun 194:1371–1379

    Article  PubMed  CAS  Google Scholar 

  7. Bubenik GA (2002) Gastrointestinal melatonin: localization, function and clinical relevance. Dig Dis Sci 47:2336–2348

    Article  PubMed  CAS  Google Scholar 

  8. Bubenik GA, Smith PS (1987) Circadian and circannual rhythms of melatonin in plasma of male white- tailed deer and the effect of oral administration of melatonin. J Exp Zool 241:81–89

    Article  PubMed  CAS  Google Scholar 

  9. Cahill GM, Besharse JC (1992) Light-sensitive melatonin synthesis by Xenopus photoreceptors after destruction of the inner retina. Vis Neurosci 8:487–490

    Article  PubMed  CAS  Google Scholar 

  10. Carrillo-Vico A, Calvo JR, Abreu P et al (2004) Evidence of melatonin synthesis by human lymphocytes and its physiological significance: possible role as intracrine, autocrine and/or paracrine substance. FASEB J 18:537–539

    PubMed  CAS  Google Scholar 

  11. Clemens JW, Jarzynka MJ, Witt-Enderby PA (2001) Down-regulation of mt1 melatonin receptors in rat ovary following estrogen exposure. Life Sci 69:27–35

    Article  PubMed  CAS  Google Scholar 

  12. Clive D, Snell RS (1969) Effect of melatonin on mammalian hair color. J Invest Dermatol 53:159–162

    PubMed  CAS  Google Scholar 

  13. Cos S, Gonzalez A, Martinez-Campa C et al (2006) Estrogen-signaling pathway: a link between breast cancer and melatonin oncostatic actions. Cancer Detect Prev 30:118–128

    Article  PubMed  CAS  Google Scholar 

  14. del Rio B, Garcia Pedrero JM, Martinez-Campa C et al (2004) Melatonin, an endogenous-specific inhibitor of estrogen receptor alpha via calmodulin. J Biol Chem 279:38294–38302

    Article  CAS  Google Scholar 

  15. Dillon DC, Easley SE, Asch BB et al (2002) Differential expression of high-affinity melatonin receptors (MT1) in normal and malignant human breast tissue. Am J Clin Pathol 118:451–458

    Article  PubMed  CAS  Google Scholar 

  16. Dreher F, Gabard B, Schwindt DA, Maibach HI (1998) Topical melatonin in combination with vitamins E and C protects skin from ultraviolet-induced erythema: a human study in vivo. Br J Dermatol 139:332–339

    Article  PubMed  CAS  Google Scholar 

  17. Dubocovich ML, Masana MI, Iacob S, Sauri DM (1997) Melatonin receptor antagonists that differentiate between the human Mel1a and Mel1b recombinant subtypes are used to assess the pharmacological profile of the rabbit retina ML1 presynaptic heteroreceptor. Naunyn Schmiedebergs Arch Pharmacol 355:365–375

    Article  PubMed  CAS  Google Scholar 

  18. Duncan MJ, Goldman BD, Di Pinto MN, Stetson MH (1985) Testicular function and pelage color have different critical daylengths in the Djungarian hamster, Phodopus sungorus sungorus. Endocrinology 116:424–430

    Article  PubMed  CAS  Google Scholar 

  19. Fischer TW, Burmeister G, Schmidt HW, Elsner P (2004) Melatonin increases anagen hair rate in women with androgenetic alopecia or diffuse alopecia: results of a pilot randomized controlled trial. Br J Dermatol 150:341–345

    Article  PubMed  CAS  Google Scholar 

  20. Fischer TW, Elsner P (2001) The antioxidative potential of melatonin in the skin. Curr Probl Dermatol 29:165–174

    Article  PubMed  CAS  Google Scholar 

  21. Fischer TW, Fischer A, Knöll B et al (2000) Melatonin in low doses enhances in vitro human hair follicle proliferation and inhibits hair growth in high doses. Arch Dermatol Res 292:147

    Google Scholar 

  22. Fischer TW, Scholz G, Knoll B et al (2001) Melatonin reduces UV-induced reactive oxygen species in a dose-dependent manner in IL-3-stimulated leukocytes. J Pineal Res 31:39–45

    Article  PubMed  CAS  Google Scholar 

  23. Fischer TW, Scholz G, Knoll B et al (2002) Melatonin suppresses reactive oxygen species in UV-irradiated leukocytes more than vitamin C and trolox. Skin Pharmacol Appl Skin Physiol 15:367–373

    PubMed  CAS  Google Scholar 

  24. Fischer TW, Scholz G, Knoll B et al (2004) Melatonin suppresses reactive oxygen species induced by UV irradiation in leukocytes. J Pineal Res 37:107–112

    Article  PubMed  CAS  Google Scholar 

  25. Fischer TW, Slominski A, Tobin DJ, Paus R (2008) Melatonin and the hair follicle. J Pineal Res 44:1–15

    Article  PubMed  CAS  Google Scholar 

  26. Fischer TW, Slominski A, Zmijewski MA et al (2008) Melatonin as a major skin protectant: from free radical scavenging to DNA damage repair. Exp Dermatol 17:713–730

    Article  PubMed  CAS  Google Scholar 

  27. Fischer TW, Sweatman TW, Semak I et al (2006) Constitutive and UV-induced metabolism of melatonin in keratinocytes and cell-free systems. FASEB J 20:1564–1566

    Article  PubMed  CAS  Google Scholar 

  28. Fischer TW, Zbytek B, Sayre RM et al (2006) Melatonin increases survival of HaCaT keratinocytes by suppressing UV-induced apoptosis. J Pineal Res 40:18–26

    Article  PubMed  CAS  Google Scholar 

  29. Fischer TW, Zmijewski MA, Wortsman J, Slominski A (2008) Melatonin maintains mitochondrial membrane potential and attenuates activation of initiator (casp-9) and effector caspases (casp-3/casp-7) and PARP in UVR-exposed HaCaT keratinocytes. J Pineal Res 44:397–407

    Article  PubMed  CAS  Google Scholar 

  30. Fischer TW, Zmijewski MA, Zbytek B et al (2006) Oncostatic effects of the indole melatonin and expression of its cytosolic and nuclear receptors in cultured human melanoma cell lines. Int J Oncol 29:665–672

    PubMed  CAS  Google Scholar 

  31. Foldes A, Maxwell CA (1993) Effect of pinealectomy and plane of nutrition on wool growth in Merino sheep. J Pineal Res 15:27–34

    Article  PubMed  CAS  Google Scholar 

  32. Gilad E, Matzkin H, Zisapel N (1997) Interplay between sex steroids and melatonin in regulation of human benign prostate epithelial cell growth. J Clin Endocrinol Metab 82:2535–2541

    Article  PubMed  CAS  Google Scholar 

  33. Girgert R, Bartsch C, Hill SM et al (2003) Tracking the elusive antiestrogenic effect of melatonin: a new methodological approach. Neuro Endocrinol Lett 24:440–444

    PubMed  CAS  Google Scholar 

  34. Hardeland R (2005) Antioxidative protection by melatonin: multiplicity of mechanisms from radical detoxification to radical avoidance. Endocrine 27:119–130

    Article  PubMed  CAS  Google Scholar 

  35. Hasse S, Gibbons NC, Rokos H et al (2004) Perturbed 6-tetrahydrobiopterin recycling via decreased dihydropteridine reductase in vitiligo: more evidence for H2O2 stress. J Invest Dermatol 122:307–313

    Article  PubMed  CAS  Google Scholar 

  36. Herxheimer A, Petrie KJ (2002) Melatonin for the prevention and treatment of jet lag. Cochrane Database Syst Rev CD001520

  37. Hipler UC, Fischer TW, Elsner P (2003) HaCaT cell proliferation influenced by melatonin. Skin Pharmacol Appl Skin Physiol 16:379–385

    PubMed  CAS  Google Scholar 

  38. Hoffmann K (1979) Photoperiodic effects in the Djungarian hamster: one minute of light during darktime mimics influence of long photoperiods on testicular recrudescence, body weight and pelage colour. Experientia 35:1529–1530

    Article  PubMed  CAS  Google Scholar 

  39. Hoffmann R, Niiyama S, Huth A et al (2002) 17alpha-estradiol induces aromatase activity in intact human anagen hair follicles ex vivo. Exp Dermatol 11:376–380

    Article  PubMed  CAS  Google Scholar 

  40. Houssay AB, Pazo JH, Epper CE (1966) Effects of the pineal gland upon the hair cycles in mice. J Invest Dermatol 47:230–234

    PubMed  CAS  Google Scholar 

  41. Ibraheem M, Galbraith H, Scaife J, Ewen S (1994) Growth of secondary hair follicles of the Cashmere goat in vitro and their response to prolactin and melatonin. J Anat 185(Pt 1):135–142

    PubMed  CAS  Google Scholar 

  42. Ibraheem M, Galbraith H, Scaife J, Ewen S (1994) Growth of secondary hair follicles of the Cashmere goat in vitro and their response to prolactin and melatonin. J Anat 185:135–142

    PubMed  CAS  Google Scholar 

  43. Itoh MT, Ishizuka B, Kuribayashi Y et al (1999) Melatonin, its precursors and synthesizing enzyme activities in the human ovary. Mol Hum Reprod 5:402–408

    Article  PubMed  CAS  Google Scholar 

  44. Iyengar B (2000) Melatonin and melanocyte functions. Biol Signals Recept 9:260–266

    Article  PubMed  CAS  Google Scholar 

  45. Kiefer TL, Lai L, Yuan L et al (2005) Differential regulation of estrogen receptor alpha, glucocorticoid receptor and retinoic acid receptor alpha transcriptional activity by melatonin is mediated via different G proteins. J Pineal Res 38:231–239

    Article  PubMed  CAS  Google Scholar 

  46. Kobayashi H, Kromminga A, Dunlop TW et al (2005) A role of melatonin in neuroectodermal-mesodermal interactions: the hair follicle synthesizes melatonin and expresses functional melatonin receptors. FASEB J 19:1710–1712

    PubMed  CAS  Google Scholar 

  47. Leon J, Acuna-Castroviejo D, Sainz RM et al (2004) Melatonin and mitochondrial function. Life Sci 75:765–790

    Article  PubMed  CAS  Google Scholar 

  48. Lerchl A, Schlatt S (1993) Influence of photoperiod on pineal melatonin synthesis, fur color, body weight and reproductive function in the female Djungarian hamster, Phodopus sungorus. Neuroendocrinology 57:359–364

    Article  PubMed  CAS  Google Scholar 

  49. Lerner AB, Case JD, Takahashi Y (1958) Isolation of melatonin, a pineal factor that lightens melanocytes. J Am Chem Soc 80:2587

    Article  CAS  Google Scholar 

  50. Lincoln GA, Ebling FJ (1985) Effect of constant-release implants of melatonin on seasonal cycles in reproduction, prolactin secretion and moulting in rams. J Reprod Fertil 73:241–253

    PubMed  CAS  Google Scholar 

  51. Logan A, Weatherhead B (1979) Melatonin-induced inhibition of melanogenesis in hair follicles in vitro. J Endocrinol 81:168

    Google Scholar 

  52. Logan A, Weatherhead B (1978) Pelage color cycles and hair follicle tyrosinase activity in the Siberian hamster. J Invest Dermatol 71:295–298

    Article  PubMed  CAS  Google Scholar 

  53. Logan A, Weatherhead B (1980) Post-tyrosinase inhibition of melanogenesis by melatonin in hair follicles in vitro. J Invest Dermatol 74:47–50

    Article  PubMed  CAS  Google Scholar 

  54. Mailliet F, Ferry G, Vella F et al (2005) Characterization of the melatoninergic MT(3) binding site on the NRH:quinone oxidoreductase 2 enzyme. Biochem Pharmacol 71:74–88

    Article  PubMed  CAS  Google Scholar 

  55. McCloghry E, Foldes A, Hollis D et al (1992) Effects of pinealectomy on wool growth and wool follicle density in merino sheep. J Pineal Res 13:139–144

    Article  PubMed  CAS  Google Scholar 

  56. Morreale M, Livrea MA (1997) Synergistic effect of glycolic acid on the antioxidant activity of alpha-tocopherol and melatonin in lipid bilayers and in human skin homogenates. Biochem Mol Biol Int 42:1093–1102

    PubMed  CAS  Google Scholar 

  57. Muller-Rover S, Handjiski B, van der Veen C et al (2001) A comprehensive guide for the accurate classification of murine hair follicles in distinct hair cycle stages. J Invest Dermatol 117:3–15

    Article  PubMed  CAS  Google Scholar 

  58. Nixon AJ, Ashby MG, Saywell DP, Pearson AJ (1995) Seasonal fiber growth cycles of ferrets (Mustela putorius furo) and long-term effects of melatonin treatment. J Exp Zool 272:435–445

    Article  PubMed  CAS  Google Scholar 

  59. Nixon AJ, Choy VJ, Parry AL, Pearson AJ (1993) Fiber growth initiation in hair follicles of goats treated with melatonin. J Exp Zool 267:47–56

    Article  PubMed  CAS  Google Scholar 

  60. Nosjean O, Ferro M, Coge F et al (2000) Identification of the melatonin-binding site MT3 as the quinone reductase 2. J Biol Chem 275:31311–31317

    Article  PubMed  CAS  Google Scholar 

  61. Nosjean O, Nicolas JP, Klupsch F et al (2001) Comparative pharmacological studies of melatonin receptors: MT1, MT2 and MT3/QR2. Tissue distribution of MT3/QR2. Biochem Pharmacol 61:1369–1379

    Article  PubMed  CAS  Google Scholar 

  62. Paus R, Cotsarelis G (1999) The biology of hair follicles. N Engl J Med 341:491–497

    Article  PubMed  CAS  Google Scholar 

  63. Paus R, Ito N, Takigawa M, Ito T (2003) The hair follicle and immune privilege. J Investig Dermatol Symp Proc 8:188–194

    Article  PubMed  Google Scholar 

  64. Reiter RJ, Poeggeler B, Tan DX et al (1993) Antioxidant capacity of melatonin: a novel action not requiring a receptor. Neuroendocrinol Lett 15:103–116

    CAS  Google Scholar 

  65. Reiter RJ, Tan DX (2003) What constitutes a physiological concentration of melatonin? J Pineal Res 34:79–80

    Article  PubMed  CAS  Google Scholar 

  66. Reiter RJ, Tan DX, Allegra M (2002) Melatonin: reducing molecular pathology and dysfunction due to free radicals and associated reactants. Neuroendocrinol Lett 23:3–8

    PubMed  CAS  Google Scholar 

  67. Reiter RJ, Tan DX, Maldonado MD (2005) Melatonin as an antioxidant: physiology versus pharmacology. J Pineal Res 39:215–216

    PubMed  CAS  Google Scholar 

  68. Rose J, Oldfield J, Stormshak F (1987) Apparent role of melatonin and prolactin in initiating winter fur growth in mink. Gen Comp Endocrinol 65:212–215

    Article  PubMed  CAS  Google Scholar 

  69. Rust CC, Meyer RK (1969) Hair color, molt and testis size in male, short-tailed weasels treated with melatonin. Science 165:921–922

    Article  PubMed  CAS  Google Scholar 

  70. Skinner DC, Malpaux B (1999) High melatonin concentrations in third ventricular cerebrospinal fluid are not due to Galen vein blood recirculating through the choroid plexus. Endocrinology 140:4399–4405

    Article  PubMed  CAS  Google Scholar 

  71. Slominski A, Chassalerris N, Mazurkiewicz J, Paus R (1994) Murine skin as a target for melatonin bioregulation. Exp Dermatol 3:45–50

    Article  PubMed  CAS  Google Scholar 

  72. Slominski A, Fischer TW, Zmijewski MA et al (2005) On the role of melatonin in skin physiology and pathology. Endocrine 27:137–148

    Article  PubMed  CAS  Google Scholar 

  73. Slominski A, Paus R (1993) Melanogenesis is coupled to murine anagen: toward new concepts for the role of melanocytes and the regulation of melanogenesis in hair growth. J Invest Dermatol 101:90S–97S

    Article  PubMed  CAS  Google Scholar 

  74. Slominski A, Paus R, Plonka P et al (1994) Melanogenesis during the anagen-catagen-telogen transformation of the murine hair cycle. J Invest Dermatol 102:862–869

    Article  PubMed  CAS  Google Scholar 

  75. Slominski A, Pisarchik A, Semak I et al (2003) Characterization of the serotoninergic system in the C57BL/6 mouse skin. Eur J Biochem 270:3335–3344

    Article  PubMed  CAS  Google Scholar 

  76. Slominski A, Pisarchik A, Semak I et al (2002) Serotoninergic and melatoninergic systems are fully expressed in human skin. FASEB J 16:896–898

    PubMed  CAS  Google Scholar 

  77. Slominski A, Pisarchik A, Zbytek B et al (2003) Functional activity of serotoninergic and melatoninergic systems expressed in the skin. J Cell Physiol 196:144–153

    Article  PubMed  CAS  Google Scholar 

  78. Slominski A, Wortsman J, Plonka PM et al (2005) Hair follicle pigmentation. J Invest Dermatol 124:13–21

    Article  PubMed  CAS  Google Scholar 

  79. Slominski A, Wortsman J, Tobin DJ (2005) The cutaneous serotoninergic/melatoninergic system: securing a place under the sun. FASEB J 19:176–194

    Article  PubMed  CAS  Google Scholar 

  80. Steinmayr M, Andre E, Conquet F et al (1998) Staggerer phenotype in retinoid-related orphan receptor alpha-deficient mice. Proc Natl Acad Sci U S A 95:3960–3965

    Article  PubMed  CAS  Google Scholar 

  81. Tan DX, Chen LD, Poeggeler B et al (1993) Melatonin: a potent, endogenous hydroxyl radical scavenger. Endocr J 1:57–60

    Google Scholar 

  82. Tan DX, Manchester LC, Hardeland R et al (2003) Melatonin: a hormone, a tissue factor, an autocoid, a paracoid, and an antioxidant vitamin. J Pineal Res 34:75–78

    Article  PubMed  CAS  Google Scholar 

  83. Tan DX, Manchester LC, Reiter RJ et al (1999) High physiological levels of melatonin in the bile of mammals. Life Sci 65:2523–2529

    Article  PubMed  CAS  Google Scholar 

  84. Tan DX, Manchester LC, Reiter RJ et al (1999) Identification of highly elevated levels of melatonin in bone marrow: its origin and significance. Biochim Biophys Acta 1472:206–214

    PubMed  CAS  Google Scholar 

  85. Tan DX, Manchester LC, Terron MP et al (2007) One molecule, many derivatives: a never-ending interaction of melatonin with reactive oxygen and nitrogen species? J Pineal Res 42:28–42

    Article  PubMed  CAS  Google Scholar 

  86. Thody AJ, Ridley K, Carter RJ et al (1984) Alpha-MSH and coat color changes in the mouse. Peptides 5:1031–1036

    Article  PubMed  CAS  Google Scholar 

  87. Tobin DJ, Kauser S (2005) Hair melanocytes as neuro-endocrine sensors–pigments for our imagination. Mol Cell Endocrinol 243:1–11

    Article  PubMed  CAS  Google Scholar 

  88. Tobin DJ, Slominski A, Botchkarev V, Paus R (1999) The fate of hair follicle melanocytes during the hair growth cycle. J Investig Dermatol Symp Proc 4:323–332

    Article  PubMed  CAS  Google Scholar 

  89. Webster JR, Barrell GK (1985) Advancement of reproductive activity, seasonal reduction in prolactin secretion and seasonal pelage changes in pubertal red deer hinds (Cervus elaphus) subjected to artificially shortened daily photoperiod or daily melatonin treatments. J Reprod Fertil 73:255–260

    PubMed  CAS  Article  Google Scholar 

  90. Welch RAS, Gurnsey MP, Betteridge K, Mitchell RJ (1990) Goat fibre response to melatonin given in spring in two consecutive years. Proc N Z Soc Anim Prod 50:335–338

    Google Scholar 

  91. Winczyk K, Pawlikowski M, Lawnicka H et al (2002) Effects of melatonin and melatonin receptors ligand N-[(4-methoxy-1H-indol-2-yl)methyl] propanamide on murine Colon 38 cancer growth in vitro and in vivo. Neuro Endocrinol Lett 23:50–54

    PubMed  CAS  Google Scholar 

  92. Kema IP, de Vries EG, Muskiet FA (2000) Clinical chemistry of serotonin and metabolites. J Chromatogr B Biomed Sci Appl 747:33–48

    Article  PubMed  CAS  Google Scholar 

  93. Diaz SF, Torres SM, Nogueira SA et al (2006) The impact of body site, topical melatonin and brushing on hair regrowth after clipping normal Siberian Husky dogs. Vet Dermatol 17:45–50

    Article  PubMed  Google Scholar 

Download references

Danksagung

Der Autor bedankt sich bei folgenden Institutionen für die Unterstützung bei der Durchführung der originären Forschungsprojekte, deren Ergebnisse auszugsweise in dem vorliegenden Übersichtsartikel Einzug gefunden haben: Deutsche Akademie der Naturforscher Leopoldina (Nationale Akademie der Wissenschaften seit 14.07.2008), Halle, und Bundesministerium für Bildung und Forschung (BMBF) BMBF-LPD 9901/8-113 sowie University of Tennessee Cancer Center Pilot Grant, University of Tennessee, Memphis, USA.

Interessenkonflikt

Der korrespondierende Autor weist auf folgende Beziehungen hin: Die klinische Pilotstudie wurde durch ASAT Applied Science and Technology, Zug, Switzerland, finanziell unterstützt. Der Autor ist für folgende Firmen als wissenschaftlicher Berater zum Thema Melatonin und Haarwachstum auf Honorarbasis tätig: ASATONA GmbH, Zug Schweiz; Hans Karrer GmbH, Augsburg.

Author information

Affiliations

Authors

Corresponding author

Correspondence to T.W. Fischer.

Rights and permissions

Reprints and Permissions

About this article

Cite this article

Fischer, T. Einfluss von Melatonin auf die Physiologie des Haares. Hautarzt 60, 962–972 (2009). https://doi.org/10.1007/s00105-009-1817-y

Download citation

  • Published:

  • Issue Date:

  • DOI: https://doi.org/10.1007/s00105-009-1817-y

Schlüsselwörter

  • Melatonin
  • Haarfollikel
  • Antioxidans
  • Rezeptoren
  • Pigmentierung

Keywords

  • Melatonin
  • Hair follicle
  • Antioxidant
  • Receptors
  • Pigmentation