Skip to main content

In-vitro-Effekte von Anästhetika auf die Blut-Hirn-Schranke

In vitro effects of anaesthetic agents on the blood-brain barrier

Zusammenfassung

Hintergrund

Die Blut-Hirn-Schranke (BHS) bildet eine Schranke zwischen dem Blutkreislauf und dem Gehirn und reguliert die Passage vieler Moleküle. Pathologische Bedingungen, wie Ischämie, führen zu einem Zusammenbruch der BHS. „Vascular endothelial growth factor“ (VEGF) wurde als das Protein identifiziert, dass sowohl in vivo als auch in vitro die Hypoxie-induzierte Hyperpermeabilität der BHS induziert. Zur Eliminierung von Faktoren, die in vivo die Permeabilität der BHS beeinflussen, wurde ein In-vitro-Modell der BHS verwendet, um die Wirkung intravenöser und volatiler Anästhetika auf die Permeabilität und VEGF-Expression unter normoxischen und hypoxischen Bedingungen zu untersuchen.

Methoden

Das In-vitro-Modell der BHS bestand aus primären Kulturen mikrovaskulärer Schweinegehirnendothelzellen (BMEC). Die Permeabilität wurde über die parazelluläre Passage von [3H]Inulin durch den BMEC-Monolayer und die Expression des VEGF mit Northern-blot-Analysen bestimmt.

Ergebnisse

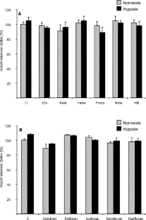
Alle verwendeten intravenösen und volatilen Anästhetika (Etomidat, Ketamin, Fentanyl, Propofol, Midazolam, Natrium-γ-Hydroxybuttersäure sowie Halothan, Enfluran, Isofluran, Sevofluran, Desfluran) veränderten die Permeabilität der In-vitro-BHS und die VEGF-Expression nicht. Hypoxie (2 Vol.-%) steigerte die Permeabilität und die VEGF-Expression deutlich; dies wurde in Gegenwart der Anästhetika nicht verändert.

Schlussfolgerung

Die In-vitro-BHS stellt ein geeignetes Modell dar, um direkte Wirkungen von Anästhetika auf Eigenschaften der BHS, unabhängig von hämodynamischen Parametern, zu untersuchen.

Abstract

Background

The blood-brain barrier (BBB) forms a selective barrier between blood and brain and regulates the passage of most molecules. Pathological conditions such as ischemia lead to breakdown of the BBB. Vascular endothelial growth factor (VEGF) has been shown to be responsible for hypoxia-induced hyperpermeability of the BBB in vivo as well as in vitro. To eliminate factors which alter the permeability of the BBB in vivo, an in vitro model was used to test the effects of intravenous and volatile anesthetics on the permeability and on VEGF expression during normoxia and hypoxia.

Methods

The in vitro model of the BBB consisted of primary cultures of porcine brain microvascular endothelial cells (BMEC). The permeability was measured by the paracellular passage of [3H]inulin across the BMEC monolayer and the expression of VEGF was determined by northern blot analysis.

Results

All intravenous and volatile anesthetics tested (etomidate, ketamine, fentanyl, propofol, midazolam, sodium-γ-hydroxybutyrate as well as halothane, enflurane, isoflurane, sevoflurane, desflurane) did not alter the permeability of the BBB or the expression of VEGF in vitro. Hypoxia (2 vol%) increased the permeability and the VEGF expression significantly which was not altered in the presence of the anesthetics.

Conclusion

The in vitro model represents a suitable model of the BBB to investigate direct effects of anesthetics on functions of the BBB independent of hemodynamic factors.

This is a preview of subscription content, access via your institution.

Abb. 1
Abb. 2
Abb. 3
Abb. 4
Abb. 5

Literatur

  1. Audus KL, Borchardt RT (1986) Characterization of an in vitro blood-brain barrier model system for studying drug transport and metabolism. Pharmacol Res 3:81–87

    Article  CAS  Google Scholar 

  2. Brightman MW, Tao-Cheng JH (1993) Tight junctions of brain endothelium and epithelium. In: Pardridge WM (eds)The blood-brain barrier. Raven, New York, pp 107–125

  3. Bruce JN, Criscuolo GR, Merrill MJ et al. (1987) Vascular permeability induced by protein product of malignant brain tumors: inhibition by dexamethasone. J Neurosurg 67:880–884

    CAS  PubMed  Google Scholar 

  4. Cahn R, Dupont JM, Borzeix MG (1990) Effect of halothane on ischemic brain edema. Adv Neurol 52:93–96

    Google Scholar 

  5. Chi OZ, Anwar M, Sinha AK et al. (1992) Effects of isoflurane on transport across the blood-brain barrier. Anesthesiology 76:426–431

    CAS  PubMed  Google Scholar 

  6. Chi OZ, Wei HM, Anwar M et al. (1992) Effects of fentanyl on alpha-aminoisobutyric acid transfer across the blood-brain barrier. Anesth Analg 75:31–36

    CAS  PubMed  Google Scholar 

  7. Chomczynski P, Sacchi N (1987) Single-step method of RNA isolation by acid guanidinium thiocyanate-phenol-chloroform extraction. Anal Biochem 162:156–159

    Article  CAS  PubMed  Google Scholar 

  8. Connolly DT, Heuvelman DM, Nelson R et al. (1989) Tumor vascular permeability factor stimulates endothelial cell growth and angiogenesis. J Clin Invest 84:1470–1478

    CAS  PubMed  Google Scholar 

  9. Dvorak HF, Brown LF, Detmar M et al. (1995) Vascular permeability factor/vascular endothelial growth factor, microvascular hyperpermeability, and angiogenesis. Am J Pathol 146:1029–1039

    CAS  PubMed  Google Scholar 

  10. Ferrara N, Henzel WJ (1989) Pituitary follicular cells secrete a novel heparin-binding growth factor specific for vascular endothelial cells. Biochem Biophys Res Commun 161:851–858

    CAS  PubMed  Google Scholar 

  11. Fischer S, Sharma HS, Karliczek GF et al. (1995) Expression of vascular permeability factor/vascular endothelial growth factor in pig cerebral microvascular endothelial cells and its upregulation by adenosine. Mol Brain Res 28:141–148

    Article  CAS  PubMed  Google Scholar 

  12. Fischer S, Renz D, Schaper W et al. (1995) In vitro effects of fentanyl, methohexital, and thiopental on brain endothelial permeability. Anesthesiology 82:451–458

    Article  CAS  PubMed  Google Scholar 

  13. Fischer S, Renz D, Schaper W et al. (1996) Effects of barbiturates on hypoxic cultures of brain-derived microvascular endothelial cells. Brain Res 707:47–53

    Article  CAS  PubMed  Google Scholar 

  14. Fischer S, Renz D, Schaper W et al. (1998) Barbiturates decrease the expression of vascular endothelial growth-factor in hypoxic cultures of porcine brain-derived microvascular endothelial cells. Mol Brain Res 60:89–97

    Article  CAS  PubMed  Google Scholar 

  15. Fischer S, Clauss M, Wiesnet M et al. (1999) Hypoxia induces permeability in brain microvessel endothelial cells via VEGF and NO. Am J Physiol 276:C812–820

    CAS  PubMed  Google Scholar 

  16. Fischer S, Renz D, Wiesnet M et al. (1999) Hypothermia abolishes hypoxia-induced hyperpermeability in brain microvessel endothelial cells. Mol Brain Res 74:135–144

    Article  CAS  PubMed  Google Scholar 

  17. Fischer S, Wobben M, Renz D et al. (2000) Hypoxia-induced permeability and expression of vascular endothelial growth factor in brain microvessel endothelial cells is decreased by astroglial cells. Eur J Cell Biol Suppl 50:97

    Google Scholar 

  18. Gelman S, Fowler K, Smith L (1984) Regional blood flow during isoflurane and halothane anesthesia. Anesth Analg 63:557–565

    CAS  PubMed  Google Scholar 

  19. Hatashita S, Hoff JT (1990) Brain edema and cerebrovascular permeability during cerebral ischemia in rats. Stroke 21:582–588

    CAS  PubMed  Google Scholar 

  20. Kahraman S, Demiryurek AT (1997) Propofol is a peroxynitrite scavenger. Anesth Analg 84:1127–1129

    CAS  PubMed  Google Scholar 

  21. Kuroiwa T, Cahn R, Juhler M (1985) Role of extracellular proteins in the dynamics of vasogenic brain edema. Acta Neuropathol 66:3–11

    CAS  PubMed  Google Scholar 

  22. Michenfelder JD, Theye RA (1973) Cerebral protection by thiopental during hypoxia. Anesthesiology 39:510–517

    CAS  PubMed  Google Scholar 

  23. Michenfelder JD, Milde JH, Sundt TM (1976) Cerebral protection by barbiturate anesthesia: use after middle cerebral artery occlusion in Java monkeys. Arch Neurol 33:345–350

    CAS  PubMed  Google Scholar 

  24. Milton S, Knutson V (1990) Comparison of the function of the tight junctions of endothelial cells and epithelial cells in regulating the movement of electrolytes and macromolecules across the cell monolayer. J Cell Physiol 144:498–504

    CAS  PubMed  Google Scholar 

  25. Mischek U, Meyer J, Galla H-J (1989) Characterization of γ-glutamyl transpeptidase activity of cultured endothelial cells from porcine brain capillaries. Cell Tissue Res 256:221–226

    PubMed  Google Scholar 

  26. Nemoto EM, Stezoski SW, MacMurdo D (1978) Glucose transport across the blood-brain barrier during anesthesia. Anesthesiology 76:170–176

    Google Scholar 

  27. Saija A, Princi P, Pasquale R de et al. (1989) Modifications of the permeability of the blood-brain barrier and local cerebral metabolism in pentobarbital- and ketamine-anaesthetized rats. Neuropharmacology 28:997–1002

    Article  CAS  PubMed  Google Scholar 

  28. Senger DR, Ledbetter SR, Claffey KP et al. (1996) Stimulation of endothelial cell migration by vascular permeability factor/vascular endothelial growth factor through cooperative mechanisms involving αvβ3 integrin, osteopontin, and thrombin. Am J Pathol 149:293–305

    CAS  PubMed  Google Scholar 

  29. Smith AL, Hoff JT, Nielsen SL et al. (1974) Barbiturate protection in acute cerebral ischemia. Stroke 5:1–7

    CAS  PubMed  Google Scholar 

  30. Wu HM, Huang QB, Yuan Y et al. (1996) VEGF induces NO-dependent hyperpermeability in coronary venules. Am J Physiol 40:H2735–2739

    Google Scholar 

  31. Yamada K, Bremer A, West C (1979) Effects of dexamethasone on tumor-induced brain edema and its distribution in the brain of monkeys. J Neurosurg 50:361–367

    CAS  PubMed  Google Scholar 

Download references

Interessenkonflikt:

Der korrespondierende Autor versichert, dass keine Verbindungen mit einer Firma, deren Produkt in dem Artikel genannt ist, oder einer Firma, die ein Konkurrenzprodukt vertreibt, bestehen.

Author information

Affiliations

Authors

Corresponding author

Correspondence to S. Fischer.

Rights and permissions

Reprints and Permissions

About this article

Cite this article

Fischer, S., Renz, D., Kleinstück, J. et al. In-vitro-Effekte von Anästhetika auf die Blut-Hirn-Schranke. Anaesthesist 53, 1177–1184 (2004). https://doi.org/10.1007/s00101-004-0740-y

Download citation

  • Issue Date:

  • DOI: https://doi.org/10.1007/s00101-004-0740-y

Schlüsselwörter

  • Blut-Hirn-Schranke
  • In-vitro-Modell
  • Vascular endothelial growth factor
  • Permeabilität
  • Anästhetika

Keywords

  • Blood-brain barrier
  • In vitro model
  • Vascular endothelial growth factor
  • Permeability
  • Anaesthetics