Abstract
Purpose
To establish normal values and to identify demographic determinants of quantitative biomarkers in magnetic resonance neurography (MRN).
Methods
In this study 60 healthy individuals (5 men and 5 women of every decade between 20 and 80 years) were examined according to a standardized MRN protocol at 3 T, including multiecho T2 relaxometry. Nerve cross-sectional area (CSA), transverse relaxation time (T2), and proton spin density (PSD) were assessed for the sciatic, tibial, median, ulnar, and radial nerves. Correlation with demographic variables, such as height, weight, body mass index (BMI), and age was expressed by Pearson coefficients and t‑tests were used to compare MRN biomarkers between men and women with and without normalization to body weight and BMI by linear regression.
Results
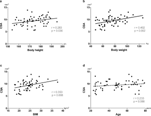
The average nerve CSA correlated moderately with height (r = 0.28, p = 0.04), weight (r = 0.40, p = 0.002), and BMI (r = 0.35, p = 0.008), but not with age (r = 0.23, p = 0.09). While T2 did not correlate with demographic parameters, PSD was strongly inversely associated with BMI (r = −0.64, p < 0.001) and weight (r = −0.557, p < 0.001). Sex-dependent differences in imaging marker values were found for CSA but became negligible after normalization to body weight.
Conclusion
Quantitative biomarkers of MRN co-vary with demographic variables. As particularly important determinants, we identified body weight for nerve CSA and BMI for PSD. The presented normal values and demographic determinants may assist investigations into the potential of MRN biomarkers in further disease-specific studies.



References
Pham M, Bäumer T, Bendszus M. Peripheral nerves and plexus: imaging by MR-neurography and high-resolution ultrasound. Curr Opin Neurol. 2014;27(4):370–9.
Bäumer P, Mautner VF, Bäumer T, Schuhmann MU, Tatagiba M, Heiland S, Kaestel T, Bendszus M, Pham M. Accumulation of non-compressive fascicular lesions underlies NF2 polyneuropathy. J Neurol. 2013;260(1):38–46.
Shibuya K, Sugiyama A, Ito S, Misawa S, Sekiguchi Y, Mitsuma S, Iwai Y, Watanabe K, Shimada H, Kawaguchi H, Suhara T, Yokota H, Matsumoto H, Kuwabara S. Reconstruction magnetic resonance neurography in chronic inflammatory demyelinating polyneuropathy. Ann Neurol. 2015;77(2):333–7.
Chhabra A, Belzberg AJ, Rosson GD, Thawait GK, Chalian M, Farahani SJ, Shores JT, Deune G, Hashemi S, Thawait SK, Subhawong TK, Carrino JA. Impact of high resolution 3 tesla MR neurography (MRN) on diagnostic thinking and therapeutic patient management. Eur Radiol. 2016;26(5):1235–44.
Kollmer J, Bendszus M, Pham M. MR Neurography: diagnostic imaging in the PNS. Clin Neuroradiol. 2015;25(Suppl 2):283–9.
Kronlage M, Pitarokoili K, Schwarz D, Godel T, Heiland S, Yoon MS, Bendszus M, Bäumer P. Diffusion tensor imaging in chronic inflammatory demyelinating polyneuropathy: diagnostic accuracy and correlation with electrophysiology. Invest Radiol. 2017 Jun 1. [Epub ahead of print]
Hobson-Webb LD, Padua L. Ultrasound of focal neuropathies. J Clin Neurophysiol. 2016;33(2):94–102.
Pham M, Oikonomou D, Hornung B, Weiler M, Heiland S, Bäumer P, Kollmer J, Nawroth PP, Bendszus M. Magnetic resonance neurography detects diabetic neuropathy early and with proximal predominance. Ann Neurol. 2015;78(6):939–48.
Bäumer P, Pham M, Ruetters M, Heiland S, Heckel A, Radbruch A, Bendszus M, Weiler M. Peripheral neuropathy: detection with diffusion-tensor imaging. Radiology. 2014;273(1):185–93.
Kollmer J, Hund E, Hornung B, Hegenbart U, Schönland SO, Kimmich C, Kristen AV, Purrucker J, Röcken C, Heiland S, Bendszus M, Pham M. In vivo detection of nerve injury in familial amyloid polyneuropathy by magnetic resonance neurography. Brain. 2015;138(Pt 3):549–62.
MacKay A, Whittall K, Adler J, Li D, Paty D, Graeb D. In vivo visualization of myelin water in brain by magnetic resonance. Magn Reson Med. 1994;31(6):673–7.
Tofts P. Proton density of tissue water. In: Tofts P, editor. Quantitative MRI of the brain: measuring changes caused by disease. Hoboken: John Wiley & Sons; 2003. pp. 83–108.
Tofts PS, du Boulay EP. Towards quantitative measurements of relaxation times and other parameters in the brain. Neuroradiology. 1990;32(5):407–15.
Cheng HL, Stikov N, Ghugre NR, Wright GA. Practical medical applications of quantitative MR relaxometry. J Magn Reson Imaging. 2012;36(4):805–24.
Deoni SC. Quantitative relaxometry of the brain. Top Magn Reson Imaging. 2010;21(2):101–13.
Vaeggemose M, Pham M, Ringgaard S, Tankisi H, Ejskjaer N, Heiland S, Poulsen PL, Andersen H. Diffusion tensor imaging MR neurography for the detection of polyneuropathy in type 1 diabetes. J Magn Reson Imaging. 2017;45(4):1125–34.
Vaeggemose M, Vaeth S, Pham M, Ringgaard S, Jensen UB, Tankisi H, Ejskjaer N, Heiland S, Andersen H. Magnetic resonance neurography and diffusion tensor imaging of the peripheral nerves in patients with Charcot-Marie-Tooth Type 1A. Muscle Nerve. 2017 May 13. [Epub ahead of print]
Kronlage M, Bäumer P, Pitarokoili K, Schwarz D, Schwehr V, Godel T, Heiland S, Gold R, Bendszus M, Yoon MS. Large coverage MR neurography in CIDP: diagnostic accuracy and electrophysiological correlation. J Neurol. 2017;264(7):1434-43.
Breitenseher JB, Kranz G, Hold A, Berzaczy D, Nemec SF, Sycha T, Weber M, Prayer D, Kasprian G. MR neurography of ulnar nerve entrapment at the cubital tunnel: a diffusion tensor imaging study. Eur Radiol. 2015;25(7):1911–8.
Milford D, Rosbach N, Bendszus M, Heiland S. Mono-exponential fitting in T2-Relaxometry: relevance of offset and first echo. PLoS One. 2015;10(12):e0145255.
Cartwright MS, Passmore LV, Yoon JS, Brown ME, Caress JB, Walker FO. Cross-sectional area reference values for nerve ultrasonography. Muscle Nerve. 2008;37(5):566–71.
Cartwright MS, Shin HW, Passmore LV, Walker FO. Ultrasonographic findings of the normal ulnar nerve in adults. Arch Phys Med Rehabil. 2007;88(3):394–6.
Cartwright MS, Shin HW, Passmore LV, Walker FO. Ultrasonographic reference values for assessing the normal median nerve in adults. J Neuroimaging. 2009;19(1):47–51.
Kerasnoudis A, Pitarokoili K, Behrendt V, Gold R, Yoon MS. Cross sectional area reference values for sonography of peripheral nerves and brachial plexus. Clin Neurophysiol. 2013;124(9):1881–8.
Seok HY, Jang JH, Won SJ, Yoon JS, Park KS, Kim BJ. Cross-sectional area reference values of nerves in the lower extremities using ultrasonography. Muscle Nerve. 2014;50(4):564–70.
Won SJ, Kim BJ, Park KS, Yoon JS, Choi H. Reference values for nerve ultrasonography in the upper extremity. Muscle Nerve. 2013;47(6):864–71.
Saleh HA, El-fark MM, Abdel-Hamid GA. Anatomical variation of sciatic nerve division in the popliteal fossa and its implication in popliteal nerve blockade. Folia Morphol (Warsz). 2009;68(4):256–9.
Franco CD. Connective tissues associated with peripheral nerves. Reg Anesth Pain Med. 2012;37(4):363–5.
Fernández R, Carriel V, Lage S, Garate J, Díez-García J, Ochoa B, Castro B, Alaminos M, Fernández JA. Deciphering the lipid architecture of the rat sciatic nerve using imaging mass spectrometry. ACS Chem Neurosci. 2016;7(5):624–32.
Schmitt S, Castelvetri LC, Simons M. Metabolism and functions of lipids in myelin. Biochim Biophys Acta. 2015;1851(8):999–1005.
Qrimli M, Ebadi H, Breiner A, Siddiqui H, Alabdali M, Abraham A, Lovblom LE, Perkins BA, Bril V. Reference values for ultrasonograpy of peripheral nerves. Muscle Nerve. 2016;53(4):538–44.
Acknowledgements
M.B. and S.H. were supported by the German Research Council (DFG, SFB 1118).
Author information
Authors and Affiliations
Corresponding author
Ethics declarations
Conflict of interests
M. Kronlage, V. Schwehr, D. Schwarz, T. Godel, S. Heiland, M. Bendszus and P. Bäumer declare that they have no competing interests.
Ethical standards
All procedures performed in studies involving human participants were in accordance with the ethical standards of the institutional and/or national research committee and with the 1964 Helsinki declaration and its later amendments or comparable ethical standards. Informed consent was obtained from all individual participants included in the study.
Caption Electronic Supplementary Material
Rights and permissions
About this article
Cite this article
Kronlage, M., Schwehr, V., Schwarz, D. et al. Magnetic Resonance Neurography. Clin Neuroradiol 29, 19–26 (2019). https://doi.org/10.1007/s00062-017-0633-5
Received:
Accepted:
Published:
Issue Date:
DOI: https://doi.org/10.1007/s00062-017-0633-5