Skip to main content

Evaluation of dietary pattern stability and physical activity in three consecutive generations of women

Abstract

Objectives

This study aimed to characterize major dietary patterns (DPs) in three consecutive generations and to delineate DP changes.

Methods

Usual dietary intakes of 547 women from three generations were assessed using a validated dish-based Food Frequency Questionnaire. Factor analysis was performed to identify DPs, participants’ scores for each DP were calculated and changes in DP scores and mean consumption of food groups were evaluated. Using Latent Class Analysis (LCA), participants were ranked according to their scores receiving for each DP.

Results

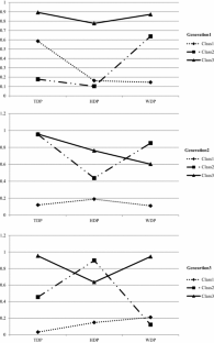
Three major DPs, defined as Traditional (TDP), Healthy (HDP), and Western (WDP) and the comparison of DP adherence between generations showed that TDP remained stable over time. WDP and HDP scores increased from Generation1 to the recent. Based on LCA, the “multifarious class” was similar in three generations. The “traditional class”, “transitional class”, and “health conscious class” were defined within the oldest, middle-aged, and younger generation, respectively.

Conclusions

The younger women tended to have higher score for both WDP and HDP. This paradox may be as a result of health conscious behaviors parallel the unfavorable inevitable lifestyle changes.

This is a preview of subscription content, access via your institution.

Fig. 1

References

  • Amini M, Esmaillzadeh A, Shafaeizadeh S et al (2010) Relationship between major dietary patterns and metabolic syndrome among individuals with impaired glucose tolerance. Nutrition 26(10):986–992

    PubMed  CAS  Article  Google Scholar 

  • Atinmo T, Mirmiran P, Oyewole OE et al (2009) Breaking the poverty/malnutrition cycle in Africa and the Middle East. Nutr Rev 67(s1):S40–S46

    PubMed  Article  Google Scholar 

  • Barak F, Falahi E, Keshteli AH et al (2015) Adherence to the dietary approaches to stop hypertension (DASH) diet in relation to obesity among Iranian female nurses. Public Health Nutr 18:705–712

  • Bermudez OI, Tucker KL (2003) Trends in dietary patterns of Latin American populations. Cad Saúd Pública 19:S87–S99

    Article  Google Scholar 

  • Byers T, Marshall J, Anthony E, Fiedler R, Zielezny M (1987) The reliability of dietary history from the distant past. Am J Epidemiol 125(6):999–1011

    PubMed  CAS  Google Scholar 

  • Cattell RB (1966) The scree test for the number of factors. Multivar Behav Res 1(2):245–276

    Article  Google Scholar 

  • Committee IR (2005) Guidelines for data processing and analysis of the international physical activity questionnaire (28)—short and long forms. Retrieved September 17 2008

  • Cutler GJ, Flood A, Hannan P et al (2009) Major patterns of dietary intake in adolescents and their stability over time. J Nutr 139(2):323–328

    PubMed  CAS  Article  Google Scholar 

  • Elstgeest LE, Mishra GD, Dobson AJ (2012) Transitions in living arrangements are associated with changes in dietary patterns in young women. J Nutr 142(8):1561–1567

    PubMed  CAS  Article  Google Scholar 

  • Esmaillzadeh A, Kimiagar M, Mehrabi Y et al (2007) Dietary patterns, insulin resistance, and prevalence of the metabolic syndrome in women. Am J Clin Nutr 85(3):910–918

    PubMed  CAS  Google Scholar 

  • Evans WJ, Cyr-Campbell D (1997) Nutrition, exercise, and healthy aging. J Am Diet Assoc 97(6):632–638

    PubMed  CAS  Article  Google Scholar 

  • Falkner KL, McCann SE, Trevisan M (2001) Participant characteristics and quality of recall of physical activity in the distant past. Am J Epidemiol 154(9):865–872

    PubMed  CAS  Article  Google Scholar 

  • Fraser GE, Lindsted KD, Knutsen SF et al (1998) Validity of dietary recall over 20 years among California Seventh-day Adventists. Am J Epidemiol 148(8):810–818

    PubMed  CAS  Article  Google Scholar 

  • Ghassemi H, Harrison G, Mohammad K (2002) An accelerated nutrition transition in Iran. Public Health Nutr 5(1a):149–155

    PubMed  Article  Google Scholar 

  • Golzarand M, Mirmiran P, Jessri M et al (2012) Dietary trends in the Middle East and North Africa: an ecological study (1961 to 2007). Public Health Nutr 15(10):1835–1844

    PubMed  Article  Google Scholar 

  • Hannon PA, Bowen DJ, Moinpour CM et al (2003) Correlations in perceived food use between the family food preparer and their spouses and children. Appetite 40(1):77–83

    PubMed  Article  Google Scholar 

  • Hawkes C (2006) Uneven dietary development: linking the policies and processes of globalization with the nutrition transition, obesity and diet-related chronic diseases. Global Health 2(1):4

    PubMed  PubMed Central  Article  Google Scholar 

  • Hu FB (2002) Dietary pattern analysis: a new direction in nutritional epidemiology. Curr Opin Lipidol 13(1):3–9

    PubMed  CAS  Article  Google Scholar 

  • Kant AK (2004) Dietary patterns and health outcomes. J Am Diet Assoc 104(4):615–635

    PubMed  Article  Google Scholar 

  • Keshteli AH, Esmaillzadeh A, Rajaie S et al (2014) A dish-based semi-quantitative food frequency questionnaire for assessment of dietary intakes in epidemiologic studies in Iran: design and development. Int J Prev Med 5(1):29

    PubMed  PubMed Central  Google Scholar 

  • Kim JO, Mueller CW (1978) Factor analysis: statistical methods and practical issues, vol 14. Sage

  • Kline P (2014) An easy guide to factor analysis. Routledge, London

  • Lee PH et al (2011) Validity of the international physical activity questionnaire short form (IPAQ-SF): a systematic. Int J Behav Nutr Phys Act 8:115

    PubMed  PubMed Central  Article  Google Scholar 

  • Mazzocchi M, Brasili C, Sandri E (2008) Trends in dietary patterns and compliance with World Health Organization recommendations: a cross-country analysis. Public Health Nutr 11(05):535–540

    PubMed  Article  Google Scholar 

  • Mehio Sibai A, Nasreddine L, Mokdad AH et al (2010) Nutrition transition and cardiovascular disease risk factors in Middle East and North Africa countries: reviewing the evidence. Ann Nutr Metab 57(3–4):193–203

    PubMed  CAS  Article  Google Scholar 

  • Newby P, Weismayer C, Åkesson A et al (2006) Longitudinal changes in food patterns predict changes in weight and body mass index and the effects are greatest in obese women. J Nutr 136(10):2580–2587

    PubMed  CAS  Google Scholar 

  • Northstone K, Emmett PM (2008) A comparison of methods to assess changes in dietary patterns from pregnancy to 4 years post-partum obtained using principal components analysis. Br J Nutr 99(05):1099–1106

    PubMed  CAS  PubMed Central  Article  Google Scholar 

  • Popkin BM (1998) The nutrition transition and its health implications in lower-income countries. Public Health Nutr 1(01):5–21

    PubMed  CAS  Article  Google Scholar 

  • Popkin BM (2001) The nutrition transition and obesity in the developing world. J Nutr 131(3):871S–873S

    PubMed  CAS  Google Scholar 

  • Popkin BM (2002) The shift in stages of the nutrition transition in the developing world differs from past experiences! Public Health Nutr 5(1A):205–214

    PubMed  Article  Google Scholar 

  • Popkin BM, Duffey K, Gordon-Larsen P (2005) Environmental influences on food choice, physical activity and energy balance. Physiol Behav 86(5):603–613

    PubMed  CAS  Article  Google Scholar 

  • Reddy KS (2002) Cardiovascular diseases in the developing countries: dimensions, determinants, dynamics and directions for public health action. Public Health Nutr 5(1a):231–237

    PubMed  Article  Google Scholar 

  • Scaglioni S, Salvioni M, Galimberti C (2008) Influence of parental attitudes in the development of children eating behaviour. Br J Nutr 99(S1):S22–S25

    PubMed  CAS  Article  Google Scholar 

  • Schmidhuber J, Traill WB (2006) The changing structure of diets in the European Union in relation to healthy eating guidelines. Public Health Nutr 9(05):584–595

    PubMed  Article  Google Scholar 

  • Tessier S, Gerber M (2005) Factors determining the nutrition transition in two Mediterranean islands: Sardinia and Malta. Public Health Nutr 8(08):1286–1292

    PubMed  Article  Google Scholar 

  • Tsakiraki M, Grammatikopoulou MG, Stylianou C et al (2011) Nutrition transition and health status of Cretan women: evidence from two generations. Public Health Nutr 14(05):793–800

    PubMed  Article  Google Scholar 

  • Unit HN (2003) Commodities consumed in Italy, Greece and other Mediterranean countries compared with Australia in 1960s and 1990s. Asia Pac J Clin Nutr 12(1):23–29

    Google Scholar 

  • Weismayer C, Anderson JG, Wolk A (2006) Changes in the stability of dietary patterns in a study of middle-aged Swedish women. J Nutr 136(6):1582–1587

    PubMed  CAS  Google Scholar 

  • Willett W (2013) Nutritional epidemiology. Oxford University Press, Oxford

    Google Scholar 

Download references

Acknowledgments

Our grateful thanks go to all of the participants; Ranginkamane Sepid Institute for their kind assistance; and the State Welfare Organization for their cooperation.

Author information

Affiliations

Authors

Corresponding author

Correspondence to Reza Ghiasvand.

Ethics declarations

Conflict of interest

The authors declare no conflict of interest.

Electronic supplementary material

Below is the link to the electronic supplementary material.

Supplementary material 1 (DOCX 16 kb)

Supplementary material 2 (DOCX 20 kb)

Rights and permissions

Reprints and Permissions

About this article

Verify currency and authenticity via CrossMark

Cite this article

Noori, M.A., Ghiasvand, R., Maghsoudi, Z. et al. Evaluation of dietary pattern stability and physical activity in three consecutive generations of women. Int J Public Health 61, 29–38 (2016). https://doi.org/10.1007/s00038-015-0746-z

Download citation

  • Received:

  • Revised:

  • Accepted:

  • Published:

  • Issue Date:

  • DOI: https://doi.org/10.1007/s00038-015-0746-z

Keywords

  • Dietary patterns
  • Stability
  • Nutrition transition
  • Generation