Skip to main content

Nesfatin-1 as a novel cardiac peptide: identification, functional characterization, and protection against ischemia/reperfusion injury

Abstract

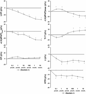
Nesfatin-1 is an anorexic nucleobindin-2 (NUCB2)-derived hypothalamic peptide. It controls feeding behavior, water intake, and glucose homeostasis. If intracerebrally administered, it induces hypertension, thus suggesting a role in central cardiovascular control. However, it is not known whether it is able to directly control heart performance. We aimed to verify the hypothesis that, as in the case of other hypothalamic satiety peptides, Nesfatin-1 acts as a peripheral cardiac modulator. By western blotting and QT-PCR, we identified the presence of both Nesfatin-1 protein and NUCB2 mRNA in rat cardiac extracts. On isolated and Langendorff-perfused rat heart preparations, we found that exogenous Nesfatin-1 depresses contractility and relaxation without affecting coronary motility. These effects did not involve Nitric oxide, but recruited the particulate guanylate cyclase (pGC) known as natriuretic peptide receptor A (NPR-A), protein kinase G (PKG) and extracellular signal-regulated kinases1/2 (ERK1/2). Co-immunoprecipitation and bioinformatic analyses supported an interaction between Nesfatin-1 and NPR-A. Lastly, we preliminarily observed, through post-conditioning experiments, that Nesfatin-1 protects against ischemia/reperfusion (I/R) injury by reducing infarct size, lactate dehydrogenase release, and postischemic contracture. This protection involves multiple prosurvival kinases such as PKCε, ERK1/2, signal transducer and activator of transcription 3, and mitochondrial KATP channels. It also ameliorates contractility recovery. Our data indicate that: (1) the heart expresses Nesfatin-1, (2) Nesfatin-1 directly affects myocardial performance, possibly involving pGC-linked NPR-A, the pGC/PKG pathway, and ERK1/2, (3) the peptide protects the heart against I/R injury. Results pave the way to include Nesfatin-1 in the neuroendocrine modulators of the cardiac function, also encouraging the clarification of its clinical potential in the presence of nutrition-dependent physio-pathologic cardiovascular diseases.

This is a preview of subscription content, access via your institution.

Fig. 1
Fig. 2
Fig. 3
Fig. 4
Fig. 5
Fig. 6
Fig. 7
Fig. 8

Abbreviations

5-HD:

5-Hydroxydecanoate

ARC:

Arcuate nuclei

CP:

Coronary pressure

eNOS:

Endothelial nitric oxide synthase

ERK1/2:

Extracellular signal-regulated kinases1/2

I/R:

Ischemia/reperfusion injury

−(LVdP/dt)max :

Maximal rate of left ventricular pressure decline of LVP

+(LVdP/dt)max :

Maximal values of the first derivative of LVP

LVP:

Left ventricular pressure

NO:

Nitric oxide

NPR-A:

Natriuretic peptide receptor A

NPY/AgRP:

Neuropeptide Y/agouti-related peptide

NUCB2:

Nucleobindin-2

pGC:

Particulate guanylate cyclase

POMC/CART:

Pro-opiomelanocortin/cocaine and amphetamine responsive transcript

PostC:

Post-conditioning protocol

PVN:

Paraventricular nuclei

SNO:

S-nitrosylation

SON:

Supraoptic nuclei

STAT3:

Signal transducer and activator of transcription 3

References

  1. Angelone T, Quintieri AM, Amodio N, Cerra MC (2011) Endocrine orchestration of cardiovascular, gastrointestinal and hypothalamic control. Curr Med Chem 18(32):4976–4986

    PubMed  Article  CAS  Google Scholar 

  2. Vona-Davis LC, McFadden DW (2007) NPY family of hormones: clinical relevance and potential use in gastrointestinal disease. Curr Top Med Chem 7(17):1710–1720

    PubMed  Article  CAS  Google Scholar 

  3. Pedrazzini T, Seydoux J, Künstner P, Aubert JF, Grouzmann E, Beermann F, Brunner HR (1998) Cardiovascular response, feeding behavior and locomotor activity in mice lacking the NPY Y1 receptor. Nat Med 4(6):722–726

    PubMed  Article  CAS  Google Scholar 

  4. Oh-I S, Shimizu H, Satoh T, Okada S, Adachi S, Inoue K, Eguchi H, Yamamoto M, Imaki T, Hashimoto K, Tsuchiya T, Monden T, Horiguchi K, Yamada M, Mori M (2006) Identification of nesfatin-1 as a satiety molecule in the hypothalamus. Nature 443(7112):709–712

    PubMed  Article  CAS  Google Scholar 

  5. Elmquist JK, Coppari R, Balthasar N, Ichinose M, Lowell BB (2005) Identifying hypothalamic pathways controlling food intake, body weight, and glucose homeostasis. J Comp Neurol 493(1):63–71

    PubMed  Article  CAS  Google Scholar 

  6. Stengel A, Goebel M, Yakubov I, Wang L, Witcher D, Coskun T, Taché Y, Sachs G, Lambrecht NW (2009) Identification and characterization of nesfatin-1 immunoreactivity in endocrine cell types of the rat gastric oxyntic mucosa. Endocrinology 150(1):232–238

    PubMed  Article  CAS  Google Scholar 

  7. Su Y, Zhang J, Tang Y, Bi F, Liu JN (2010) The novel function of nesfatin-1: anti-hyperglycemia. Biochem Biophys Res Commun 391(1):1039–1042

    PubMed  Article  CAS  Google Scholar 

  8. Price TO, Samson WK, Niehoff ML, Banks WA (2007) Permeability of the blood-brain barrier to a novel satiety molecule nesfatin-1. Peptides 28(12):2372–2381

    PubMed  Article  CAS  Google Scholar 

  9. Brailoiu GC, Dun SL, Brailoiu E, Inan S, Yang J, Chang JK, Dun NJ (2007) Nesfatin-1: distribution and interaction with a G protein-coupled receptor in the rat brain. Endocrinology 148(10):5088–5094

    PubMed  Article  CAS  Google Scholar 

  10. Pałasz A, Krzystanek M, Worthington J, Czajkowska B, Kostro K, Wiaderkiewicz R, Bajor G (2012) Nesfatin-1, a unique regulatory neuropeptide of the brain. Neuropeptides http://dx.doi.org/10.1016/j.npep.2011.12.002

  11. Maejima Y, Sedbazar U, Suyama S, Kohno D, Onaka T, Takano E, Yoshida N, Koike M, Uchiyama Y, Fujiwara K, Yashiro T, Horvath TL, Dietrich MO, Tanaka S, Dezaki K, Oh-I S, Hashimoto K, Shimizu H, Nakata M, Mori M, Yada T (2009) Nesfatin-1-regulated oxytocinergic signaling in the paraventricular nucleus causes anorexia through a leptin-independent melanocortin pathway. Cell Metab 10(5):355–365

    PubMed  Article  CAS  Google Scholar 

  12. Mimee A, Smith PM, Ferguson AV (2012) Nesfatin-1 influences the excitability of neurons in the nucleus of the solitary tract and regulates cardiovascular function. Am J Physiol Regul Integr Comp Physiol. doi:10.1152/ajpregu.00266.2011

    PubMed  Google Scholar 

  13. Yosten GL, Samson WK (2009) Nesfatin-1 exerts cardiovascular actions in brain: possible interaction with the central melanocortin system. Am J Physiol Regul Integr Comp Physiol 297(2):R330–R336

    PubMed  Article  CAS  Google Scholar 

  14. Cerra MC, De Iuri L, Angelone T, Corti A, Tota B (2006) Recombinant N-terminal fragments of chromogranin-A modulate cardiac function of the Langendorff-perfused rat heart. Basic Res Cardiol 101(1):43–52

    PubMed  Article  CAS  Google Scholar 

  15. Shimizu H, Oh-I S, Hashimoto K, Nakata M, Yamamoto S, Yoshida N, Eguchi H, Kato I, Inoue K, Satoh T, Okada S, Yamada M, Yada T, Mori M (2009) Peripheral administration of nesfatin-1 reduces food intake in mice: the leptin-independent mechanism. Endocrinology 150(2):662–671

    PubMed  Article  CAS  Google Scholar 

  16. Livak KJ, Schmittgen TD (2001) Analysis of relative gene expression data using real-time quantitative PCR and the 2(–C(T)) method. Methods 25:402–408

    PubMed  Article  CAS  Google Scholar 

  17. Cerra MC, Angelone T, Parisella ML, Pellegrino D, Tota B (2009) Nitrite modulates contractility of teleost (Anguilla anguilla and Chionodraco hamatus, i.e. the Antarctic hemoglobinless icefish) and frog (Rana esculenta) hearts. Biochim Biophys Acta 1787(7):849–855

    PubMed  Article  CAS  Google Scholar 

  18. Angelone T, Goumon Y, Cerra MC, Metz-Boutigue MH, Aunis D, Tota B (2006) The emerging cardioinhibitory role of the hippocampal cholinergic neurostimulating peptide. J Pharmacol Exp Ther 318(1):336–344

    PubMed  Article  CAS  Google Scholar 

  19. Pagliaro P, Mancardi D, Rastaldo R, Penna C, Gattullo D, Miranda KM, Feelisch M, Wink DA, Kass DA, Paolocci N (2003) Nitroxyl affords thiol-sensitive myocardial protective effects akin to early preconditioning. Free Radic Biol Med 34(1):33–43

    PubMed  Article  CAS  Google Scholar 

  20. Penna C, Mancardi D, Rastaldo R, Losano G, Pagliaro P (2007) Intermittent activation of bradykinin B2 receptors and mitochondrial KATP channels trigger cardiac postconditioning through redox signaling. Cardiovasc Res 75(1):168–177

    PubMed  Article  CAS  Google Scholar 

  21. Penna C, Rastaldo R, Mancardi D, Raimondo S, Cappello S, Gattullo D, Losano G, Pagliaro P (2006) Post-conditioning induced cardioprotection requires signaling through a redox-sensitive mechanism, mitochondrial ATP-sensitive K+ channel and protein kinase C activation. Basic Res Cardiol 101(2):180–189

    PubMed  Article  CAS  Google Scholar 

  22. Parat M, McNicoll N, Wilkes B, Fournier A, De Léan A (2008) Role of extracellular domain dimerization in agonist-induced activation of natriuretic peptide receptor A. Mol Pharmacol 73(2):431–440

    PubMed  Article  CAS  Google Scholar 

  23. Springer J, Azer J, Hua R, Robbins C, Adamczyk A, McBoyle S, Bissell MB, Rose RA (2012) The natriuretic peptides BNP and CNP increase heart rate and electrical conduction by stimulating ionic currents in the sinoatrial node and atrial myocardium following activation of guanylyl cyclase-linked natriuretic peptide receptors. J Mol Cell Cardiol http://dx.doi.org/10.1016/j.yjmcc.2012.01.018

  24. Yamawaki H, Takahashi M, Mukohda M, Morita T, Okada M, Hara Y (2012) A novel adipocytokine, nesfatin-1 modulates peripheral arterial contractility and blood pressure in rats. Biochem Biophys Res Commun 418(4):676–681

    PubMed  Article  CAS  Google Scholar 

  25. Angelone T, Filice E, Quintieri AM, Imbrogno S, Amodio N, Pasqua T, Pellegrino D, Mulè F, Cerra MC (2010) Receptor identification and physiological characterisation of glucagon-like peptide-2 in the rat heart. Nutr Metab Cardiovasc Dis http://dx.doi.org/10.1016/j.numecd.2010.07.014

  26. Yosten GL, Redlinger L, Samson WK (2012) Evidence for a role of endogenous nesfatin-1 in the control of water drinking. J Neuroendocrinol. doi:10.1111/j.1365-2826.2012.02304.x

    Google Scholar 

  27. Mohan H, Unniappan S (2012) Ontogenic pattern of nucleobindin-2/nesfatin-1 expression in the gastroenteropancreatic tissues and serum of Sprague Dawley rats. Regul Pept 175(1–3):61–69

    PubMed  Article  CAS  Google Scholar 

  28. Opie LH (2004) Heart physiology. From cell to circulation. 4th edn. Lippincott, Philadelphia

  29. Sperelakis N, Kurachi Y, Terzic A, Cohen MV (2001) Heart physiology and pathophysiology, 4th edn. Academic, San Diego

    Google Scholar 

  30. Piascik MT, Perez DM (2001) Alpha1-adrenergic receptors: new insights and directions. J Pharmacol Exp Ther 298(2):403–410

    PubMed  CAS  Google Scholar 

  31. Abi-Gerges N, Fischmeister R, Méry PF (2001) G protein-mediated inhibitory effect of a nitric oxide donor on the L-type Ca2+ current in rat ventricular myocytes. J Physiol 531(Pt 1):117–130

    PubMed  Article  CAS  Google Scholar 

  32. Lin X, Hänze J, Heese F, Sodmann R, Rudolf E (1995) Lang gene expression of natriuretic peptide receptors in myocardial cells. Circ Res 77:750–758

    PubMed  Article  CAS  Google Scholar 

  33. Potter LR, Abbey-Hosch S, Dickey DM (2006) Natriuretic peptides, their receptors, and cyclic guanosine monophosphate-dependent signaling functions. Endocr Rev 27(1):47–72

    PubMed  Article  CAS  Google Scholar 

  34. Dube′ PE, Forse CL, Bahrami J, Brubaker PL (2006) The essential role of insulin-like growth factor-1 in the intestinal tropic effects of glucagon-like peptide-2 in mice. Gastroenterology 131:589–605

    Article  Google Scholar 

  35. Clerk A, Sugden PH (2004) Signaling through the extracellular signal regulated kinase 1/2 cascade in cardiac myocytes. Biochem Cell Biol 82(6):603–609

    PubMed  Article  CAS  Google Scholar 

  36. Darling CE, Jiang R, Maynard M, Whittaker P, Vinten-Johansen J, Przyklenk K (2005) Postconditioning via stuttering reperfusion limits myocardial infarct size in rabbit hearts: role of ERK1/2. Am J Physiol Heart Circ Physiol 289(4):H1618–H1626

    PubMed  Article  CAS  Google Scholar 

  37. Cappello S, Angelone T, Tota B, Pagliaro P, Penna C, Rastaldo R, Corti A, Losano G, Cerra MC (2007) Human recombinant chromogranin A-derived vasostatin-1 mimics preconditioning via an adenosine/nitric oxide signaling mechanism. Am J Physiol Heart Circ Physiol 293(1):H719–H727

    PubMed  Article  CAS  Google Scholar 

  38. Penna C, Alloatti G, Gallo MP, Cerra MC, Levi R, Tullio F, Bassino E, Dolgetta S, Mahata SK, Tota B, Pagliaro P (2010) Catestatin improves post-ischemic left ventricular function and decreases ischemia/reperfusion injury in heart. Cell Mol Neurobiol 30(8):1171–1179

    PubMed  Article  CAS  Google Scholar 

  39. Penna C, Abbadessa G, Mancardi D, Tullio F, Piccione F, Spaccamiglio A, Racca S, Pagliaro P (2008) Synergistic effects against post-ischemic cardiac dysfunction by sub-chronic nandrolone pretreatment and postconditioning: role of beta2-adrenoceptor. J Physiol Pharmacol 59(4):645–659

    PubMed  CAS  Google Scholar 

  40. Pagliaro P, Moro F, Tullio F, Perrelli MG, Penna C (2011) Cardioprotective pathways during reperfusion: focus on redox signaling and other modalities of cell signaling. Antioxid Redox Signal 14(5):833–850

    PubMed  Article  CAS  Google Scholar 

  41. Hausenloy DJ, Lecour S, Yellon DM (2011) Reperfusion injury salvage kinase and survivor activating factor enhancement prosurvival signaling pathways in ischemic postconditioning: two sides of the same coin. Antioxid Redox Signal 14(5):893–907

    PubMed  Article  CAS  Google Scholar 

  42. Nishikimi T, Maeda N, Matsuoka H (2006) The role of natriuretic peptides in cardioprotection. Cardiovasc Res 9(2):318–328

    Article  Google Scholar 

  43. Bolli R, Dawn B, Xuan YT (2003) Role of the JAK-STAT pathway in protection against myocardial ischemia/reperfusion injury. Trends Cardiovasc Med 13:72–79

    PubMed  Article  CAS  Google Scholar 

  44. Fuglesteg BN, Suleman N, Tiron C, Kanhema T, Lacerda L, Andreasen TV, Sack MN, Jonassen AK, Mjøs OD, Opie LH, Lecour S (2008) Signal transducer and activator of transcription 3 is involved in the cardioprotective signalling pathway activated by insulin therapy at reperfusion. Basic Res Cardiol 103:444–453

    PubMed  Article  CAS  Google Scholar 

  45. Mascareno E, El-Shafei M, Maulik N, Sato M, Guo Y, Das DK, Siddiqui MA (2001) JAK/STAT signaling is associated with cardiac dysfunction during ischemia and reperfusion. Circulation 104:325–329

    PubMed  Article  CAS  Google Scholar 

  46. Boengler K, Hilfiker-Kleiner D, Heusch G, Schulz R (2010) Inhibition of permeability transition pore opening by mitochondrial STAT3 and its role in myocardial ischemia/reperfusion. Basic Res Cardiol 105:771–785

    PubMed  Article  CAS  Google Scholar 

  47. Xuan YT, Guo Y, Han H, Zhu Y, Bolli R (2001) An essential role of the JAK-STAT pathway in ischemic preconditioning. Proc Natl Acad Sci USA 98:9050–9055

    PubMed  Article  CAS  Google Scholar 

  48. Hausenloy DJ, Yellon DM (2004) New directions for protecting the heart against ischaemia-reperfusion injury: targeting the reperfusion injury salvage kinase (RISK)-pathway. Cardiovasc Res 61:448–460

    PubMed  Article  CAS  Google Scholar 

  49. Penna C, Abbadessa G, Mancardi D, Spaccamiglio A, Racca S, Pagliaro P (2007) Nandrolone-pretreatment enhances cardiac beta(2)-adrenoceptor expression and reverses heart contractile down-regulation in the post-stress period of acute-stressed rats. J Steroid Biochem Mol Biol 107(1–2):106–113

    PubMed  Article  CAS  Google Scholar 

Download references

Acknowledgments

This research was supported by grants from Ministero dell’Università e Ricerca Scientifica e Tecnologica (ex 60 % T.A. and M.C.C.), “Progetto Giovani Ricercatori 2010.” (E.F.) and National Institute of Cardiovascular Research (INRC).

Conflict of interest

None.

Author information

Affiliations

Authors

Corresponding author

Correspondence to M. C. Cerra.

Additional information

T. Angelone and E. Filice contributed equally to the work.

Electronic supplementary material

Below is the link to the electronic supplementary material.

Supplementary material 1 (DOCX 74 kb)

Rights and permissions

Reprints and Permissions

About this article

Cite this article

Angelone, T., Filice, E., Pasqua, T. et al. Nesfatin-1 as a novel cardiac peptide: identification, functional characterization, and protection against ischemia/reperfusion injury. Cell. Mol. Life Sci. 70, 495–509 (2013). https://doi.org/10.1007/s00018-012-1138-7

Download citation

  • Received:

  • Revised:

  • Accepted:

  • Published:

  • Issue Date:

  • DOI: https://doi.org/10.1007/s00018-012-1138-7

Keywords

  • Nesfatin-1
  • Natriuretic peptide receptor A
  • Cardioprotection
  • pGC/PKG
  • Signal transduction