Skip to main content

Anti-inflammatory properties of N-acetylcysteine on lipopolysaccharide-activated macrophages

Abstract

Introduction

Innate immune cells play a role in modulating host immune response. Part of the macrophage inflammatory response is the release of an array of inflammatory cytokines, important molecules during the development of innate and adaptative immunity. Several antioxidant agents have been used in the control of the inflammatory response.

Objective

To evaluate the anti-inflammatory effect of N-acetylcysteine (NAC) on the expression and secretion of inflammatory cytokines and interleukin (IL)-10 in lipopolysaccharide (LPS)-activated THP-1 macrophages under mild oxidative conditions.

Methods

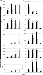
Macrophages were activated by LPS (0.1 and 1 μg/ml) for up to 24 h. The effect of 15 mM NAC was evaluated at 2, 4, 6 and 24 h. mRNA expression of tumor necrosis factor (TNF)-α, IL-1β, IL-6, IL-8 and IL-10 was assessed by real time PCR. The expression of the corresponding cytokines plus IL-12p70 was analyzed using a bead array for flow cytometry.

Results

NAC inhibits the inflammatory cytokines TNFα, IL-1β and IL-6 in LPS-activated macrophages under mild oxidative conditions. IL-10 mRNA and protein expression are strongly downregulated in NAC-treated cells, which may further modify the inflammatory cytokine profile.

Conclusion

NAC modulates immune functions during the inflammatory response.

This is a preview of subscription content, access via your institution.

Fig. 1
Fig. 2
Fig. 3
Fig. 4

References

  1. Víctor VM, Rocha M, De la Fuente M, et al. Regulation of macrophage function by the antioxidant N-acetylcysteine in mouse-oxidative stress by endotoxin. Int Immunopharmacol. 2003;3:97–106.

    PubMed  Article  Google Scholar 

  2. Pavlick KP, Laroux FS, Fuseler J, Wolf RE, Gray L, Hoffman J, Grisham MB. Role of reactive metabolites of oxygen and nitrogen in inflammatory bowel desease. Free Radic Biol Med. 2002;33(3):311–22.

    PubMed  Article  CAS  Google Scholar 

  3. Sadowska AM, Manuel-Y-Keenoy B, De Backer WA. Antioxidant and anti-inflammatory efficacy of NAC in the treatment of COPD discordant in vitro and in vivo dose-effects: a review. Pulm Pharmacol Ther. 2007;20(1):9–22.

    PubMed  Article  CAS  Google Scholar 

  4. Clark IA. How TNF was recognized as a key mechanism of disease. Cytokine Grow Factor Rev. 2007;18:335–43.

    Article  CAS  Google Scholar 

  5. Rietschel ET, Brade H. Bacterial endotoxins. Sci Am. 1992;267(2):54–61.

    PubMed  Article  CAS  Google Scholar 

  6. Sweet MJ, Hume DA. Endotoxin signal transduction in macrophages. J Leukoc Biol. 1996;60(1):8–26.

    PubMed  CAS  Google Scholar 

  7. O’Connell MA, Bennett BL, Mercurio F, Manning AM, Mackman N, et al. Role of IKK1 and IKK2 in lipopolysaccharide signalling in human monocytic cells. J Biol Chem. 1998;273(46):30410–4.

    PubMed  Article  Google Scholar 

  8. Guha M, Mackman N. LPS induction of gene expression in human monocytes. Cell Signal. 2001;13(2):85–94.

    PubMed  Article  CAS  Google Scholar 

  9. Víctor VM, Rocha M, De la Fuente M, et al. Inmune cells: free radicals and antioxidants in sepsis. Int Immunopharmacol. 2004;4:327–47.

    PubMed  Article  Google Scholar 

  10. Wu S-J, Ng L-T. Tetrandrine inhibits proinflammatory cytokines, iNOS and COX-2 expression in human monocytic cells. Biol Pharm Bull. 2007;30(1):59–62.

    PubMed  Article  CAS  Google Scholar 

  11. Jatana M, Giri S, Ansari MA, Elango C, Singh AK, Singh I, Khan M. Inhibition of NF-κB activation by 5-lipoxygenase inhibitors protects brain against injury in a rat model of focal cerebral ischemia. J Neuroinflammation. 2006;13(1):12–22.

    Article  Google Scholar 

  12. Baeuerle PA, Henkel T. Function and activation of NF-κB in the immune system. Annu Rev Immunol. 1994;12:141–79.

    PubMed  Article  CAS  Google Scholar 

  13. Yang Y, Han SH, Kim H, Kim C, Kim KY, Shin SM, Choi I, Pyun KH. Interleukin-12p40 gene expression is induced in lipopolysaccharide-activated pituitary glands in vivo. Neuroendocrinology. 2002;75(6):347–57.

    PubMed  Article  CAS  Google Scholar 

  14. Estany S, Palacio JR, Barnadas R, Sabes M, Iborra A, Martínez P. Antioxidant activity of N-acetylcysteine, flavonoids and α-tocopherol on endometrial cells in culture. J Reprod Immunol. 2007;75:1–10.

    PubMed  Article  CAS  Google Scholar 

  15. Green LC, Wagner DA, Glogowski J, Skipper PL, Wishnok JS, Tannenbaum SR. Analysis of nitrate, nitrite, and [15SN] nitrate in biological fluids. Anal Biochem. 1982;126:131–83.

    PubMed  Article  CAS  Google Scholar 

  16. Livak KJ, Schmittgen TD. Analysis of relative gene expression data using real-time quantitative PCR and the 2(-Delta Delta C(T)). Methods. 2001;25(4):402–8.

    PubMed  Article  CAS  Google Scholar 

  17. Lebel CP, Bondy SC. Sensitive and rapid quantitation of oxygen reactive species formation in rat synaptosomes. Neurochem Int. 1990;17(3):435–40.

    PubMed  Article  CAS  Google Scholar 

  18. Song M, Kellum JA, Kaldas H, Fink MP. Evidence that glutathione depletion is a mechanism responsible for the anti-inflammatory effects of ethyl pyruvate in cultured lipopolysaccharide-stimulated RAW 264.7 cells. J Pharmacol Exp Ther. 2004;308(1):307–16.

    PubMed  Article  CAS  Google Scholar 

  19. Zhang X, Cao J, Zhong L. Hydroxytyrosol inhibits pro-inflammatory cytokines, iNOS, and COX-2 expression in human monocytic cell. Naunyn-Schmied Arch Pharmacol. 2009;379:581–6.

    Article  CAS  Google Scholar 

  20. Yamada H, Arai T, Endo N, Yamashita K, Fukuda K, Sasada M, Uchiyama T. LPS-induced ROS generation and changes in glutathione level and their relation to the maturation of human monocyte-derived dendritic cells. Life Sci. 2006;78(9):926–33.

    PubMed  Article  CAS  Google Scholar 

  21. Mayorga M, Iborra A, Estany S, Martínez P. Protective effect of vitamin E in an animal model of LPS-induced inflammation. Am J Reprod Immunol. 2004;52(6):356–61.

    PubMed  Article  CAS  Google Scholar 

  22. Nan YH, Jeon YJ, Park IS, Shin SY. Antimicrobial peptide P18 inhibits inflammatory responses by LPS- but not by INF-γ-stimulated macrophages. Biotechnol Lett. 2008;30(7):1183–7.

    PubMed  Article  CAS  Google Scholar 

  23. Ryan KA, Smith MF, Sanders K, Ernst PB. Reactive oxygen and nitrogen species differentially regulate Toll-like receptor 4-mediated activation of NF-κB and interleukin-8 expression. Infect Immun. 2004;72(4):2123–30.

    PubMed  Article  CAS  Google Scholar 

  24. Cui A, Ye Q, Sarria R, Nakamura S, Guzman J, Costabel U. N-acetylcysteine inhibits TNF-α, sTNFR, and TGF-β1 release by alveolar macrophages in idiopathic pulmonary in vitro. Sarcoidosis Vasc Diffuse Lung Dis. 2009;26:147–54.

    Google Scholar 

  25. Parmentier M, Hirani N, Rahman I, Donaldson K, MacNee W, Antonicelli F, et al. Regulation of lipopolysaccharide-mediated interleukin-1beta release by N-acetylcysteine in THP-1 cells. Eur Respir J. 2000;16(5):933–9.

    PubMed  Article  CAS  Google Scholar 

  26. Zhang SQ, Luo X, Huang HL, Chai Y, Hu DJ, Tao QS. N-acetylcysteine antagonizes the Interleukin-18-induced expression of TNF-alpha and IL-6 in mouse vascular smooth muscle cells. Xi Bao Yu Fen Zi Mian Yi Xue Za Zhi. 2010;26(1):35–7.

    PubMed  Google Scholar 

  27. Dobashi K, Aihara M, Araki T, Shimizu Y, Utsugi M, Iizuka K, Murata Y, Hamuro J, Nakazawa T, Mori M. Regulation of LPS induced IL-12 production by IFN-gamma and IL-4 through intracellular glutathione status in human alveolar macrophages. Clin Exp Immunol. 2001;124(2):290–6.

    PubMed  Article  CAS  Google Scholar 

  28. Tanaka C, Kamata H, Takeshita H, Yagisawa H, Hirata H. Redox regulation of lipopolysaccharide (LPS)-induced interleukin-8 (IL-8) gene expression mediated by NF-kB and AP-1 in human astrocytoma U373 cells. Biochem Biophys Res Commun. 1997;232(2):568–73.

    PubMed  Article  CAS  Google Scholar 

  29. Antonicelli F, Parmentier M, Drost EM, Hirani N, Rahman I, Donaldson K, MacNee W. Nacystelin inhibits oxidant-mediated interleukin-8 expression and NF-kB nuclear binding in alveolar epithelial cells. Free Radic Biol Med. 2002;32(6):492–502.

    PubMed  Article  CAS  Google Scholar 

Download references

Acknowledgments

The authors would like to thank María Antonia Baltrons for her technical support in the intracellular ROS evaluation and Olga Pol for her contribution to the statistical analysis. This work was supported by the Network of Excellence (EMBIC) from the European Community. Ref. LSHM-CT-2004-512040 (2004–2008).

Conflict of interest

The authors declare that there is no conflict of interest associated with this manuscript.

Author information

Affiliations

Authors

Corresponding author

Correspondence to J. R. Palacio.

Additional information

Responsible Editor: Graham Wallace.

Rights and permissions

Reprints and Permissions

About this article

Cite this article

Palacio, J.R., Markert, U.R. & Martínez, P. Anti-inflammatory properties of N-acetylcysteine on lipopolysaccharide-activated macrophages. Inflamm. Res. 60, 695–704 (2011). https://doi.org/10.1007/s00011-011-0323-8

Download citation

  • Received:

  • Revised:

  • Accepted:

  • Published:

  • Issue Date:

  • DOI: https://doi.org/10.1007/s00011-011-0323-8

Keywords

  • Inflammatory cytokines
  • N-Acetylcysteine (NAC)
  • Reactive oxygen species (ROS)
  • THP-1 induced-macrophage