Abstract
Objective
Protein kinase D (PKD) is a newly described serine/threonine protein kinase that plays a pivotal role in inflammatory response. In the present study, we examined the protective effect of Gö6976, a PKD inhibitor, on lipopolysaccharide (LPS) and d-galactosamine (d-GalN)-induced acute liver injury in mice.
Materials and methods
Mice were pretreated intraperitoneally with Gö6976 30 min before LPS/d-GalN administration . The mortality and degree of hepatic injury was subsequently assessed.
Results
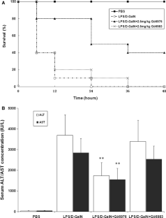
The results indicated that LPS/d-GalN administration markedly induced hepatic PKD activation, lethality and liver injury, while pretreatment of the PKD inhibitor Gö6976 significantly inhibited LPS-induced PKD activation, improved the survival of LPS/d-GalN-administered mice and attenuated LPS/d-GalN-induced liver injury, as evidenced by reduced levels of serum aminotransferases as well as reduced histopathological changes. In addition, the protective effects of Gö6976 were paralleled by suppressed activation of mitogen-activated protein kinases (MAPKs), decreased expression of tumor necrosis factor-α (TNF-α) and adhesion molecules, and reduced apoptosis and myeloperoxidase (MPO) activity in liver.
Conclusions
Our experimental data indicated that Gö6976, a PKD inhibitor, could effectively prevent LPS/d-GalN-induced acute liver injury by inhibition of MAPKs activation to reduce TNF-α production. This suggests the potential pharmacological value of PKD inhibitors in the intervention of inflammation-based liver diseases.







Similar content being viewed by others
References
Rykx A, De Kimpe L, Mikhalap S, Vantus T, Seufferlein T, Vandenheede JR, et al. Protein kinase D: a family affair. FEBS Lett. 2003;546:81–6.
Rozengurt E, Rey O, Waldron RT. Protein kinase D signaling. J Biol Chem. 2005;280:13205–8.
Wang QJ. PKD at the crossroads of DAG and PKC signaling. Trends Pharmacol Sci. 2006;27:317–23.
Ivison SM, Graham NR, Bernales CQ, Kifayet A, Ng N, Shobab LA, et al. Protein kinase D interaction with TLR5 is required for inflammatory signaling in response to bacterial flagellin. J Immunol. 2007;178:5735–43.
Park JE, Kim YI, Yi AK. Protein kinase D1 is essential for MyD88-dependent TLR signaling pathway. J Immunol. 2009;182:6316–27.
Park JE, Kim YI, Yi AK. Protein kinase D1: a new component in TLR9 signaling. J Immunol. 2008;181:2044–55.
Kawai T, Akira S. Toll-like receptor and RIG-I-like receptor signaling. Ann NY Acad Sci. 2008;1143:1–20.
Marshall JC. Lipopolysaccharide: an endotoxin or an exogenous hormone? Clin Infect Dis. 2005;41(Suppl 7):S470–80.
Dhainaut JF, Marin N, Mignon A, Vinsonneau C. Hepatic response to sepsis: interaction between coagulation and inflammatory processes. Crit Care Med. 2001;29:S42–7.
Abraham E, Singer M. Mechanisms of sepsis-induced organ dysfunction. Crit Care Med. 2007;35:2408–16.
Song MJ, Wang YQ, Wu GC. Lipopolysaccharide-induced protein kinase D activation mediated by interleukin-1beta and protein kinase C. Brain Res. 2007;1145:19–27.
Zhang W, Zheng S, Storz P, Min W. Protein kinase D specifically mediates apoptosis signal-regulating kinase 1-JNK signaling induced by H2O2 but not tumor necrosis factor. J Biol Chem. 2005;280:19036–44.
Silverstein R. d-Galactosamine lethality model: scope and limitations. J Endotoxin Res. 2004;10:147–62.
Wilhelm EA, Jesse CR, Roman SS, Nogueira CW, Savegnago L. Hepatoprotective effect of 3-alkynyl selenophene on acute liver injury induced by d-galactosamine and lipopolysaccharide. Exp Mol Pathol. 2009;87:20–6.
Tran-Thi TA, Phillips J, Falk H, Decker K. Toxicity of d-galactosamine for rat hepatocytes in monolayer culture. Exp Mol Pathol. 1985;42:89–116.
Ren M, Feng H, Fu Y, Land M, Rubin CS. Protein kinase D is an essential regulator of C. elegans innate immunity. Immunity. 2009;30:521–32.
Johannes FJ, Prestle J, Eis S, Oberhagemann P, Pfizenmaier K. PKCu is a novel, atypical member of the protein kinase C family. J Biol Chem. 1994;269:6140–8.
Dauphinee SM, Karsan A. Lipopolysaccharide signaling in endothelial cells. Lab Invest. 2006;86:9–22.
Kitazawa T, Tsujimoto T, Kawaratani H, Fujimoto M, Fukui H. Expression of toll-like receptor 4 in various organs in rats with d-galactosamine-induced acute hepatic failure. J Gastroenterol Hepatol. 2008;23:e494–8.
Gaestel M, Mengel A, Bothe U, Asadullah K. Protein kinases as small molecule inhibitor targets in inflammation. Curr Med Chem. 2007;14:2214–34.
Iida C, Fujii K, Kishioka T, Nagae R, Onishi Y, Ichi I, et al. Activation of mitogen activated protein kinase (MAPK) during carbon tetrachloride intoxication in the rat liver. Arch Toxicol. 2007;81:489–93.
Cursio R, Filippa N, Miele C, Van Obberghen E, Gugenheim J. Involvement of protein kinase B and mitogen-activated protein kinases in experimental normothermic liver ischaemia–reperfusion injury. Br J Surg. 2006;93:752–61.
Klintman D, Li X, Santen S, Schramm R, Jeppsson B, Thorlacius H. p38 mitogen-activated protein kinase-dependent chemokine production, leukocyte recruitment, and hepatocellular apoptosis in endotoxemic liver injury. Ann Surg 2005; 242:830–8 (discussion 838–9).
Takamura M, Matsuda Y, Yamagiwa S, Tamura Y, Honda Y, Suzuki K, et al. An inhibitor of c-Jun NH2-terminal kinase, SP600125, protects mice from d-galactosamine/lipopolysaccharide-induced hepatic failure by modulating BH3-only proteins. Life Sci. 2007;80:1335–44.
Freudenberg MA, Keppler D, Galanos C. Requirement for lipopolysaccharide-responsive macrophages in galactosamine-induced sensitization to endotoxin. Infect Immun. 1986;51:891–5.
Dong L, Zuo L, Xia S, Gao S, Zhang C, Chen J, et al. Reduction of liver tumor necrosis factor-alpha expression by targeting delivery of antisense oligonucleotides into Kupffer cells protects rats from fulminant hepatitis. J Gene Med. 2009;11:229–39.
Jiang W, Sun R, Wei H, Tian Z. Toll-like receptor 3 ligand attenuates LPS-induced liver injury by down-regulation of toll-like receptor 4 expression on macrophages. Proc Natl Acad Sci USA. 2005;102:17077–82.
Masubuchi Y, Horie T. Endotoxin-mediated disturbance of hepatic cytochrome P450 function and development of endotoxin tolerance in the rat model of dextran sulfate sodium-induced experimental colitis. Drug Metab Dispos. 2004;32:437–41.
Leist M, Gantner F, Bohlinger I, Tiegs G, Germann PG, Wendel A. Tumor necrosis factor-induced hepatocyte apoptosis precedes liver failure in experimental murine shock models. Am J Pathol. 1995;146:1220–34.
Fiedler VB, Loof I, Sander E, Voehringer V, Galanos C, Fournel MA. Monoclonal antibody to tumor necrosis factor–alpha prevents lethal endotoxin sepsis in adult rhesus monkeys. J Lab Clin Med. 1992;120:574–88.
Hatano E. Tumor necrosis factor signaling in hepatocyte apoptosis. J Gastroenterol Hepatol. 2007;22(1):S43–4.
Faubion WA, Gores GJ. Death receptors in liver biology and pathobiology. Hepatology. 1999;29:1–4.
Porter AG, Janicke RU. Emerging roles of caspase-3 in apoptosis. Cell Death Differ. 1999;6:99–104.
Schlayer HJ, Laaff H, Peters T, Woort-Menker M, Estler HC, Karck U, et al. Involvement of tumor necrosis factor in endotoxin-triggered neutrophil adherence to sinusoidal endothelial cells of mouse liver and its modulation in acute phase. J Hepatol. 1988;7:239–49.
Jaeschke H, Hasegawa T. Role of neutrophils in acute inflammatory liver injury. Liver Int. 2006;26:912–9.
Steeber DA, Tedder TF. Adhesion molecule cascades direct lymphocyte recirculation and leukocyte migration during inflammation. Immunol Res. 2000;22:299–317.
Ohira H, Abe K, Yokokawa J, Takiguchi J, Rai T, Shishido S, et al. Adhesion molecules and CXC chemokines in endotoxin-induced liver injury. Fukushima J Med Sci. 2003;49:1–13.
Xiang L, Klintman D, Thorlacius H. Allopurinol inhibits CXC chemokine expression and leukocyte adhesion in endotoxemic liver injury. Inflamm Res. 2003;52:353–8.
Xu H, Gonzalo JA, St Pierre Y, Williams IR, Kupper TS, Cotran RS, et al. Leukocytosis and resistance to septic shock in intercellular adhesion molecule 1-deficient mice. J Exp Med. 1994;180:95–109.
Acknowledgments
This work was supported by grants from the National Natural Science Foundation of China (No. 30772251, 30700289).
Author information
Authors and Affiliations
Corresponding author
Additional information
Responsible Editor: Graham Wallace.
Rights and permissions
About this article
Cite this article
Duan, G.J., Zhu, J., Xu, C.Y. et al. Protective effect of Gö6976, a PKD inhibitor, on LPS/d-GalN-induced acute liver injury in mice. Inflamm. Res. 60, 357–366 (2011). https://doi.org/10.1007/s00011-010-0278-1
Received:
Accepted:
Published:
Issue Date:
DOI: https://doi.org/10.1007/s00011-010-0278-1


