Skip to main content

Advertisement

SpringerLink
Log in
Menu
Find a journal Publish with us
Search
Cart
  1. Home
  2. Probability Theory and Related Fields
  3. Article
A large deviation result for a class of Dirichlet processes
Download PDF
Download PDF
  • Published: June 1995

A large deviation result for a class of Dirichlet processes

  • Weian Zheng1 

Probability Theory and Related Fields volume 101, pages 237–249 (1995)Cite this article

  • 75 Accesses

  • 2 Citations

  • Metrics details

Summary

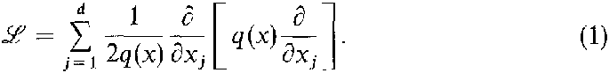
Let λ>0 be a constant and let λ−1 <q(x) < λ be a bounded measurable function. We consider the large deviation problem for the diffusion process with generator

We are going to prove that its density function satisfies

$$\mathop {\lim }\limits_{t \to 0} t\log H(y,t,x) = - \frac{{\left| {x - y} \right|^2 }}{2}$$

Download to read the full article text

Working on a manuscript?

Avoid the common mistakes

References

  1. Carlen, E., Kusuoka, S., Stroock, D.: Upper bounds for symmetric Markov transition functions. Ann. Inst. Henri Poincaré, Sup. au no. 2 (1987)

  2. Chen, Z.Q.: On reflecting diffusion processes and Skorohod decompositions. Probab. Theory Relat. Fields94 (1993)

  3. Davies, E.B.: Heat kernels and spectral theory, Cambridge: Cambridge Univ. Press (1989)

    Google Scholar 

  4. Fabes, E., Stroock, D.: A new proof of Moser's parabolic Harnack inequality using the old ideas of Nash. Arch. Ratl. Mech. Anal.96(4), (1986).

  5. Fukushima, M.: Dirichlet forms and Markov processes. Amsterdam: North-Holland (1985)

    Google Scholar 

  6. Kusuoka, S., and Stroock, D.: Long time estimates for the heat kernel associated with a uniformly subelliptic second order operators. Ann. Math.127, (1988)

  7. Lyons, T. and Zheng, W.: A crossing estimate for the canonical process on a Dirichlet space and a tightness result. Colloque Paul Levy sur les Processus Stochastiques, Asterisque157–158, 249–271 (1988)

    Google Scholar 

  8. Norris, J.R., Stroock, D.W.: Estimates on the fundamental solution to heat flow with uniformly elliptic coefficients. Proc. London Math. Soc. (1991)

  9. Stroock, D.W.: Diffusion semigroups corresponding to uniformly elliptic divergence from operators. Sém, de Prob. XXII (Lect. Notes in Math., Vol. 1321) (1988)

  10. Varadhan, S.R.S.: On the behavior of the fundamental solution of the heat equation with variable coefficients. Comm. Pure Appl. Math.20, (1967)

  11. Zheng, W.: Diffusion processes on Lipschitz manifolds and their applications. In: Cranston, M., Pinsky, M.: Stochastic analysis, AMS Series Proc. Symp. in Pure Math. Providence, RI: Amer. Mathematical Soc. 1994

    Google Scholar 

Download references

Author information

Authors and Affiliations

  1. Department of Mathematics, University of California, 92717, Irvine, CA, USA

    Weian Zheng

Authors
  1. Weian Zheng
    View author publications

    You can also search for this author in PubMed Google Scholar

Additional information

Research supported by N.S.F. grant DMS-9204038

Rights and permissions

Reprints and Permissions

About this article

Cite this article

Zheng, W. A large deviation result for a class of Dirichlet processes. Probab. Th. Rel. Fields 101, 237–249 (1995). https://doi.org/10.1007/BF01375827

Download citation

  • Received: 19 October 1993

  • Revised: 28 June 1994

  • Issue Date: June 1995

  • DOI: https://doi.org/10.1007/BF01375827

Share this article

Anyone you share the following link with will be able to read this content:

Sorry, a shareable link is not currently available for this article.

Provided by the Springer Nature SharedIt content-sharing initiative

Mathematics Subject Classification (1991)

  • 60J65
  • 60J60
  • 58G32
  • 58G11
Download PDF

Working on a manuscript?

Avoid the common mistakes

Advertisement

Search

Navigation

  • Find a journal
  • Publish with us

Discover content

  • Journals A-Z
  • Books A-Z

Publish with us

  • Publish your research
  • Open access publishing

Products and services

  • Our products
  • Librarians
  • Societies
  • Partners and advertisers

Our imprints

  • Springer
  • Nature Portfolio
  • BMC
  • Palgrave Macmillan
  • Apress
  • Your US state privacy rights
  • Accessibility statement
  • Terms and conditions
  • Privacy policy
  • Help and support

167.114.118.210

Not affiliated

Springer Nature

© 2023 Springer Nature