Characterization of bakelite-modified bitumen
Abstract
This study investigated the influence of Bakelite on the physical, performance, and mechanical properties of bitumen binder. Bakelite is the trade name of phenol formaldehyde—a thermosetting type of plastic. It is a polymer amorphous in nature having three-dimensional structure. This imparts hardness, strength, and rigidity. Bakelite was blended in the bitumen in variegated percentages from 1 to 5% with an increment of 1%. The blended bitumen was characterized by penetration, softening point, and dynamic viscosity using rotational viscometer and compared with unmodified bitumen of penetration grade 60/70. The rheological parameters were investigated using Dynamic Shear Rheometer (DSR) (AASHTO Provisional Standards: AASHTO T315-08, Standard test method for determining the Rheological properties of asphalt binder using a Dynamic Shear Rheometer (DSR) Washington, 2011), and mechanical properties were investigated using Marshall stability test. The results indicated an increase in softening point, dynamic viscosity, and decrease in binder penetration up to 2% modifier content and then follow the reverse trend. The blending of bitumen with bakelite increased complex modulus, decreased phase angle, and improved rutting resistance as well. There was a significant improvement in Marshall stability, rather a marginal improvement in flow value. The best improvement in the modified binder was obtained with 2% bakelite. This project demonstrates that the properties of bitumen can be improved by adding Bakelite in it. With negligible raise in initial cost of the construction, the life and performance of pavements can be increased for a long duration.
Keywords
Bakelite Stripping Complex shear modulus Phase angle Rutting resistance Marshall stabilityAbbreviations
- AASHTO
American association of state highway and transportation officials
- ASTM
American society for testing and materials
- DSR
Dynamic shear rheometer
- HMA
Hot mix asphalt
- IS
Indian standards
- MORTH
Ministry of road transport and highways
Introduction
E-waste consists of all waste from electronic and electrical appliances which have reached their end-of-life period or are no longer fit for their original intended use and are destined for recovery, recycling, or disposal. It includes computer and its accessories, monitors, printers, keyboards, central processing units, typewriters, and mobile phones. The composition of e-waste is diverse and falls under ‘hazardous’ and ‘non-hazardous’ categories. Broadly, it consists of ferrous and non-ferrous metals, plastics, glass, etc. Recycling can recover reusable components in the form of Bakelite. Globally, about 20–50 MT (million tons) of e-wastes is disposed of each year. By 2020, e-waste from old computers would jump by 400% to 2007 levels in China and by 500% in India. Additionally, e-waste from discarded mobile phones would be about seven times higher than 2007 levels and, in India, 18 times higher by 2020 [2]. E-waste plastics are generated as domestic waste and are available in plenty amount. These are generally thermosetting plastic which cannot be re-melted to form a new product and are generally landfilled or incinerated, both of which lead to environmental problems [3]. However, such problems can be mitigated using e-waste in road construction.
Most of the highways are flexible pavement, and their top surfaces are formed by bituminous binder and aggregates. Normally bituminous concrete pavement gets softened at high temperature and under repetitive heavy traffic load, resulting rutting [4]. On the other hand, at low temperature, cracking occurs. Due to these phenomena, the pavement gets the premature failure, and a lot of money is wasted every year for their maintenance.
Bakelite is a type of thermosetting plastic. Thermoplastic polymers, thermosetting plastics, rubbers, and block copolymers are usually used to modify bitumen with the intent to improve the performance of binders [5]. They also reported that Marshall stability test, viscosity test, rheological tests(unaged and aged binder), etc., indicated an increasing trend with the increase in bakelite content up to certain extent and then it decreased [5]. Ahmed et al. concluded the Rutting resistance improved by 29 and 38% for class A and class B hot mix asphalt (HMA) mixtures using bakelite [6].
Cubuk et al. [9] investigated the influences of phenol formaldehyde resin on the rheological properties of bitumen. Different amounts of phenol formaldehyde were mixed with the bitumen of 50/70 penetration grade, and variations in viscosity as a function of temperature and additive concentration were determined. The effects of the phenol formaldehyde additive were examined by conventional and Superpave test methods. Adhesion and stability of bitumen-aggregate mixtures prepared using pure and modified bitumen were compared using Nicholson stripping and Marshall tests. They found that appreciable decrease in the formation of rutting, bleeding, stripping, and cracking in bitumen may be obtained through phenol formaldehyde addition.
The objective of this study is to conduct a comparative test program on binders and bitumen mixtures containing standard and bakelite-modified bitumen and assess the effects of bitumen properties on pavement performance.
Materials and methods
Bitumen
Properties of bitumen used
| Properties | Value |
|---|---|
| Penetration 0.1 mm, 100 g, 25 °C, 5 s | 60/70 |
| Softening point min °C | 58 |
| Viscosity at 135 °C (Pa s) | 0.407 |
Bakelite
Bakelite powder
Basic properties of bakelite
| Physical state | Solid and granular |
|---|---|
| Color | Black & brown |
| Melting point | >100 °C |
| Molar mass | Variable |
| Chemical formula | (C6H6O·CH2O) n |
| Density | 1.3 g/cc |
Blending of bakelite in bitumen
Bakelite was mixed with bitumen at sufficiently high temperature and rotation so that it may get mixed homogenously throughout the bitumen. Melted bitumen was mixed with bakelite sample of 1, 2, 3, 4, and 5% by weight of bitumen and stirred mechanically using centrally aligned motor at 2000 rpm and 130 °C for 30 min.
Test program
Empirical tests, such as penetration and softening point, were carried out as per guidelines of IS: 1203-1978 and IS: 1205-1978, respectively. Adhesion effect was observed using stripping test (as per AASHTO T 182 and ASTM D 1664). Cohesion effect was observed using viscosity test by rotational viscometer (AASHTO T 316 and ASTM D 4402). Dynamic shear rheometer (DSR) was used to find rheological properties of bitumen as per AASHTO T315 and Marshall stability test (ASTM D 1559) was used to determine mechanical characteristics of bitumen concrete mix.
Results and discussions
All the tests were performed in the laboratory in order to examine the influence of bakelite-modified bitumen. Every quest is presented along with their concernment in the following subsections.
Penetration and softening point
Structure of bakelite
Source: accessed at 8th September 2015, 12:48 pm from http://www.britannica.com/science/phenol-formaldehyde-resin
Stripping test
Effect of bakelite on penetration and softening point
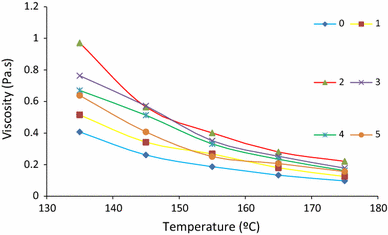
Viscosity
Effect of bakelite on stripping
Effect of bakelite on viscosity
Complex shear modulus (G*)
Effect of bakelite on viscosity showing peak point
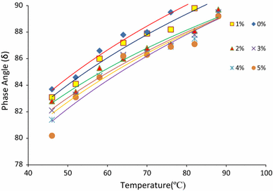
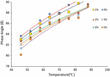
Phase angle (δ)
Effect of bakelite on complex shear modulus (G*)
Rutting resistance (G*/Sin δ)
Effect of bakelite on phase angle
Marshal stability
Result of Marshall stability test
| Specification | Unmodified bitumen | Bitumen modified by 2% bakelite | As per MORTH specification |
|---|---|---|---|
| Stability (kg) | 1600 | 2570 | >900 kg |
| Flow (mm) | 3.2 | 2.8 | 2–4 mm |
| Density (g/cc) | 2.437 | 2.450 | – |
| V v | 4.5 | 4.7 | 3–6% |
| VFB | 74.5 | 74 | 65–75% |
Effect of bakelite on G*/Sin δ
DSR test data at optimum bitumen content of 2%
Conclusions
-
The lowest value of penetration at 2% of bakelite may indicate better improvement in shear resistance at high temperatures. Antipode, the highest value of the softening point at 2% of bakelite may indicate better improvement in resistance to deformation. Hence, this modified bitumen binder can be considered suitable to be used in the places where the climate remains hot.
-
The stripping test result indicates that the effect of water on 2% bakelite-modified bitumen is less, and the mix is less susceptible to moisture damage.
-
The viscosity of bakelite-modified bitumen increases with the increase of modifier content up to 2% of bakelite while temperature kept constant. This shows increment in cohesive force, which results in resistance to flow. To make it flowable, more energy will be required.
-
An acquired value of complex modulus extent is about 2.56–615 kPa at 2% bakelite additive, whereas the phase angle extent is about 80°–90° over the temperature range for unaged modified bitumen. This higher value of phase angle suggests about the more viscous material. Complex modulus and phase angle are used as predictors of hot bituminous mix performance.
-
Rutting resistance parameter enhanced from 2.54 to 633 kPa at 2% addition of bakelite, when temperature decreased from 88 to 46 °C. Rutting resistance parameter found at 52 and 46 °C is greater than 100 kPa. Hence, this can pertinent to resistance to rutting.
Based upon rutting parameter (G*/Sin δ) obtained from DSR test, 2% bakelite was observed to be optimum. At this optimum content, Marshal stability was compared with that of the bituminous concrete sample of pure bitumen. The addition of 2% bakelite increases the stability by 60% but flow value decreased by 12.5%, whereas, no significant change in other factors. This may manifest resistance against permanent deformations such as rutting, corrugation, and local settlement.
Based on the research work done so far on bakelite additive in bitumen, it may be recommended that this can be used in the places where rutting is of greater concern [10]. Bakelite addition also improves the strength of pavement and reduces deflection. It may also be beneficial in areas where heavy rain is a major problem causing stripping. Since the cost of bakelite powder is not much, so its use may cause a negligible increase in the cost of construction. If waste material is used by crushing in plants, it may not only eliminate the cost but also helps in cleaning the environment from such non-disposable pollutants.
References
- 1.AASHTO T315-08 (2011) Standard test method for determining the rheological properties of asphalt binder using a dynamic shear rheometer (DSR). AASHTO Provisional Standards, Washington, pp 1–31Google Scholar
- 2.Agnihotri VK (2011) E-waste in India, Research Unit (LARRDIS) Rajya Sabha Secretariat New Delhi, pp 3–9Google Scholar
- 3.Pizzi A, Ibeh CC (2014) Handbook of thermoset plastics. Elsevier, New York. http://dx.doi.org/10.1016/B978-1-4557-3107-7.00002-6. Accessed 17 May 2016, pp 13–42
- 4.Garci a-Morales M, Partal P, Navarro FJ, Gallegos C (2005) Effect of waste polymer addition on the rheology of modified bitumen. Sci Direct Fuel 85:936–943Google Scholar
- 5.Aksoy A, Samlioglu K, Tayfur S, Halit O (2005) Effects of various additives on the moisture damage sensitivity of asphalt mixtures. In: Science Direct, construction and building materials, pp 11–18Google Scholar
- 6.Ahmed A, Youssef A, Hussain A, Irfan M, Khan BM (2014) Performance evaluation of asphaltic mixtures using bakelite. Life Sci J 11(7s):481–488Google Scholar
- 7.Buccino V, Ferrari P (2011) Performance tests on bitumen and bituminous mixes strade & autostrade, vol 2, pp 1–13Google Scholar
- 8.Ahmad J, Rahman AMY, Hainin MR (2011) Rutting Evaluation of Dense graded hot mix asphalt mixture. Int J Eng Technol IJET-IJENS 11(05):56–60Google Scholar
- 9.Cubuk M, Guru M, Kursat M, Arslan D (2014) Rheological properties and performance evaluation of phenol formaldehyde modified bitumen. Am Soc Civ Eng 10:1–6Google Scholar
- 10.IRC: SP 53-2010—Guidelines on the use of modified bitumen in road construction. Indian Road congress, New delhi, pp 1–36Google Scholar
- 11.Subramanian M, Deo MD, Hanson FV (1996) Compositional Analysis of bitumen and bitumen-derived products. J Chromatogr Sci 34:20–26CrossRefGoogle Scholar
- 12.Tomita B, Hse CY (1998) Phenol-urea-formaldehyde (PUF) co-condensed wood adhesives. Int J Adhes Adhes 18:69–79CrossRefGoogle Scholar









