Challenges During Microstructural Analysis and Mechanical Testing of Small-Scale Pseudoelastic NiTi Structures
Abstract
Most investigations on NiTi-based shape memory alloys involve large-scale bulk material; knowledge about the martensitic transformation in small-scale NiTi structures is still limited. In this paper, we study the microstructures of thin NiTi layers and their mechanical properties, and we discuss typical challenges that arise when experiments are performed on small samples. A physical vapor deposition (PVD) process was used to deposit thin NiTi wires with a cross section of 15 × 15 μm2 and dogbone-shaped samples 5 × 500 μm2. Microstructural properties were characterized by X-ray diffraction, electron backscatter diffraction, and scanning electron microscopy. Moreover, tensile tests were performed using optical strain measurements in order to observe martensite band formation during cyclic loading. The surfaces of the crystalline wires reflect the columnar growth of NiTi during deposition. The wires exhibit pseudoelastic material behavior during tensile testing. Fracture typically occurs along the columns because the column growth direction is perpendicular to the straining direction. Electropolishing removes these local stress raisers and hence increases fracture strains. Our results demonstrate that the pseudoelastic properties of the PVD-processed materials agree well with those of conventional NiTi, and that they provide new opportunities to study the fundamentals of martensitic transformation in small-scale model systems.
Keywords
Small-scale testing NiTi Phase transformation Nucleation and propagation of martensite bandsIntroduction
Samples and experimental set-up for small-scale testing of NiTi structures. a Image of the two different sample geometries used in this study. The dogbone sample (top) has a cross section of 5 × 500 μm2; the wire samples with cross sections of 15 × 15 μm2 are shown below. b Clamping set-up for tensile testing using planar ceramic grips. A dogbone sample is indicated by the arrow. Strain measurements on the dogbone samples were performed using the optical strain measurement set-up (not shown here)
Scaling down the size of samples is in itself related to scaling effects: when sample dimensions are decreased to the order of characteristic microstructural length scales, one can expect new effects (like changes in mechanical strength, and also potentially changes in transformation behavior) to occur [1, 2]. Another important aspect is the effect of novel processing techniques on the resulting microstructures in small samples: conventional bulk NiTi is typically produced by melting, casting, followed by rolling, swaging, or wire drawing [3]. The resulting microstructures are typically characterized by considerably deformed grains, high dislocation densities (after cold work), and pronounced textures [4]. Physical vapor deposition (PVD) methods have emerged as an interesting alternative to these conventional processing routes; these PVD methods offer certain advantages, such as high purity (because samples are deposited in high vacuum), and because (pre-alloyed) targets can be carefully fine-tuned to the desired alloy composition [5, 6, 7]. Film morphologies, crystal growth, and textures can in principle be controlled using different substrate materials and subsequent heat treating conditions. Moreover, surface features and morphologies (like roughness and waviness) of the substrates are directly reflected by the thin films deposited on top. Consequently, these novel methods, which typically lead to small sample dimensions that are the topic of this paper, may well be associated with different microstructures. It is therefore important to characterize transformation behavior and thermo-mechanical properties of small-scale samples produced by PVD processes, and to compare these to their large-scale counterparts.
Research on small samples is also characterized by additional practical challenges: sample preparation and handling considerably smaller samples in the lab; adapting experimental equipment; higher demands on resolution of force, displacement, thermal, or optical measurement techniques; increased effects of surface features and scatter on different properties even in the same batch of material, to name just a few. Consequently, previous research on thin films and/or small-scale shape memory alloys has often been focused on processing parameters and their effect on the resulting material microstructures, while topics like careful mechanical testing have hardly been addressed. In this paper, we study pseudoelastic binary NiTi produced by PVD, and we consider several aspects related to small-scale testing: we document typical microstructural features associated with PVD processing. Using similar initial microstructures, we compare two different types of samples during tensile testing, and we discuss how different surface morphologies, clamping conditions, and strain measurement techniques affect the thermo-mechanical response. We also compare the material’s tendency for localized deformation (i.e., formation and growth of fully transformed martensite in distinct bands) in small-scale samples to the well-known bulk behavior of NiTi [8, 9].
Materials and Experiments
The materials used in this study were obtained from Acquandas, Kiel, Germany. They were produced by a PVD magnetron direct current sputter process and deposited on planar Si substrates under ambient conditions. The thin films were then heat-treated to promote crystallization, resulting in homogeneous NiTi films with a well-defined chemical composition of about 50.6 at.% Ni. Further details on the deposition process and heat treatments have been described elsewhere [10]. Lithography techniques [11] were then used to produce two types of samples for tensile testing: the first sample type consists of straight wires with a square cross section (15 × 15 μm2), while the second sample type is designed as a dogbone specimen (5 × 500 μm2), Fig. 1a. The gage length was 5 mm for both sample geometries. To study the effect of surface morphology, some of the wire and dogbone samples were subsequently electropolished, while others were kept in the initial surface state. To determine the phase transformation temperatures, differential scanning calorimetry (DSC) measurements were performed in a Mettler Toledo DSC1 (FRS 5 Sensor) apparatus with a cooling/heating rate of 10 K min−1 and sample masses of about 1 mg.
The microstructures of the small samples were analyzed by X-ray diffraction (XRD) in Bragg–Brentano geometry. A Bruker AXS D8 Discover XRD set-up with Cu-Kα radiation was used to determine phases and textures. Electron backscatter diffraction (EBSD) in the scanning electron microscope (SEM) was further used to investigate a possible texture, grain size, and grain size distributions. For the EBSD measurements, the sample surfaces were polished in a VibroMet2 vibratory polisher (polishing time 24 h, in a MasterMet 2 solution by Buehler). Sample surfaces were also studied in detail in a Zeiss NEON40EsB SEM to document surface morphologies. Chemical composition was confirmed by EDX measurements to be about 50.6 at.% Ni. The SEM was further used to analyze fracture initiation and fracture surfaces after tensile testing.
Uniaxial tensile testing was performed with both types of specimens in a Zwick/Roell tensile testing apparatus equipped with a 10 N high precession Xforce load cell with an accuracy grade 1 (0.02 % of maximum force). Both types of samples were clamped in planar ceramic grips, Fig. 1a. Strain measurements were performed in two ways: for the tests on both wire and dogbone samples, we determined (engineering) strains by considering cross-head displacement values. In addition, more detailed strain measurements were performed on the dogbone samples, using the optical method known as digital image correlation (DIC). To produce local strain maps, we used macro optics (Mitutoyo) and the DIC analysis software package ARAMIS by GOM [12]. The wires were deformed up to about 6 % strain, and then unloaded. This cycle was repeated twice. The samples were then finally loaded until fracture. The nominal strain rate in these experiments was set to 2.5 × 10−2 s−1. The dogbone samples were loaded and unloaded three times up to 8 % (as determined from the cross-head displacement) with two different nominal strain rates of (2.5 × 10−2 s−1 and 2.5 × 10−4 s−1). Finally, the optical strain measurement method was used in order to further analyze strain localization (i.e., formation of martensite bands) during pseudoelastic loading.
Microstructural Observations
Working with small samples does lead to a couple of practical challenges that are worth mentioning in this paper. We first discuss examples related to microstructural analysis methods. Microstructural characterization of small sample volumes typically enforces additional requirements for the measurement set-up. In most cases, the intensities of the physical signals are lower by orders of magnitude in comparison to measurements performed on conventional, larger samples. Due to the lower signal-to-noise ratio that is measured from small samples, it is typically necessary to use high-resolution techniques.
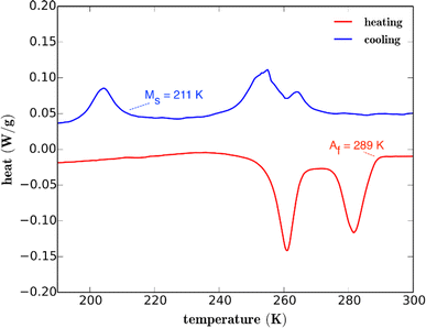
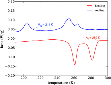
DSC curves measured in one cooling/heating cycle with an unpolished wire sample. The material exhibits a multiple-step transformation involving the R-phase both during cooling and heating. The austenite finish temperature is near room temperature
XRD and EBSD data of wires and dogbone samples: a phase analyses of investigated dogbone (blue), wire (red), and conventional drawn wire (green) with a diameter of 20 μm is shown in the X-ray diffractogram. All three samples show peaks that are related to B2 austenite (cubic phase, a = 3015 Å marked by the black dashed line). The drawn NiTi wire shows a significant (110) peak due to its processing history and texture, while the dogbone and wire data also show significant (100), (110), and (111) peaks. b The inverse pole figure map of a dogbone sample obtained by EBSD (viewing direction perpendicular to the loading direction; colors indicate grain orientation normal to the viewing plane) shows randomly oriented polycrystalline grains. The average size of the globular grains is about 5 μm
XRD measurements on small volumes are challenging also in the sense that individual peaks are more difficult to recognize with respect to low level noise. On the other hand, while XRD measurements with Cu-Kα radiation typically only penetrate the surface regions of large bulk samples (in NiTi: penetration depth of about 15 μm), the XRD data in our much smaller samples actually represent their entire volume. In Fig. 3a, we compare the XRD data for wire and dogbone samples. In addition, we present XRD data from a conventional pseudoelastic NiTi wire (produced by wire drawing, but with a comparably small diameter of 20 μm). The red line marks the intensities for different crystal planes of the B2 phase, determined with a lattice parameter of 3.015 Å. All characteristic peaks of the wire, as well as those of the dogbone sample, belong to the B2 phase and no additional peaks of Ti- or Ni-rich phases are observed. Due to the higher volume of the dogbone sample, the intensities for the characteristic crystal planes ((100), (110), (111)) are higher in comparison to the wire data (with smaller sample size). The XRD data from the drawn wire clearly indicate that there is a strong texture: only the (110) peak is pronounced, whereas the other peaks can hardly be observed. In contrast, the data for the PVD-processed samples do not indicate any specific texture.
SEM micrographs of wires with a cross section of 15 × 15 μm2 (loading direction left to right; growth direction bottom to top). a Typical surface condition of an unpolished wire with growth artifacts related to the deposition process. b The surface of the polished wire exhibits a lower roughness compared to the unpolished sample. The growing direction of the thin film cannot be observed on the surface, but some additional waviness occurs
Finally, given the small scale of the samples, surface features are likely to also have a pronounced effect on the mechanical behavior. In order to evaluate the surface conditions of our samples, we analyzed secondary electron micrographs. Figure 4a shows the surface of a wire sample prior to tensile testing. One can clearly observe a certain roughness related to columnar growth during the PVD process. These features are only observed on the surface, whereas our EBSD data clearly demonstrate that grains in the interior of the sample are globular. Electropolishing can be an effective method to remove these surface features; Fig. 4b shows an electropolished wire sample that has a closed, smooth, and homogeneous surface with no sputter artifacts (such as pores or columnar crystal growth that ends in domes on the surface). However, the electropolishing procedure typically results in a slight waviness of the surface that can also be observed in Fig. 4b and that needs to be considered when evaluating the mechanical behavior.
Tensile Testing
Stress–strain curves during pseudoelastic cycling (top), SEM micrographs of the fractured samples (center), and fracture surfaces (bottom) of unpolished (left) and polished samples (right). a, b Stress–strain curves of unpolished/polished wire samples, respectively. Three loading/unloading cycles were performed, the fourth cycle was loaded until fracture. The material response shows typical features of functional fatigue, as indicated by decreasing plateau stresses. c SEM micrograph of the unpolished wire after fracture. The white circle marks cracks on the sample surface that can be directly related to the thin film growing direction. d SEM micrograph of the polished wire after fracture. Because of the smoother surface condition after polishing, the fracture is more ductile. On the polished surface, the (plastic) deformation of individual grains, as well as traces from distinct martensite plates can be observed. e SEM micrograph of the fracture surface (top view) of the unpolished wire sample. f SEM micrograph of the fracture surface of the polished sample (tilted by about 90°). Locally, the sample has been subjected to a considerable amount of necking by ductile deformation, and the fracture surface shows strong evidence for ductile fracture
Figure 5 shows the stress–strain curves of two wire samples (unpolished surface: Fig. 5a; polished surface: Fig. 5b) that were cycled three times in the pseudoelastic range and then loaded until fracture (with a nominal strain rate of 2.5 × 10−2 s−1). In both cases, the stress–strain curves exhibit the well-known transformation characteristics: after elastic loading, the transformation stress is reached and first martensite is formed. With increasing strain, the volume fraction of martensite increases and this process is clearly indicated by the constant stress plateau. It is worth noting that at similar nominal strain rates, larger bulk samples typically tend to self-heating, which is associated with a finite slope of the loading plateau. For the small samples tested in the present study, the surface-to-bulk ratio allows for fast heat transfer to the environment and therefore the effects of thermo-mechanical coupling on the mechanical behavior are less pronounced even at relatively high (but still quasi-static) nominal strain rates.
In the first three cycles, we unloaded the samples before the end of the plateau (at strains of about 8 %) was reached. During unloading, the reverse transformation from stress-induced martensite to austenite is also associated with a distinct plateau (at a lower stress level than during loading). Both samples also exhibit what is commonly referred to as functional fatigue [13]: the plateau stresses (in particular during loading) decrease with increasing number of cycles; this process typically reaches a saturation after a relatively small number of cycles and therefore, the differences between cycles 3 and 4 are already almost negligible. Moreover, we hardly observe any residual strains after unloading. Note that, in the fourth cycle, when the samples are deformed to strains exceeding the maximum strain values of the previous cycles, stresses increases again to the initial plateau stress values. This effect is also well known from bulk sample testing and can be explained by the fact that further grains, which have not been subjected to the stress-induced martensitic transformation in the first cycles, are now forced to transform for the first time. Beyond the pseudoelastic plateau, the stress–strain curves clearly show elastic loading (and potentially additional deformation mechanisms, such as detwinning or reorientation) of martensite, until fracture occurs at about 14 % (for the unpolished sample) and 18 % (for the polished sample). In summary, despite the much smaller dimensions and the very different processing history of our samples, the PVD-processed materials exhibit excellent pseudoelastic behavior that compares very well with observations on conventional, bulk NiTi. This is particularly noteworthy since a much smaller number of grains is located in each cross section. The material also seems to be quite stable with respect to functional fatigue and it is likely that it can in principle be used for a large number of pseudoelastic cycles, as has for example been described by Quandt et al. [14].
In principle the unpolished and the polished samples show nearly the same pseudoelastic behavior; however, considering plateau stresses, there are small differences. The unpolished material shows a slightly higher plateau stress compared to the polished material. This effect can be explained by the waviness of the polished sample, where locally the outer dimensions of the cross section may well vary a little (but considerably less than one micron). Given the small total area of 15 μm by 15 μm of the nominal cross section (which is used to calculate engineering stresses), even these small local deviations result in distinct changes in terms of the calculated plateau stress values. Using nominal cross section values to calculate engineering stresses during small-scale testing clearly can introduce experimental errors that need to be taken into account when evaluating stress strain data qualitatively and quantitatively. However, we highlight that, in order to determine effective cross section values for stress calculations, the SEM needs to be used; this procedure again requires considerable care and more effort than handling larger conventional tensile samples, particularly when one considers that waviness leads to locally varying cross sections. Furthermore, the differences in terms of fracture strains can be related to the different surface conditions: polishing prevents early crack nucleation and therefore leads to larger fracture strains. In Fig. 5c, d, we present SEM micrographs from the samples after fracture. The unpolished sample exhibits a large number of parallel cracks on the surface, and it is reasonable to assume that these cracks (which result from the growth-related surface features) promote early fracture compared to the polished sample, where no such features are observed on the surface. Considering potential applications, electropolishing clearly is beneficial in eliminating critical sites for crack nucleation. Likewise, compared to the fracture surface of the unpolished sample (Fig. 5e), the fracture surface of the polished sample (Fig. 5f) seems to indicate a more ductile fracture that is also in line with the somewhat higher fracture strains.
Pseudoelastic stress–strain curve of a dogbone sample subjected to cyclic loading (strains determined by DIC). The full circle marks a slip event in the grips. The blue dashed line circle indicates the resulting difference between strains determined from cross-head displacement and true axial strains
Our experiments on the dogbone samples also revealed that, because of the larger cross sections, and because of the higher forces required for straining, more deformation occurred in the grips. Considering the critical strains for the onset of the martensitic transformation, we found that strain values determined directly from the cross-head displacements can be off by a factor of 3–4; only by using the DIC method, reliable strain data could be obtained. One additional advantage of the DIC measurements, particularly useful in studying NiTi-based shape memory alloys, is that they allow the direct and spatially resolved observation of localization phenomena. The formation of distinct martensite bands is often observed in bulk NiTi subjected to uniaxial tension, and it is often related to texture effects, e.g. [15]. In our untextured, small-scale dogbone samples, however, very similar effects could be observed as well. Figure 7 shows strain maps recorded during the first cycles of two experiments on dogbone samples at nominal strain rates of 2.5 × 10−4 s−1 and 2.5 × 10−2 s−1, respectively. We note that, because of localized transformation, local strain rates may differ by an order of magnitude from the nominal ones [16].
At the lower nominal strain rate (Fig. 7a), the strain maps clearly show propagation of a single martensite band along the free gage length. The first strain map (from left to right) was recorded during loading along the pseudoelastic plateau, and two distinct regions, corresponding to elastically strained austenite, and fully transformed martensite, can be distinguished. At this relatively slow strain rate, one single band was nucleated in the clamping region and stable propagation along the gage length was observed. This is an interesting observation because despite the much smaller number of grains per cross section, the localization behavior corresponds very closely to well-known observations in macro-scale samples, see e.g. [16]. The second strain map was recorded at stresses beyond the pseudoelastic plateau, where the material is fully martensitic, as indicated by the correspondingly high and homogeneously distributed strains. During subsequent unloading (third strain map), several austenitic regions were formed simultaneously; the reverse transformation proceeded by growth of these regions along the gage length and once it was completed, the sample was fully austenitic again (fourth strain map). Formation of several austenite bands also is a typical observation in macro-scale samples that have been strained beyond the end of the pseudoelastic plateau: during unloading, favorable conditions for austenite nucleation obviously exist throughout the gage length. This observation also demonstrates that the micro-scale samples studied here consist of a homogeneous microstructure.
Strain maps obtained by DIC during tensile loading and unloading (dogbone samples: 5 μm × 500 μm cross section, 5 mm gage length, average grain size 5 μm). The color-coded plots represent uniaxial tensile strain. a Pseudoelastic cycle with a nominal strain rate of 2.5 × 10−4 s−1. Observation of one martensite band moving through the sample gage length during: loading (left) up to homogeneous strains beyond the pseudoelastic plateau (second from the left); during subsequent unloading (second from the right) is associated with austenite nucleation in the gage length; final elastic unloading (right). b Pseudoelastic cycle with a higher nominal strain rate of 2.5 × 10−2 s−1. Due to the higher strain rate, more than one martensite band is formed during loading
Conclusions
-
Our study demonstrates the special significance of high-resolution equipment because small-scale testing is typically characterized by low signal-to-noise ratios.
-
Mechanical testing of small samples is associated with certain challenges; particularly, slip events in mechanical grips need to be taken into account.
-
Surface features related to the deposition process affect crack initiation and fracture behavior. Electropolishing can fully remove those artifacts, but it can lead to waviness, making it difficult to accurately determine cross section dimensions.
-
Optical methods, like DIC measurements, can be used to document local mechanical behavior. Our first results using this technique reveal that, while smaller samples may well be affected by surface effects or the effects of individual grains, the PVD-processed samples studied here actually exhibit very similar behavior in terms of stress–strain hysteresis and localized deformation compared to conventional bulk samples.
Notes
Acknowledgments
The authors would like to thank Acquandas, Germany, for providing the PVD materials and Rodrigo Lima de Miranda for many fruitful discussions.
References
- 1.Arzt E (1998) Size effects in materials due to microstructural and dimensional constraints: a comparative review. Acta Mater 46(16):5611–5626CrossRefGoogle Scholar
- 2.Norfleet DM, Sarosi PM, Manchiraju S, Wagner MF-X, Uchic MD, Anderson PM, Mills MJ (2009) Transformation-induced plasticity during pseudoelastic deformation in Ni-Ti microcrystals. Acta Mater 57(12):3549–3561CrossRefGoogle Scholar
- 3.Grossmann Ch, Frenzel J, Sampath V, Depka T, Oppenkowski A, Somsen Ch, Neuking K, Theisen W, Eggeler G (2008) Processing and property assessment of NiTi and NiTiCu shape memory actuator springs. Mater Werkst 39(8):499–510CrossRefGoogle Scholar
- 4.Frick CP, Ortega AM, Tyber J, Gall K, Maier HJ (2004) Multiscale structure and properties of cast and deformation processed polycrystalline NiTi shape-memory alloys. Metall Mater Trans A 35(7):2013–2025CrossRefGoogle Scholar
- 5.Quandt E, Halene C, Holleck H, Feit K, Kohl M, Schloβmacher P, Skokan A, Skrobanck KD (1996) Sputter deposition of TiNi, TiNiPd and TiPd films displaying the two-way shape-memory effect. Sens Actuators A 53(1–3):434–439CrossRefGoogle Scholar
- 6.Miyazaki S (2009) Thin film shape memory alloys electronic optoelectronic devices and nanotechnology. Cambridge University Press, CambridgeCrossRefGoogle Scholar
- 7.Loger K, Engel A, Haupt J, Li Q, Lima de Miranda R, Quandt E, Lutter G, Selhuber-Unkel C (2016) Cell adhesion on NiTi thin film sputter-deposited meshes. Mater Sci Eng 59:611–616CrossRefGoogle Scholar
- 8.Shaw JA, Kyriakides S (1995) Thermomechanical aspects of NiTi. J Mech Phys Solids 43(8):1243–1281CrossRefGoogle Scholar
- 9.Young ML, Wagner MF-X, Frenzel J, Schmahl WW, Eggeler G (2010) Phase volume fractions and strain measurements in an ultrafine-grained NiTi shape-memory alloy during tensile loading. Acta Mater 58(7):2344–2354CrossRefGoogle Scholar
- 10.Habijan T, De Miranda RL, Zamponi C, Quandt E, Greulich C, Schildhauer TA, Köller M (2012) The biocompatibility and mechanical properties of cylindrical NiTi thin films produced by magnetron sputtering. Mater Sci Eng 32(8):2523–2528CrossRefGoogle Scholar
- 11.Lima de Miranda R, Zamponi C, Quandt E (2013) Micropatterned freestanding superelastic TiNi films. Adv Eng Mater 15(1–2):66–69CrossRefGoogle Scholar
- 12.GOM. Gesellschaft f++r optische Messtechnik mbH ARAMIS v6.3.1 optical deformation analysis softwareGoogle Scholar
- 13.Eggeler G, Hornbogen E, Yawny A, Heckmann A, Wagner M (2004) Structural and functional fatigue of NiTi shape memory alloys. Mater Sci Eng 378(1–2):24–33CrossRefGoogle Scholar
- 14.Siekmeyer G, Schüßler A, Lima de Miranda R, Quandt E (2014) Comparison of the fatigue performance of commercially produced nitinol samples versus sputter-deposited nitinol. J Mater Eng Perform 23(7):2437–2445CrossRefGoogle Scholar
- 15.Sittner P, Liu Y, Novak V (2005) On the origin of Lüders-like deformation of NiTi shape memory alloys. J Mech Phys Solids 53(8):1719–1746CrossRefGoogle Scholar
- 16.Wagner MF-X, Schaefer A (2010) Macroscopic versus local strain rates during tensile testing of pseudoelastic NiTi. Scr Mater 63(8):863–866CrossRefGoogle Scholar






