Management of Congenital Toxoplasmosis
- 2.5k Downloads
- 10 Citations
Abstract
Prompt diagnosis and rapid initiation of medical treatment are critical for the best outcomes in infants with congenital toxoplasmosis. This is important for pregnant women, fetuses, and infants, including those with active retinitis and choroidal neovascular membranes. For hydrocephalus, prompt placement of a ventriculoperitoneal shunt is key for improved outcomes. Pyrimethamine and Sulfadiazine with Leucovorin are first-line medicines. For later recurrences of active retinitis, Azithromycin or Clindamycin are sometimes substituted for Sulfadiazine as second-line treatments, given with Pyramethamine. Following resolution of active retinitis, these medicines may be useful without Pyrimethamine for suppression and avoid the risk of hypersensitivity from Trimethoprim/Sulfamethoxazole. Antibody to VEGF, in conjunction with antimicrobial therapy, results in resolution of choroidal neovascular membranes. Serologic screening of seronegative pregnant women to detect primary infection during gestation, and facilitating medicine administration and thereby preventing or treating fetal infection, is an optimal, apparently cost-effective, means to reduce disease. Definitively curative medicines currently being developed likely will improve future management and outcomes of this disease.
Keywords
Congenital toxoplasmosis Toxoplasma gondii Improved outcomes Treatment Gestational screening Newborn toxoplasmosis managmentIntroduction
Gestational screening and treatment to improve outcomes. a Serologic screening for T. gondii infection during pregnancy an algorithm for early diagnosis of acquisition of T. gondii infection. For boxes shaded with blue, consult with high-risk maternal-fetal medicine. Adapted with permission from McLeod et al. [206, 207]. b Screening for toxoplasmosis throughout pregnancy. Diagram indicating when and how screening for T. gondii infection should occur, prenatally and 1 month after birth. Adapted with permission from McLeod et al. [206, 207]. c Amniocentesis to Detect Congenital T. gondii Infection. Relationship between percentage of pregnant women undergoing amniocentesis (open bars) and those with fetuses with congenital toxoplasmosis (filled bars) as a function of the gestational age at seroconversion. The inserted table indicates the sensitivity, specificity, and positive and negative predictive values of PCR analysis of samples obtained via amniocentesis as a function of trimester. Adapted with permission from Wallon et al. [119]. d Gestational age and its relationship to parasitemia. Relationship between the gestational age at the time of maternal infection with T. gondii and the magnitude of parasitemia (parasites/mL). Note early infection is correlated with more severe disease. Empty bars are indicative of subclinical infection, while filled bars represent symptomatic infection. Adapted with permission from Romand et al. [103]. e French algorithm and its impact on outcomes in congenital toxoplasmosis. Summary of outcomes for congenitally infected individuals. Adapted with permission from Mehta et al. [208]. f Impact of the french approach on likelihood of congenital infection with T. gondii. Impact of utilization of French algorithm on probability of fetal infection following gestational infection as a function of gestational age. In the Lyon Cohort, this approach to early screening/treatment was implemented in 1992, and, at that time, probability of fetal infection decreased. Accompanying table indicates both reduction in the risk of infection and of clinical signs of congenital Toxoplasma infection following changes in screening policy in 1992 and prenatal diagnosis and treatment in 1995. Adapted with permission from Wallon et al. [120]. g Impact of early detection/treatment on frequency of eye disease at 3 years of age. Kaplan–Meier plot depicting the impact of early diagnosis and treatment on the fraction of patients without eye disease. In patients with less than 4 weeks of delay between gestational infection and initiation of treatment (solid line) and with between four and 8 weeks of delay (dashed line), eye disease is much less common than for those patients with an interval of greater than eight weeks between infection and treatment (dotted line). Adapted with permission from Kieffer et al. [62]. h Conclusions regarding the outcomes of T. gondii infection in those infants with prenatal screening, diagnosis, and treatment. Adapted with permission from and McLeod et al. [207]. (I)—A Time and Treatment of T. gondii Infection Adapted with permission from McLeod et al. [206, 207]. (I)—B Effect of treatment on quality of life in congenital T. gondii infection impact of treatment within a study cohort on various measures of quality of life. Adapted with permission from McLeod et al. [206, 207]. (I)—C. Frequency of ophthalmologic and neurologic manifestations of congenital toxoplasmosis. Frequency of symptoms, especially ophthalmologic and neurologic symptoms, within a study cohort of patients with congenital T. gondii infection. Adapted with permission from McLeod et al. [206, 207]
Manifestations of congenital toxoplasmosis in infancy. a A1-Percentage of patients with specific manifestations of congenital T. gondii infection with several images of some of these manifestations. These include blueberry muffin rash (in this case, with congenital infection with cytomegalovirus, though the manifestation is the same in congenital toxoplasmosis), petechiae secondary to thrombocytopenia, and an infant born, prematurely, as a result of T. gondii infection. Adapted with permission from McLeod et al. [206, 207]. Data from McAuley et al. [71]. Image from Mehta et al. [208] and from http://www.nhlbi.nih.gov/health/health-topics/topics/itp/ with permission. A2-Approach and samples for the diagnosis of congenital T. gondii Infection. Diagnostic approaches to congenital toxoplasmosis in a newborn, including specific instructions regarding samples, shipment, and diagnostic procedures. Adapted with permission from McLeod et al. [206, 207]. b Ordering serologic testing for T. gondii from the U.S. Reference laboratory. An example of a completed order form for serological testing from a typical reference laboratory in order to diagnose a patient with suspected congenital infection with T. gondii. Adapted with permission from McLeod et al. [206, 207]. c Diagnostic testing for T. gondii Infection organized by sample type. Examples of the types of testing that can be used to diagnose congenital toxoplasmosis as a function of sample type. Adapted with permission from McLeod et al. [206, 207]. d Geography, genetic diversity, and disease manifestations in the U.S. T. gondii Population. Relationship between geography, genetic diversity, and disease manifestation in T. gondii in the Uni. Note the prevalence of different serotypes depending upon region, as well as the impact of genotype on severity. Genotype also shows some co-association with a variety of epidemiological factors. Adapted with permission from McLeod et al. [79]
Prevention, Diagnosis, and Treatment of Congenital Toxoplasmosis During Gestation
Adapted from McLeod et al. [207] , with permission
| Summary of laboratory findings in the diagnosis of toxoplasmosis |
|---|
| • Acute infection (e.g., Lymphadenitis) IgM and IgA serology are positive. Avidity is usually low. If avidity is high, this indicates an infection occurred >12–16 week earlier. A high avidity can be useful to date onset of the infection to longer than 12–16 week. Serial serum specimens at a 3-week interval can demonstrate seroconversion or a rising titer. |
| • Acute toxoplasmosis in pregnancy The serologic response is similar to that seen for other persons with acute T. gondii infection above; however, the issue for assessing the risk of disease transmission is determining if the infection occurred during or before pregnancy, as T. gondii-specific IgM can persist for months or years after the acute infection. Risk for transmission is considered to be present if the infection occurred during pregnancy. The use of IgG avidity (high in most chronic infections, see above), differential agglutination (AC/HS), and the presence of IgA and/or IgE antibodies (which disappear more quickly than IgM) can help determine the timing of the infection, whether an amniocentesis is indicated to identify congenital toxoplasmosis, or if use of medicines would be helpful |
| • Chronic infection IgM is negative and IgG is present. Antibody levels do not change with serial specimens. Avidity is high and AC/HS has a chronic pattern |
| • Reactivation of disease during immune-suppression (e.g., Toxoplasma encephalitis in HIV/AIDS) IgM is negative and IgG may be present. In some cases, there is no detectable serologic response to T. gondii. However, if clinical presentation is highly suspicious of infection in the absence of positive serologic results, CSF, blood, and possibly tissue samples should be obtained for diagnosis as indicated. While the sensitivity of PCR has been variable in this setting, if positive, PCR can be useful for diagnosis. In some clinical circumstances, presumptive treatment may be warranted |
| • Congenital toxoplasmosis For diagnosis in utero for a fetus of an acutely infected pregnant woman who appears to have acquired the infection during gestation, PCR of amniotic fluid and ultrasound imaging of the fetus are used to establish fetal infection. Newborns will be IgG positive, due to passage of maternal antibody across the placenta. Compatible clinical findings in an infant of an acutely infected mother or the presence of T. gondii-specific IgM or IgA in a newborn confirms the diagnosis of congenital infection. Serial serology with a stable or rising IgG titer can also confirm the diagnosis of congenital infection. An example of fall in T. gondii-specific antibody load is as follows: Open image in new window |
Guidelines for treatment of toxoplasmosis
| Clinical setting and manifestation | Treatment |
|---|---|
| • Acute, asymptomatic infection | The current standard of care is no treatment |
| • Acute infection with self-limited adenopathy, fever, or malaise in immune-competent persons | |
| • Latent, asymptomatic infection detected by positive serologic test | |
| • Severely symptomatic disease in immune-competent adults | • Pyrimethamineb, Sulfadiazined, and Leucovorin (folinic acid)b |
| • Laboratory infection with T. gondii tachyzoites | |
| •Active disease in immune-compromised persons | |
| • In pregnant women infected during gestation: | |
| • First 18 weeks’ gestation, or until term, if fetus found not to be infected by amniocentesis at 18 weeks’ gestation and to have no clinical findings | • Spiramycina |
| • If fetal infection confirmed or if infection acquired after 24 weeks’ gestation | • Pyrimethamineb *, Sulfadiazined, and Leucovorin (folinic acid}b |
| * Do NOT use Pyrimethamine in the first 14 week of gestation | |
| • Congenital T. gondii infection in infant | • Pyrimethamineb, c, Sulfadiazined, and Leucovorin (folinic acid)b |
| • Occasionally corticosteroids (prednisone)e have been used when CSF protein is ≥1 g/dL or when active chorioretinitis threatens vision | |
| • Active chorioretinitis in older children and adults | • Pyrimethamineb, Sulfadiazined, and Leucovorin (folinic acid)b |
| • Corticosteriods (prednisone)e if macula or posterior pole is involved or vitritis threatens vision | |
| • Active choroidal neovascular membrane due to T. gondii infectionf | • Pyrimethamineb, Sulfadiazined, and Leucovorin (folinic acid)b |
| • Lucentis (antibody to VEGF) used as in algorithm’ below Open image in new window |
Treatment of congenital toxoplasmosis. a Instructions for the preparation, administration, and storage of Pyrimethamine, Sulfadiazine, and Leucovorin. Adapted with permission from McLeod et al. [206, 207]. b Administration of these medicines in management of congenital T. gondii infection in the first year of life. Adapted with permission from McLeod et al. [206, 207]. c Pyrimethamine: pharmacokinetics and consequences of its use pharmacokinetics of Pyrimethamine, as well as potential toxic effects of the medicine. Hypersensitivity secondary to Sulfadiazine. Adapted with permission from McLeod et al. [206, 207]
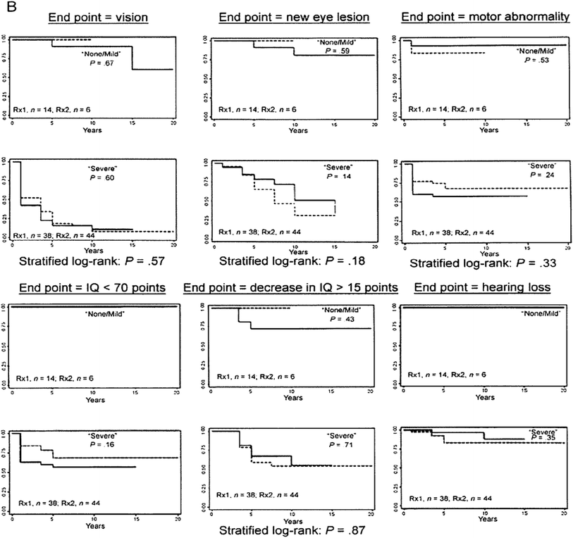
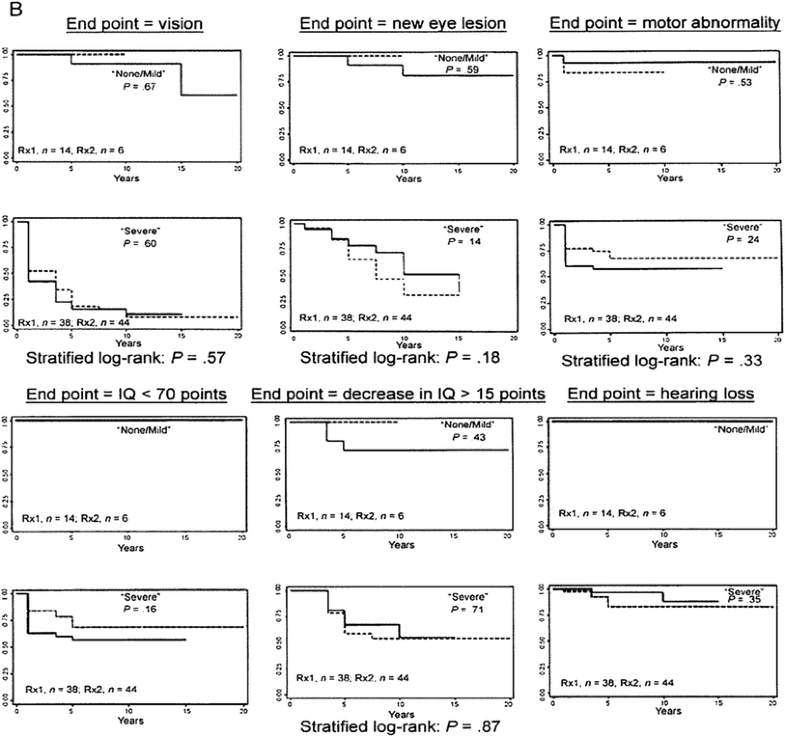
Manifestations of congenital toxoplasmosis and outcomes of treatment. a Neurologic manifestations of congenital toxoplasmosis and response to treatment. Brain CT images depicting the impact of proper shunt placement and treatment of congenital toxoplasmosis on the course of hydrocephalus secondary to T. gondii infection. Adapted with permission from McLeod et al. [207]. b Congenital toxoplasmosis, its impact on the retina, and the effect of treatment on eye lesions. Effect of treatment on the recurrence of eye lesions secondary to T. gondii infection, with increased frequency of occurrence at entrance into school and at adolescence. c Response of active eye lesions to treatment. Treatment of eye lesions leads to resolution of overlying vitritis, hazy margins and sharp demarcation and hyperpigmented lesions. d Choroidal neovascular lesions and their response to anti-T.gondii treatment and antibody to VEGF. The first image is a patient with choroidal neovascular membrane and the resultant resolution with treatment. Note the presence of blood and subretinal fluid, which decreases following treatment with appropriate therapy. Adapted with permission from Benevento, McLeod et al. [206, 207]. Additional choroidal neovascular membranes and their response to treatment in additional patients. The impact of prompt, appropriate treatment of choroidal neovascular membranes in a series of patients. Evidence of bleeding decreases, as does the presence of subretinal fluid in these patients. Adapted with permission from Benevento, McLeod et al. [206]. e Literature outcomes in congenital toxoplasmosis and outcomes in the NCCCTS cohort. A comparison of frequency of outcomes as reported by literature and within the National Collaborative Chicago-based Congenital Toxoplasmosis Study cohort. Note the dramatic decreases in the frequency of outcomes in this particular cohort relative to literature sources. This is true for many outcomes, including IQ, motor function, retinal lesions, and central nervous system manifestations. Adapted with permission from McLeod et al. [206, 207]. f The treatment of congenital toxoplasmosis, in utero, and outcomes due to this early treatment. The impact of treatment, in utero, on the frequency of disease manifestation in congenital T. gondii infection. Note the increased frequency of most disease manifestations without the initiation of treatment, in utero. Adapted with permission from and McLeod et al. [207]. g Parasite serotype and its relationship to treatment efficacy. Tabular representation of the impact of parasite type on outcomes in treated patients. Postnatal treatment was effective (i.e., improved outcomes) in both type II and type NE-II parasites, indicating that both respond to treatment. Adapted with permission from and McLeod et al. [207]. h Outcomes in NCCCTS cohort compared to the literature. Data indicating improved outcomes in treated patients over preexisting literature data on pre-established endpoints, including neurologic outcomes, reductions in IQ, worsened vision, new retinal lesions, and hearing loss. Adapted with permission from McLeod et al. [206, 207]. (I) Dosage of Pyrimethamine and its Impact on Treatment Outcomes. Kaplan–Meier plots indicating no significant differences in outcomes between two treatment arms receiving higher doses of Pyrimethamine versus lower doses. In practice, infants with less severe manifestations often receive the lower dose of Pyrimethamine, though with severe disease often are still treated with higher doses. Adapted with permission from McLeod et al. [206, 207]
Diagnosis of the Newborn Infant
This can be accomplished by recognition of clinical findings compatible with the congenital infection in the infant of an acutely infected mother (Table 1, Fig. 2). Typical clinical findings include prematurity, intrauterine growth retardation, being small for gestational age, “rule out sepsis,” blueberry muffin rash, petechiae, hepatitis, splenomegaly, hepatomegaly, anemia, leukopenia, thrombocytopenia, abnormal cerebrospinal fluid cells, protein, or glucose, IgM specific for T. gondii or cerebrospinal fluid with T. gondii-specific DNA present demonstrated by PCR, intracerebral calcifications, microcephalus, hydrocephalus, chorioretinal scars or choroiditis and vitritis, vitreal veils, uveitis, and cataracts. Diagnosis may be confirmed by isolation of T. gondii from placenta or peripheral blood buffy coat [95], demonstration of T. gondii by PCR of placenta, or serologic testing with the demonstration of T. gondii-specific IgM or IgA. These antibodies are present in only approximately 70 % of infected babies. Images depicting some of these findings, and their improvement with treatment, are shown in Figs. 2, 3, 4. In general, disease manifestations among untreated infants are more severe when infection is acquired earlier in pregnancy and less severe when acquired later in gestation, although parasite and host genetics play a major role in outcomes as well [77, 121••,122, 123••, 124, 125, 126, 127, 128, 129•, 130•, 131, 132, 133••, 134••, 135•, 136•, 137, 138, 139, 140, 141•, 142, 143, 144, 145, 146, 147]. There appear to be four primary genetic parasite types in the USA. Type 2 parasites, similar to those in Europe, also are present in the USA. There is less severe disease and risk of prematurity in those with Type 2 infection, although there is not a complete correlation between parasite type and severity of congenital infection. The inoculum size of ingested parasites, including acquisition of oocysts and contaminated meat in epidemic settings, likely also play a role in outcomes [148] Obstructive hydrocephalus due to obstruction of the Aqueduct of Sylvius results in third ventricular dilatation. This pattern of hydrocephalus may be associated with cerebrospinal fluid protein levels of >1 g/dL. Obstruction of the Foramen of Monroe can lead to unilateral or bilateral ventricular dilatation. Hydrocephalus can also occur without anatomic obstruction of CSF circulation. For example, communicating hydrocephalus, which may be due to loss of brain parenchyma, or hydrocephalus associated with poor reabsorption of cerebrospinal fluid, presumably due to a fibrotic process, can occur. This latter pathogenesis is apparently similar to that seen in normal pressure hydrocephalus in adults. All patterns of hydrocephalus can benefit from shunt placement (Hutson, McLeod, McLone, Frim, et al., in preparation 2014);the prognosis is guarded if a shunt is not placed or placement is delayed when necessary.
Treatment of the Infant from Birth to 1 year of Age with Pyrimethamine, Sulfadiazine, and Leucovorin
Treatment with Pyrimethamine (1 mg/kg/day, beginning on the third day following a loading dose of 1 mg/kg b.i.d. for 2 days), Sulfadiazine (50 mg/kg b.i.d.), and Leucovorin (5–10 mg per dose daily or Monday, Wednesday, Friday depending on weight and neutrophil count) from birth to 1 year of age appears to result in much more favorable outcomes than reported for untreated infants earlier [52, 69, 70•, 71, 72, 73, 74, 75, 76, 77, 78, 79••, 80••, 81••, 121••, 207]. Typical presenting signs and symptoms, preparation, administration, and monitoring of this treatment and outcomes are summarized in Figs. 2 and 3. Infants are weighed weekly and medications, made fresh each week, are dosed based on increasing weight each week. Signs of active infection and neurologic outcomes appear to be improved relative to those reported in earlier decades without treatment. Signs of active infection appear to resolve early (in weeks) during treatment. Neutrophil counts should be measured via heel prick with only 0.3 mL of blood collected in a tube for a pediatric complete blood count each Monday and Thursday while taking Pyrimethamine and in the week after this regimen is discontinued. See Table 1 and Fig. 3. Most children have an absolute neutrophil count ~900–1,200 neutrophils/mm3 during this year of treatment. Leucovorin can be increased to 10–20 mg daily if needed. Pyrimethamine is changed from daily administration to Monday, Wednesday, and Friday dosing after 2 or 6 months. A randomized study did not demonstrate different outcomes with these two dosing schedules for children followed to 15 years of age [74]. Thus, with milder infections, 2 months of daily treatment is often utilized. In cases with more severe initial disease, 6 months of daily treatment is utilized. Leucovorin is continued for a week after Pyrimethamine is discontinued due to the long half-life of Pyrimethamine with its attendant myelosuppressive effects. Care is taken to make certain that the baby’s teeth are cleaned after medicine administration because of the sugar-suspending agents leading to the development of dental carries. When neutrophil count is less than 1000 neutrophils/mm3, a manual differential counting 500 white blood cells is performed to improve accuracy. With neutrophil counts less than 700-1000 neutrophils/mm3, Leucovorin dosage may be increased to a maximum of 20 mg per day. With less than or equal to 600 neutrophils/mm3, Pyramethamine and Sulfadiazine are withheld, and Leucovorin continued. These medicines are held until neutrophil count is greater than 1000 neutrophils/mm3.
Steroid Treatment
Based on early data from France, Prednisone (1 mg/kg/day) is given for a short time with end points being until active vitritis threatening the posterior pole (fovea and optic nerve) of the eye resolves, or when CSF protein declines below 1 g/dL if it is initially >1 g/dL. Steroids are begun after loading doses of Pyrimethamine with Sulfadiazine have been administered. There have been no randomized controlled studies to demonstrate whether such treatment with Prednisone improves outcomes.
Approach to Cerebral Ventricular Enlargement
Hydrocephalus due to congenital toxoplasmosis is treated with ventriculoperitoneal shunting. It is not clear from initial neuroimaging studies which children will benefit most from aggressive CSF drainage. This question is further confounded by the observation that despite progressive ventricular dilatation and cortical compression, measured CSF pressures may remain low (Hutson, McLeod, McLone, Frim, et al. in preparation, 96). Thus, it is imperative to proceed as though all children with hydrocephalus would benefit from CSF shunting as early drainage can promote cortical reconstitution and remarkably good functional outcomes. One recent advance in neuroimaging for following hydrocephalus and/or shunt function is a two sequence, 45-s magnetic resonance imaging (MRI) study of the brain, which does not require sedation or contrast administration. This can be used to follow the progress of ventricular dilatation or the correction of hydrocephalus in a manner that is easy and comfortable for both parent and child. There are two sequences, collectively referred to as “brain shunt hydrocephalus screen” in some US hospitals. These two sequences are T2 axial and coronal single shots with images at 3-mm intervals.
Delays in shunt placement have been associated with less favorable outcomes [96]. Endoscopic third ventriculocisternostomy (ETV) frequently fails as a treatment for aqueductal obstruction causing hydrocephalus in this disease [96] and should not be used [96]. A possible cause of this failure of ETV is entry of inflammatory CSF into the subarachnoid space, resulting in adhesions and inadequate CSF absorption. It is not uncommon for children to have cortical expansion and restoration of normal ventricular volume and neurologic function (Fig. 4). High CSF protein and diabetes insipidus have been linked to less favorable outcomes, but this is not absolute.
Seizures and other Neurologic Findings Early in Infancy and Later
Seizures due to T. gondii have been treated effectively with Levetiracetam (Keppra®). In contrast to Phenobarbital, this anti-epileptic does not induce hepatic enzymes that degrade Pyrimethamine. It does not displace Sulfadiazine binding from albumin, as Phenytoin (Dilantin®) does, nor does it trigger the bone marrow toxicity associated with Carbamazepine (Tegretol®). It has less sedative hypnotic type effects than certain other anti-epileptic medicines. In some cases, intractable myoclonic seizures associated with recurrent central nervous system disease responded to ketogenic diet therapy (McLeod, Swisher, Hood, Heydemann, et al. in preparation). In some cases, treatment of the acute encephalitic findings caused by active T. gondii in the perinatal period, with Pyrimethamine and Sulfadiazine, has made it possible to discontinue anti-epileptic medicine without recurrence of seizures upon their discontinuation. It is not common to develop progressive and/or recrudescent central nervous system disease in treated children, but it can occur and may present as new seizures (McLeod et al., in preparation, 2014). Serum, CSF, neuroimaging, and biomarkers indicate that this is secondary to active central nervous system disease and parasite proliferation (McLeod et al. in preparation 2014).
Earlier studies [4, 64, 65] suggested recurrent and/or progressive disease occurred in untreated children. To date, relapsing central nervous system infection is uncommon in treated children in the National Collaborative Chicago-Based Congenital Toxoplasmosis Study (NCCCTS), which encompassed most of the clinical experience based on direct observation in a single center longitudinal study in North America from 1981 to the present. The incidence and extent of unrecognized CNS sequelae [148, 149••, 150••, 151, 152••, 153, 154, 155, 156, 157, 158•, 159, 160, 161] in postnatally or congenitally infected children remain to be determined.
Recrudescent Eye Disease and Management of Active Retinitis After the First Year of Life
Retinal disease due to T. gondii becomes quiescent with treatment in the first year of life [162, 163, 164, 165••, 166••, 167, 168], with fewer recurrences in promptly treated children than for those referred after the first year of life (Fig. 4). Recurrence occurs most frequently at the age of school entry, in puberty and adolescence (Fig. 4), and in the presence of substantial stress (e.g., bereavement, surgery, or trauma). Pyrimethamine, Sulfadiazine, and Leucovorin are used in retreatment (Table 2). Active infection in all parts of the retina require therapy; prompt therapy is associated with more rapid lesion resolution. Treatment is continued for several weeks after the borders of the lesions become sharply demarcated and the edges pigmented (Fig. 4). This often occurs within a few weeks after initiating treatment. If there is hypersensitivity to sulfonamides, Azithromycin is offered instead of Sulfadiazine. Azithromycin suppressive therapy has been utilized successfully in patients with recurrent chorioretinitis following resolution of active disease, particularly when recurrence of lesions is vision threatening. Although TMP–SMX successfully suppressed recurrences in a series in Sao Paulo, Brazil [168], it had an unacceptably high incidence of hypersensitivity. TMP/SMX suppression may lead to sulfonamide hypersensitivity and appears to be less efficacious than Pyrimethamine plus Sulfadiazine treatment, likely due to suboptimal TMP/SMX dose ratios and lesser efficacy of TMP than Pyrimethamine and SMX than Sulfadiazine. The optimal duration of prophylaxis to prevent the loss of vision or frequently recurring retinal disease has not been determined.
Choroidal Neovascular Membranes
Choroidal neovascular membranes (CNVM) [169, 170, 171•] occur rarely as a complication of chorioretinal disease due to T. gondii infection. Diagnosis is determined by clinical examination with the findings of subretinal blood or fluid, leaky vasculature visualized by fluorescein angiography and ocular coherence tomography (OCT). Infection with T. gondii drives increased expression of hypoxia-inducible factor 1-α (HIF1-α), which leads to increased levels of vascular endothelial growth factor (VEGF) transcription. VEGF promotes the growth of new blood vessels. Infiltration of vasculature arising from the choroid disrupts Bruch’s membrane, causing retinal scars. Fluid accumulates in the subretinal space. Hemorrhage can result from new, leaky blood vessels with resultant sudden loss of vision. This pathologic process can be abrogated by antibodies against VEGF. Ranibizumab (Lucentis®), in conjunction with standard anti-parasitic therapies, has been used. Bevacizumab (Avastin®) treated persons also had improved outcomes with CNVM due to toxoplasmosis. These α-VEGF medicines are injected intravitreally. Dosages can be found in Table 2. Infants have received α-VEGF safely for retinopathy of prematurity, but we are unaware of their use for CNVM due to T. gondii [170]. The recommended form of management for this complication is α-VEGF, in combination with anti-parasitic medications. This regimen has been effective in persons with CNVM due to T. gondii. Photodynamic therapy has also been reported to have efficacy [169, 170, 171•].
Implications of Congenital Infection for Family Members and Those who Share Risk Factors for Acquisition of Infection
Acquisition of T. gondii infection by multiple family members due to common exposures is not infrequent. Thus, it is reasonable to determine whether other family members were also acutely infected at the time a pregnant woman has acquired infection or a congenitally infected baby is born. Because retinal disease may occur in up to 10 % of mothers of infected babies and may occur in family members who could benefit from treatment, it may be prudent to also test other family members of infected babies [172, 173].
Prognosis
Many children born with congenital toxoplasmosis who are treated in utero and throughout the first year of life have normal cognitive development and function well, being able to continue on to university and having families of their own. There is more retinal disease among children born in the USA who missed being treated in utero and appears to occur more often in those who were not diagnosed and treated in the first year of life. There is a gradation in outcomes from severe impairment to completely functional children and young adults, both with and without treatment in the first year of life. It appears that outcomes with treatment for those who are born with moderate or severe involvement at birth are markedly better than that reported in the older literature for those who were not treated or treated for only 1 month [43, 44, 62, 64, 65, 69, 81••]. Approximately 70 % of children who had generalized systemic or neurologic manifestations and thus would have been expected to have severe disability have done well. Interestingly, for treated children, intracerebral calcifications may resolve partially or completely during the first year of life [90]. However, there may also be significant impairment. Severe involvement may impact quality of life when treatment is started too late to effect a markedly improved outcome [174].
The Future
At the present time, there is a substantial need for less toxic, improved medicines for tachyzoites and medicines effective against encysted bradyzoites [175, 176, 177, 178, 179, 180, 181••, 182, 183, 184, 185••, 186•, 187, 188, 189], as well as an effective vaccine [190•, 191•, 192•, 193•, 194, 195, 205]. There are robust efforts to develop such agents, with recent successes in developing compounds that eliminate bradyzoites and reduce toxicity of treatment of the active infection. These advances are likely to lead to improved approaches to treatments and outcomes for this infection in the near future. Prenatal screening [61, 62, 95, 107] is another significant advance that likely will occur in the USA during the next decade and result in decreased congenital toxoplasmosis and reduce costs for care [120••, 202•]. Additional insights into pathogenesis are also arising from new genetic studies and associations of ocular disease with unusual parasite types [200•, 201•, 202•, 203•]. Live vaccines can now prevent infections in animal models [203•] and translation of the protective mechanisms to non-live reagents and to clinical use through immuno-sense [194], approaches may offer substantial advances. Whether there is clear cause and effect for congenital toxoplasmosis leading to other neurobehavioral diseases remains to be determined [196, 197, 198•, 199•, 201•]; although it is not evident in the US cohort of families followed from 1981 to the present.
Conclusions
Effective management requires recognition of infection early during its pathogenesis to lessen the significant impact of congenital toxoplasmosis on long-term health. Prevention through detection of T. gondii infection in the pregnant woman facilitates treatment and is critical for optimal management. Treatment is initiated following detection of acute T. gondii infection in the pregnant woman through serologic testing or in the fetus due to clinical findings and confirmed by amniocentesis. Spiramycin is used to prevent infection early in fetal development. Later in development, in infancy, or in patients with recurrent eye disease, treatment is with Pyrimethamine with Leucovorin and Sulfadiazine. The earlier the treatment is offered in each clinical setting, the more likely disease will be arrested and outcomes improved. This approach to early treatment also applies to ventricular shunting for hydrocephalus. Seizures respond to anti-parasitic and anti-epileptic medications. Choroidal neovascular membranes secondary to T. gondii infection respond to treatment with α-VEGF and anti-parasitic medicines. New medicines with less toxicity and hypersensitivity, and improved efficacy by targeting the latent stage of the parasite, will change the management of this disease markedly in the future. For the first time, there appear to be promising candidate compounds in development with these properties. Similarly, there is promise in recent work for vaccine development. Neither new medicines nor vaccines are in clinical trials at this time.
Notes
Acknowledgments
We gratefully acknowledge the support of NIH R01 DMID AI 27530, the Mann and Cornwell Family, the Morel Family, the Rooney Alden Family, The Engel family, The Samuel family and friends, The Pritzker family, The Harris family, The Mussilami Family, and the Hyatt Hotels Foundation. We are grateful for the many patients and physicians who have worked with us in the NCCCTS and have helped us to learn how to manage this infection.
References
Papers of particular interest, published recently, have been highlighted as: • Of importance •• Of major importance
- 1.Wolf A, Cowen D, Paige BH. Toxoplasmic encephalomyelitis III. A new case of ganulomatous encephalitis due to a protozoon. Am J Pathol. 1939;15:657–94.PubMedCentralPubMedGoogle Scholar
- 2.Sabin AB. Toxoplasmic encephalitis in children. J Am Med Assoc. 1941;116:801–7.Google Scholar
- 3.Ajzenberg D. High burden of congenital toxoplasmosis in the United States: the strain hypothesis? Clin Infect Dis. 2012;54(11):1606–7.PubMedGoogle Scholar
- 4.Alford C Jr, Stagno S, Reynolds DW. Congenital toxoplasmosis: clinical, laboratory, and therapeutic considerations, with special reference to subclinical disease. Bull N Y Acad Med. 1974;50:160–81.PubMedCentralPubMedGoogle Scholar
- 5.• Andrade GM, Vasconcelos-Santos DV, Carellos EV, Romanelli RM, Vitor RW, Carneiro AC, Januario JN. Congenital toxoplasmosis from a chronically infected woman with reactivation of retinochoroiditis during pregnancy. J Pediatr (Rio J). 2012;86(1):85–8. In Belo Horizonte, a prégnant woman who was chronically infected developed réactivation of retinochoroiditis and transmitted the infection to her fetus. Google Scholar
- 6.Avelino MM, Amaral WN, Rodrigues IM, et al. Congenital toxoplasmosis and prenatal care state programs. BMC Infect Dis. 2014;14:33.PubMedCentralPubMedGoogle Scholar
- 7.Beghetto E, Buffolano W, Spadoni A, del Pezza M, di Cristina M, Minenkova O, Petersen E, Felici F, Gargano N. Diagnosis of primary T. gondii infection in pregnancy by an IgG avidity assay based on recombinant antigens. J Clin Microbiol. 2003;41:5414–8.PubMedCentralPubMedGoogle Scholar
- 8.Ben abdallah R, Siala E, Bouafsoun A, et al. Toxoplasmosis mother-to-child screening: study of cases followed in the Pasteur Institute of Tunis (2007–2010). Bull Soc Pathol Exot. 2013;106(2):108–12.PubMedGoogle Scholar
- 9.Beraud L, Rabilloud M, Fleury J, Wallon M, Peyron F. Congenital toxoplasmosis: long-term ophthalmologic follow-up praised by patients. J Fr Ophtalmol. 2013;36(6):494–8.PubMedGoogle Scholar
- 10.Berrebi A, Bardou M, Bessieres M, et al. Outcome for children infected with congenital toxoplasmosis in the first trimester and with normal ultrasound findings: a study of 36 cases. Eur J Obstet Gynaecol Reprod Bio. 2007;135:53–7.Google Scholar
- 11.Binquet C, Wallon M, Quantin C, Kodjikian L, Garweg J, Fleury J, Peyron F, Abrahomawicz M. Prognostic factors for the long-term development of ocular lesions in 327 children with congenital toxoplasmosis. Epidemiol Infect. 2003;131:1157–68.PubMedCentralPubMedGoogle Scholar
- 12.Boyer KM, Holfels E, Roizen N, et al. Risk factors for Toxoplasma gondii infection in mothers of infants with congenital toxoplasmosis: implications for prenatal management and screening. Am J Obstet Gynecol. 2005;192:564–71.PubMedGoogle Scholar
- 13.Brezin AP, Thulliez P, Couvreur J, et al. Ophthalmic outcome after prenatal and postnatal treatment of congenital toxoplasmosis. Am J Ophthalmol. 2003;138:779–84.Google Scholar
- 14.Bricker-Hildalgo H, Brenier-Pinchart MP, Schaal JP, et al. Value of Toxoplasma gondii detection in one hundred thirty-three placentas for the diagnosis of congenital toxoplasmosis. Pediatr Infect Dis J. 2007;26:845–6.Google Scholar
- 15.Buffolano W, Beghetto E, Del Pezzo M, Spadoni A, Di Cristina M, Petersen E, Gargano N, (Submitted). Neonatal diagnosis of congenital toxoplasmosis using an enzyme-linked IgM capture assay with a combination of recombinant antigens.Google Scholar
- 16.Burg JL, Perelman L, Kasper LH, Ware PL, Boothroyd JC. Molecular analysis of the gene encoding the major surface antigen of Toxoplasma gondii. J. Immunol. 1988;141:3584–91.PubMedGoogle Scholar
- 17.•• Burrowes D, Boyer K, Swisher CN, et al. Spinal cord lesions in Congenital Toxoplasmosis demonstrated with neuroimaging, including their successful treatment in an adult. J Neuroparasitology. 2012;3(2012):1–15. Spinal cord T2 weighted abnormalities on MRI caused neurologic symptoms for a middle aged congenitally infected person. These symptoms and signs resolved with treatment for her Toxoplasma. Google Scholar
- 18.Chapey E, Wallon M, Debize G, Rabilloud M, Peyron F. Diagnosis of congenital toxoplasmosis by using a whole-blood gamma interferon release assay. J Clin Microbiol. 2010;48(1):41–5.PubMedCentralPubMedGoogle Scholar
- 19.Chiang E, Goldstein DA, Shapiro MJ, Mets MB. Branch retinal artery occlusion caused by toxoplasmosis in an adolescent. Case Report Ophthalmol. 2012;3(3):333–8.Google Scholar
- 20.Cinalli G, Sainte-Rose C, Chumas P, et al. Failure of third ventriculostomy in the treatment of aqueductal stenosis in children. Neurosurg Focus. 1999;6(4):e3.PubMedGoogle Scholar
- 21.Cortina-Borja M, Tan HK, Wallon M, et al. Prenatal treatment for serious neurological sequelae of congenital toxoplasmosis: an observational prospective cohort study. PLoS Med. 2010;7(10):1–11.Google Scholar
- 22.•• Costa JG, Carneiro AC, Tavares AT, et al. Real-time PCR as a prognostic tool for human congenital toxoplasmosis. J Clin Microbiol. 2013;51(8):2766–8. Increased amniotic fluid parasite burden detected by real time qPCR is associated with worse pognosis. Google Scholar
- 23.Couvreur J. Étude de la toxoplasmose congenitale à propo de 20 observation. Paris: These; 1955.Google Scholar
- 24.Couvreur J, Desmonts G. Congenital and maternal toxoplasmosis. A review of 300 cases. Develop. Med. Chld. Neurol. 1962;4:519–30.Google Scholar
- 25.Couvreur J, Desmonts G, Late evolutive outbreaks of congenital toxoplasmosis. Cah Coll Med Hop Paris. 1964;115:752–8, French.Google Scholar
- 26.Couvreur J, Desmonts G, Girre JY. Congenital toxoplasmosis in twins: a series of 14 pairs of twins: absence of infection in one twin in two pairs. J Pediatr. 1976;89(2):235–40.PubMedGoogle Scholar
- 27.Couvreur J, Desmonts G, Aron-Rosa D. Le prognostic oculare de la toxoplasmose congenitale: role du traitement. Ann Pediatr. 1984;31(10):855–858.Google Scholar
- 28.Couvreur J, Desmonts G, Thulliez P. Prophylaxis of congenital toxoplasmosis. Effects of spiramycin on placental infection. J Antimicrob Chemother. 1988;22:193–200.PubMedGoogle Scholar
- 29.Couvreur J, Thulliez P, Daffos F, Aufrant C, Bompard Y, Gesquiere A, Desmonts G. In utero treatment of toxoplasmic fetopathy with the combination Pyrimethamine–Sulfadiazine. Fetal Diagn Ther. 1993;8(1):45–50.PubMedGoogle Scholar
- 30.Couvreur J, Thulliez P. Acquired toxoplasmosis with ocular or neurologic involvement. Presse Med. 1996;25:438–42.PubMedGoogle Scholar
- 31.Daffos F, Forestier F, Capella-Pavlovsky M, et al. Prenatal management of 746 pregnancies at risk for congenital toxoplasmosis. N Engl J Medicine. 1988;318:271–5.Google Scholar
- 32.Dannemann BR, Vaughan WC, Thulliez P, Remington JS. Differential agglutination test for diagnosis of recently acquired infection with Toxoplasma gondii. J Clin Microbiol. 1990;28:1928–33.PubMedCentralPubMedGoogle Scholar
- 33.Decoster A, Darcy F, Caron A, Vinatier D, Houze de L’Aulnoit D, Vittu G, Niel G, Heyer F, Lecolier B, Delcroix M. Anti-P30 IgA antibodies as prenatal markers of congenital toxoplasma infection. Clin Exp Immunol. 1992;87:310–5.PubMedCentralPubMedGoogle Scholar
- 34.Delair E, Monnet D, Grabar S, Dupouy-Camet J, Yera H, Brezin AP. Respective rôles of acquired and congénital infections in presumed ocular toxoplasmosis. Am J Ophthalmol. 2008;146(6):851–5.PubMedGoogle Scholar
- 35.•• Delair E, Latkany P, Noble AG, et al. Clinical manifestations of ocular toxoplasmosis. Ocul Immunol Inflamm. 2011;19(2):91–102. In depth, state of the art, description of ocular toxoplasmosis and its treatment. Severe toxoplasmosis occurs in Guyana. Google Scholar
- 36.Desmonts G, Couvreur J. Toxoplasmosis in pregnancy and its transmission to the fetus. Bull N Y Acad Med. 1974;50:146–59.PubMedCentralPubMedGoogle Scholar
- 37.• Lago EG, Oliveira AP, Bender AL, Presence and duration of anti-Toxoplasma gondii immunoglobulin M in infants with congenital toxoplasmosis. J Pediatr (Rio J). [Epub ahead of print] 2014; IgM specific for T. gondii is useful for diagnosis of congenital toxoplasmosis in Porto Allegre but this test is not sensitive enough to be completely effective in making this diagnosis.Utility and limitations discussed in accompanying editorial by McLeod. Google Scholar
- 38.Desmonts G, Couvreur J. Congenital toxoplasmosis: a prospective study of the offspring of 542 women who acquired toxoplasmosis during pregnancy. In: Thalhammer, O., Pollak, A., Baumgarten, K., Eds. Pathophysiology of congenital disease: perinatal medicine, 6th European Congress, Vienna. Stuttgart Georg Thieme Publishers; 1979, pp. 51–60.Google Scholar
- 39.Desmonts G, Remington JS. Direct agglutination test for diagnosis of Toxoplasma infection: method for increasing sensitivity. J Clin Microbiol. 1980;11:562–8.PubMedCentralPubMedGoogle Scholar
- 40.Desmonts G. Acquired toxoplasmosis in pregnant women. Evaluation of the frequency of transmission of Toxoplasma and of congenital toxoplasmosis. Lyon Medical. 1982;248:115–23.Google Scholar
- 41.Desmonts G, Couvreur J. Congenital toxoplasmosis. Prospective study of the outcome of pregnancy in 542 women with toxoplasmosis acquired during pregnancy. Ann Pediatr (Paris). 1984;31:805–9.PubMedGoogle Scholar
- 42.•• De souza-e-silva CH, Vasconcelos-santos DV, De Andrade GQ, et al. Association between IgG subclasses against Toxoplasma gondii and clinical signs in newborns with congenital toxoplasmosis. Pediatr Infect Dis J. 2013;32(1):13-6. IgG subclass of antibody to T. gondii associates with clinical signs in newborns with congenital toxoplasmosis in Brazil. Google Scholar
- 43.Dorfman RF, Remington JS. Value of lymph-node biopsy in the diagnosis of acute toxoplasmosis. N Engl J Med. 1973;289:878–81.PubMedGoogle Scholar
- 44.Eichenwald HF. Congenital toxoplasmosis: a study of 150 cases. Am. J. Dis. Chld. 1957;94:411–2.Google Scholar
- 45.Eichenwald HF. A study of congenital toxoplasmosis, with particular emphasis on clinical manifestations, sequelae and therapy. In: Siim J, editor. Human toxoplasmosis. Copenhagen: Munksgaard; 1960. p. 41–9.Google Scholar
- 46.Fayyaz H, Rafi J. TORCH screening in polyhydramnios: an observational study. J Matern Fetal Neonatal Med. 2012;25(7):1069–72.PubMedGoogle Scholar
- 47.Feldman HA. Congenital toxoplasmosis—a study of 103 cases. Am J Dis Child. 1953;86:487.Google Scholar
- 48.• Ferguson DJ, Bowker C, Jeffery KJ, Chamberlain P, Squier W. Congenital toxoplasmosis: continued parasite proliferation in the fetal brain despite maternal immunological control in other tissues. Clin Infect Dis. 2013;56(2):204–8. T. gondii replicates in the fetal brain when controlled in other tissues. Google Scholar
- 49.Ferrandiz J, Mercier C, Wallon M, Picot S, Cesbron-Delauw MF, Peyron F. Limited value of assays using detection of immunoglobulin G antibodies to the two recombinant dense granule antigens, GRA1 and GRA6 Nt of Toxoplasma gondii, for distinguishing between acute and chronic infections in pregnant women. Clin Diagn Lab Immunol. 2004;11:1016–21.PubMedCentralPubMedGoogle Scholar
- 50.Foulon W, Villena I, Stray-Pedersen B, et al. Treatment of toxoplasmosis during pregnancy: a multicenter study of impact on fetal transmission and children’s sequelae at age 1 year. Am J Obstet Gynecol. 1999;180:410–5.PubMedGoogle Scholar
- 51.Frenkel JK, Friedlander S. Toxoplasmosis: pathology of neonatal disease, pathogenesis, diagnosis and treatment, USA Government Printing Office, Washington, Publication n 141. US Public Health Service; 1951. p. 107.Google Scholar
- 52.Fricker-hidalgo H, Cimon B, Chemla C, et al. Toxoplasma seroconversion with negative or transient immunoglobulin M in pregnant women: myth or reality? A French multicenter retrospective study. J Clin Microbiol. 2013;51(7):2103–11.PubMedCentralPubMedGoogle Scholar
- 53.Guerina NG, Hsu HW, Meissner HC, Maguire JH, Lynfield R, Stechenberg B, Abroms I, Pasternack MS, Hoff R, Eaton RB. Neonatal serologic screening and early treatment for congenital T. gondii infection. The New England Regional Toxoplasma Working Group. N Engl J Med. 1994;330:1858–63.PubMedGoogle Scholar
- 54.Hedman K, Lappalainen M, Söderlund M, Hedman L. Avidity of IgG in serodiagnosis of infectious diseases. Rev Med Microbiol. 1993;4:123–9.Google Scholar
- 55.Hohlfeld P, Daffos F, Thulliez P, et al. Fetal toxoplasmosis: outcome of pregnancy and infant follow-up after in utero treatment. J Pediatr. 1989;115(5 Pt 1):765–9.PubMedGoogle Scholar
- 56.Hohlfeld P, Daffos F, Costa JM, et al. Prenatal diagnosis of congenital toxoplasmosis with a polymerase-chain-reaction test on amniotic fluid. N Engl J Med. 1994;331(11):695–9.PubMedGoogle Scholar
- 57.Jenum PA, Stray-Pedersen B, Gundersen AG. Improved diagnosis of primary T. gondii infection in early pregnancy by determination of anti-toxoplasma immunoglobulin G avidity. J Clin Microbiol. 1997;35:1972–7.PubMedCentralPubMedGoogle Scholar
- 58.Jenum PA, Stray-Pedersen B. Development of specific immunoglobulins G, M and A following primary T. gondii infection in pregnant women. J Clin Microbiol. 1998;36:2907–13.PubMedCentralPubMedGoogle Scholar
- 59.Jones JL, Roberts JM. Toxoplasmosis hospitalizations in the United States, 2008, and trends, 1993–2008. Clin Infect Dis. 2012;54(7):e58–61.PubMedGoogle Scholar
- 60.Kasper LH, Ware PL. Identification of stage specific antigens of Toxoplasma gondii. Infect Immun. 1989;57:688–92.Google Scholar
- 61.Kimball AC, Kean BH, Fuchs F. Congenital toxoplasmosis: a prospective study of 4,048 obstetric patients. Am J Obstet Gynaecol. 1971;111:211–8.Google Scholar
- 62.Kieffer F, Wallon M, Garcia P, et al. Risk factors for retinochoroiditis during the first 2 years of life in infants with treated congenital toxoplasmosis. Pediatr Infect Dis J. 2008;27(1):27–32.PubMedGoogle Scholar
- 63.• Kieffer F, Wallon M. Congenital toxoplasmosis. Handb Clin Neurol. 2013;112:1099–101. Treatment of congenital toxoplasmosis described. Google Scholar
- 64.Kong JT, Grigg ME, Uyetake L, Parmley S, Boothroyd JC. Serotyping of Toxoplasma gondii infections in humans using synthetic peptides. J Infect Dis. 2003;187(9):1484–95.PubMedGoogle Scholar
- 65.Koppe JG, Kloosterman GJ. Congenital toxoplasmosis: long-term follow-up. Padiatr Padol. 1982;17:171–9.PubMedGoogle Scholar
- 66.Koppe JG, Loewer-Sieger DH, de Roever-Bonnet H. Results of 20-year follow-up of congenital toxoplasmosis. Lancet. 1986;1(8475):254–6.PubMedGoogle Scholar
- 67.Kortbeek LM, Hofhuis A, Nijhuis CD, Havelaar AH. Congenital toxoplasmosis and DALYs in the Netherlands. Mem Inst Oswaldo Cruz. 2009;104(2):370–3.PubMedGoogle Scholar
- 68.• Maenz M, Schlüter D, Liesenfeld O, Schares G, Gross U, Pleyer U. Ocular toxoplasmosis past, present and new aspects of an old disease. Prog Retin Eye Res. 2014;39:77–106. Review of ocular toxoplasmosis and the role of strain. Google Scholar
- 69.Lecordier L, Fourmaux MP, Mercier C, Dehecq E, Masy E, Cesbron-Delauw MF. Enzyme-linked immunosorbent assays using the recombinant dense granule antigens GRA6 and GRA1 of T. gondii for detection of immunoglobulin G antibodies. Clin Diagn Lab Immunol. 2000;7:607–11.PubMedCentralPubMedGoogle Scholar
- 70.• L’Ollivier C, Wallon M, Faucher B, Piarroux R, Peyron F, Franck J. Comparison of mother and child antibodies that target high-molecular-mass Toxoplasma gondii antigens by immunoblotting improves neonatal diagnosis of congenital toxoplasmosis. Clin Vaccine Immunol. 2012;19(8):1326–8. Important in diagnosis of congenital toxoplasmosis using differences between bands in serum from mother and child in Western Blot. Google Scholar
- 71.McAuley J, Boyer KM, Patel D, Mets M, Swisher C, Roizen N, Wolters C, Stein L, Stein M, Schey W. Early and longitudinal evaluations of treated infants and children and untreated historical patients with congenital toxoplasmosis: The Chicago collaborative treatment trial. Clin Infect Dis. 1994;18:38–72.PubMedGoogle Scholar
- 72.McLeod R, Beem MO, Estes RG. Lymphocyte anergy specific to Toxoplasma gondii antigens in a baby with congenital toxoplasmosis. J Clin Lab Immunol. 1985;17:149–53.PubMedGoogle Scholar
- 73.McLeod R, Mack DG, Boyer K, et al. Phenotypes and functions of lymphocytes in congenital toxoplasmosis. J Lab Clin Med. 1990;116(5):623–35.PubMedGoogle Scholar
- 74.McLeod R, Mack D, Foss R, et al. Levels of Pyrimethamine in sera and cerebrospinal and ventricular fluids from infants treated for congenital toxoplasmosis. Antimicrob Agents Chemother. 1992;36:1040–8.PubMedCentralPubMedGoogle Scholar
- 75.McLeod R, Boyer K, Roizen N, Stein L, Swisher C, Holfels E, Hopkins J, Mack D, Karrison T, Patel D, Pfiffner L, Remington J, Withers S, Meyers S, Aitchison V, Mets M, Rabiah P, Meier P. The child with congenital toxoplasmosis. Curr Clin Top Infect Dis. 2000;20:189–208.PubMedGoogle Scholar
- 76.McLeod R, Boyer K, Karrison T, Kasza K, Swisher C, Roizen N, Jalbrzikowski J, Remington J, Heydemann P, Noble AG, Mets M, Holfels E, Withers S, Latkany P, Meier P; Toxoplasmosis Study Group, Outcome of treatment for congenital toxoplasmosis, 1981-2004: the National Collaborative Chicago-Based, Congenital Toxoplasmosis Study. Clin Infect Dis 2006a; 42:1383-94. Epub 2006 Apr 11.Google Scholar
- 77.McLeod R, Khan AR, Noble GA, et al. Severe Sulfadiazine hypersensitivity in a child with reactivated congenital toxoplasmic chorioretinitis. Pediatr Infect Dis J. 2006;25(3):270–2.PubMedGoogle Scholar
- 78.McLeod R, Kieffer F, Sautter M, Hosten T, Pelloux H. Why prevent, diagnose and treat congenital toxoplasmosis? Mem Inst Oswaldo Cruz. 2009;104:320–44.PubMedCentralPubMedGoogle Scholar
- 79.•• McLeod R, Boyer KM, Lee D, Mui E, Wroblewski K, Karrison T, Noble AG, Withers S, Swisher CN, Heydemann PT, Sautter M, Babiarz J, Rabiah P, Meier P, Grigg ME, Toxoplasmosis Study Group. Prematurity and severity are associated with Toxoplasma gondii alleles (NCCCTS, 1981–2009). Clin Infect Dis. 2012;54(11):1595–605. Defines differences in genetics of parasites detected with serotyping, and associations of serotypes of parasites with prematurity and greater severity of disease. Both type 2 and not type 2 respond to treatment with Pyrimethamine and Sulfadiazine. Google Scholar
- 80.•• McLeod R, Lee D, Boyer K. Toxoplasmosis in the fetus and newborn infant. State of the art update; 2014a in press.Google Scholar
- 81.•• McLeod R, Lee D, Boyer K. Diagnosis of congenital toxoplasmosis: a practical procedural atlas. Complete state of the art procedural atlas. Valuable details; 2014b in press.Google Scholar
- 82.• McLeod R. Utility and limitations of T. gondii-specific IgM serum antibodies in the diagnosis of congenital toxoplasmosis in Porto Alegre. J Pediatr (Rio J); 2014. [Epub ahead of print]. Discuss utility and limitations of IgM assay for T. gondii infection in newborn infants in Porto Alegre.Google Scholar
- 83.Mets M, Holfels E, Boyer KM, et al. Eye manifestations of congenital toxoplasmosis. Am J Ophthalmol. 1996;122:309–24.PubMedGoogle Scholar
- 84.• Mohamed, S, Osman, A, Al jurayyan, NA, Al nemri, A, Salih, MA. Congenital toxoplasmosis presenting as central diabetes insipidus in an infant: a case report. BMC Res Notes. 2014;7(1):184. Diabetes insipidus in an infant with congenital toxoplasmosis. Google Scholar
- 85.• Moncada PA, Montoya JG. Toxoplasmosis in the fetus and newborn: an update on prevalence, diagnosis and treatment. Expert Rev Anti Infect Ther. 2012; 10(7):815–28. Updated review of congenital toxoplasmosis. Google Scholar
- 86.Montoya JG, Remington JS. Management of Toxoplasma gondii infection during pregnancy. Clin Infect Dis. 2008;47(4):554–66.PubMedGoogle Scholar
- 87.*Morin L, Lobry JR, Peyron F, Wallon M. Seasonal variations in acute toxoplasmosis in pregnant women in the Rhône-Alpes region (France). Clin Microbiol Infect. 2012;18(10):E401–3. Models of T. gondii infection needed in France. Google Scholar
- 88.Neto EC, Rubin R, Schulte J, Giugliani R. Newborn screening for congenital infectious diseases. Emer Infect Dis. 2004;10:1069–73.Google Scholar
- 89.Nogareda F, Le strat Y, Villena I, De Valk H, Goulet V. Incidence and prevalence of Toxoplasma gondii infection in women in France, 1980–2020: model-based estimation. Epidemiol Infect. 2013;14:1–10.Google Scholar
- 90.Olariu T, Remington S, McLeod R, Alam A, Montoya J. Severe congenital toxoplasmosis in the United State: clinical and serologic findings in untreated infants. Pediatr Infect Dis J. 2011;30(12):1056–61.PubMedGoogle Scholar
- 91.• Olariu TR, Remington JS, Montoya JG. Polymerase chain reaction in cerebrospinal fluid for the diagnosis of congenital toxoplasmosis. Pediatr Infect Dis J; 2014. [Epub ahead of print]. PCR diagnosis of T. gondii in CSF presented from the U.S. reference laboratory. Google Scholar
- 92.Samuel BU, Hearn B, Mack D, Wender P, Rothbard J, Kirisits MJ, Mui E, Wernimont S, Roberts CW, Muench SP, Rice DW, Prigge ST, Law AB, McLeod R. Delivery of antimicrobials into parasites. Proc Natl Acd Sci USA. 2003;100(24):14281–6.Google Scholar
- 93.Patel DV, Holfels EM, Vogel NP, et al. Resolution of intracranial calcifications in infants with treated congenital toxoplasmosis. Radiology. 1996;199(2):433–40.PubMedGoogle Scholar
- 94.•• Peyron F, Garweg JG, Wallon M, et al. Long-term impact of treated congenital toxoplasmosis on quality of life and visual performance. Pediatr Infect Dis J. 2011;30(7):597–600. Treatment of congenital toxoplasmosis improves quality of life and vision. Google Scholar
- 95.Phan L, Kasza K, Jalbrzikowski J, et al. Longitudinal study of new eye lesions in treated congenital toxoplasmosis. Ophthalmology. 2008;115(3):553–9.PubMedGoogle Scholar
- 96.Phan L, Kasza K, Jalbrzikowski J, et al. Longitudinal study of new eye lesions in children with toxoplasmosis who were not treated during the first year of life. Am J Ophthalmol. 2008;146(3):375–84.PubMedCentralPubMedGoogle Scholar
- 97.• Prusa AR, Kasper DC, Olischar M, Husslein P, Pollak A, Hayde M. Evaluation of serological prenatal screening to detect Toxoplasma gondii infections in Austria. Neonatology. 2013;103(1):27–34. Serologic screening prentalla in Austria is described. Google Scholar
- 98.•• Remington JS, McLeod R, Thulliez P, Desmonts G. Toxoplasmosis. In: Remington J, Klein J, editors. Infectious diseases of the fetus and newborn infant, 7th Ed. Philadelphia: WB Saunders; 2011. State of the art presentation of all aspects of congenital toxoplasmosis in the fetus and newborn infant. Google Scholar
- 99.Renier D, Sainte-Rose C, Pierre-Kahn A, Hirsch JF. Prenatal hydrocephalus: outcome and prognosis. Childs Nerv Syst. 1988;4(4):213–22.PubMedGoogle Scholar
- 100.Robert-gangneux F. It is not only the cat that did it: how to prevent and treat congenital toxoplasmosis. J Infect. 2014;68(Suppl 1):S125–33.PubMedGoogle Scholar
- 101.Roizen N, Swisher CN, Stein MA, et al. Neurologic and developmental outcome in treated congenital toxoplasmosis. Pediatrics. 1995;95:11–20.PubMedGoogle Scholar
- 102.Roizen N, Kasza K, Karrison T, et al. Impact of visual impairment on measures of cognitive function for children with congenital toxoplasmosis: implications for compensatory intervention strategies. Pediatrics. 2006;118:e379–90.PubMedGoogle Scholar
- 103.Romand S, Chosson M, Franck J, et al. Usefulness of quantitative polymerase chain reaction in amniotic fluid as early prognostic marker of fetal infection with Toxoplasma gondii. Am J Obstet Gynecol. 2004;190:797–802.PubMedGoogle Scholar
- 104.Salviz M, Montoya JG, Nadol JB, Santos F. Otopathology in congenital toxoplasmosis. Otol Neurotol. 2013;34(6):1165–9.PubMedCentralPubMedGoogle Scholar
- 105.Saxon SA, Knight W, Reynolds DW, Stagno S, Alford CA. Intellectual deficits in children born with subclinical congenital toxoplasmosis: a preliminary report. J Pediatr. 1973;85(5):792–7.Google Scholar
- 106.Siala E, Ben abdallah R, Laouiti F, et al. Toxoplasmic infections in pregnancy: About 94 cases diagnosed at the Pasteur Institute of Tunis. Gynecol Obstet Fertil. 2014;42(5):312–6.PubMedGoogle Scholar
- 107.Stepick-Biek P, Thulliez P, Araujo FG, Remington JS. IgA antibodies for diagnosis of acute congenital and acquired toxoplasmosis. J Infect Dis. 1990;162(1):270–3.PubMedGoogle Scholar
- 108.Teixeira LE, Kanunfre KA, Shimokawa PT, et al. The performance of four molecular methods for the laboratory diagnosis of congenital toxoplasmosis in amniotic fluid samples. Rev Soc Bras Med Trop. 2013;46(5):584–8.PubMedGoogle Scholar
- 109.Thulliez P. Commentary: efficacy of prenatal treatment for toxoplasmosis: a possibility that cannot be ruled out. Int J Epidemiol. 2001;30:1315–6.PubMedGoogle Scholar
- 110.Thulliez P. Maternal and foetal infection. In: Wreghitt TG, Joynson DHM, editors. Toxoplasmosis: a comprehensive clinical guide. Cambridge: Cambridge University Press; 2001. p. 193–213.Google Scholar
- 111.Toporovski J, Romano S, Hartmann S, Benini W, Chieffi PP. Nephrotic syndrome associated with toxoplasmosis: report of seven cases. Rev Inst Med Trop Sao Paulo. 2012;54(2):61–4.PubMedGoogle Scholar
- 112.• Vasconcelos-Santos DV, Queiroz Andrade GM. Geographic differences in outcomes of congenital toxoplasmosis. Pediatr Infect Dis J. 2011;30(9):816–17 There are geographic differences in outcomes of congenital toxoplasmosis. Google Scholar
- 113.• Vasconcelos-Santos DV. Ocular manifestations of systemic disease: toxoplasmosis. Curr Opin Ophthalmol. 2012;23(6):543–50. Review of ocular manifestations of toxoplasmosis with a focus on disease in Brazil. Google Scholar
- 114.Vogel N, Kirisits M, Michael E, Bach H, Hostetter M, Boyer K, Simpson R, Holfels E, Hopkins J, Mack D, Mets MB, Swisher CN, Patel D, Roizen N, Stein L, Stein M, Withers S, Mui E, Egwuagu C, Remington J, Dorfman R, McLeod R. Congenital toxoplasmosis transmitted from an immunologically competent mother infected before conception. Clin Infect Dis. 1996;23:1055–60.PubMedGoogle Scholar
- 115.Wallon M, Cozon G, Ecochard R, Lewin P, Peyron F. Serological rebound in congenital toxoplasmosis: long-term follow-up of 133 children. Eur J Pediatr. 2001;160:534–40.PubMedGoogle Scholar
- 116.Wallon M, Kodjikian L, Binquet C, et al. Long-term ocular prognosis in 327 children with congenital toxoplasmosis. Pediatr. 2004;113:1567–72.Google Scholar
- 117.Wallon M, Franck J, Thulliez P, Huissoud C, Peyron F, Garcia-Meric P, Kieffer F. Accuracy of real-time polymerase chain reaction for Toxoplasma gondii in amniotic fluid. Obstet Gynecol. 2010;115:727–33.PubMedGoogle Scholar
- 118.Perkins ES, Smith CH, Schofield PB. Treatment of uveitis with Pyrimethamine (Daraprim). Br J Ophthalmol. 1956;40:577–86.PubMedCentralPubMedGoogle Scholar
- 119.• Wallon M, Kieffer F, Binquet C, Thulliez P, Garcia-Meric P, Dureau P, Franck J, Peyron F, Bonnin A, Villena I, Bonithon-Kopp C, Gouyon JB, Masson S, Felin A, Cornu C. Congenital toxoplasmosis: randomized comparison of strategies for retinochoroiditis prevention. Therapie. 2011;66(6):473–80. Presents methodology of an ongoing study of determination of time of treatment on late ocular toxoplasmosis.Google Scholar
- 120.•• Wallon M, Peyron F, Cornu C, Vinault S, Abrahamowicz M, Bonithon Kopp C, Binquet C. Congenital Toxoplasma infection: monthly prenatal screening decreases transmission rate and improves clinical outcome at 3 years. Clin Infect Dis. 2013;56(9):1223–31. Frequent prenatal screening (monthly) and rapid treatment improves clinical outcome at 3 years. Google Scholar
- 121.•• Hotop A, Hlobil H, Gross U. Efficacy of rapid treatment initiation following primary Toxoplasma gondii infection during pregnancy. Clin Infect Dis. 2012;54(11):1545–52. Screening and treatment program used in Germany with rapid integration of Pyrimethamine and Sulfadiazine effectively prevents and treats congenital toxoplasmosis in the fetus. Google Scholar
- 122.• Wallon M, Garweg JG, Abrahamowicz M, et al. Ophthalmic outcomes of congenital toxoplasmosis followed until adolescence. Pediatrics. 2014;133(3):e601–8. Follow up of ocular findings for children later in life. Google Scholar
- 123.•• Stillwaggon E, Carrier CS, Sautter M, McLeod R. Maternal serologic screening to prevent congenital toxoplasmosis: a decision-analytic economic model. PLoS Negl Trop Dis. 2011;5(9):e1333. Cost benefit model for evaluation of gestational serologic screening of the present world for prevention of congenital toxoplasmosis. Cost benefit from screening in North America is favorable this model. Google Scholar
- 124.Swisher CN, Boyer K, McLeod R, The Toxoplasmosis Study Group. Congenital toxoplasmosis. Semin Pediatr Neurol. 1994;1(1):4–25.PubMedGoogle Scholar
- 125.Carme B, Bissuel F, Ajzenberg D, Bouyne R, Aznar C, Demar M, Bichat S, Louvel D, Bourbigot AM, Peneau C, Neron P, Dardé ML. Severe acquired toxoplasmosis in immunocompetent adult patients in French Guiana. J Clin Microbiol. 2002;2002(40):4037–44.Google Scholar
- 126.Carme B, Demar M, Ajzenberg D, Dardé ML. Severe acquired toxoplasmosis caused by wild cycle of Toxoplasma gondii, French Guiana. Emerg Infect Dis. 2009;15:656–8.PubMedCentralPubMedGoogle Scholar
- 127.Carneiro AC, Andrade GM, Costa JG, Pinheiro BV, Vasconcelos-Santos DV, Ferreira AD, Su C, Januário JN, Vitor RW. Genetic characterization of Toxoplasma gondii revealed highly diverse genotypes from human congenital toxoplasmosis in southeastern Brazil. J Clin Microbiol. 2013;51(3):901–7 Epub 2013 Jan 2.PubMedCentralPubMedGoogle Scholar
- 128.Capobiango JD, Mitsuka breganó R, Navarro IT, et al. Congenital toxoplasmosis in a reference center of Paraná, Southern Brazil. Braz J Infect Dis; 2014 [Epub ahead of print].Google Scholar
- 129.• Carellos EV, De Andrade GM, Vasconcelos-santos DV, et al. Adverse socioeconomic conditions and oocyst-related factors are associated with congenital toxoplasmosis in a population-based study in Minas Gerais, Brazil. PLoS One. 2014;9(2):e88588. In Minas Gerais, Brazil, adverse socioeconomic conditions and oocyst related factors are associated with congenital toxoplasmosis. Google Scholar
- 130.• Carneiro AC, Andrade GM, Costa JG, et al. Genetic characterization of Toxoplasma gondii revealed highly diverse genotypes for isolates from newborns with congenital toxoplasmosis in southeastern Brazil. J Clin Microbiol. 2013;51(3):901–7. In Southeastern Brazil, there are diverse genotypes causing congenital toxoplasmosis in newborns. Google Scholar
- 131.Darde ML, Villena I, Pinon JM, Beguinot I. Severe toxoplasmosis causd by a Toxoplasma gondii strain with a new isoenzyme type acquired in French Guyana. J Clin Microbiol. 1998;1:324.Google Scholar
- 132.Demar M, Ajzenberg D, Maubon D, Djossou F, Panchoe D, Punwasi W, Valery N, Peneau C, Daigre JL, Aznar C, Cottrelle B, Terzan L, Dardé ML, Carme B. Fatal outbreak of human toxoplasmosis along the Maroni River: epidemiological, clinical, and parasitological aspects. Clin Infect Dis. 2007;45:e88–95.PubMedGoogle Scholar
- 133.•• Demar M, Hommel D, Djossou F, Peneau C, Boukhari R, Louvel D, Bourbigot AM, Nasser V, Ajzenberg D, Darde ML, Carme B. Acute toxoplasmoses in immunocompetent patients hospitalized in an intensive care unit in French Guiana. Clin Microbiol Infect. 2012; 18,E221–31.Google Scholar
- 134.•• Dubey JP, Ferreira LR, Martins J, McLeod R. Oral oocyst-induced mouse model of toxoplasmosis: effect of infection with Toxoplasma gondii strains of different genotypes, dose, and mouse strains (transgenic, out-bred, in-bred) on pathogenesis and mortality. Parasitology. 2012a;139(1):1–13. Identifying virulence of peroral oocyst infection of differing strains in mice. Outcomes are influenced by parasite and host genetics in these murine models of oocyst infection. Google Scholar
- 135.• Dubey JP, Lago EG, Gennari SM, Su C, Jones JL. Toxoplasmosis in humans and animals in Brazil: high prevalence, high burden of disease, and epidemiology. Parasitology. 2012c;139(11):1375–424. T. gondii infections in brazil are of high prevalence and cause significant disease. Google Scholar
- 136.• Dubey JP, Dennis PM, Verma SK, et al. Epidemiology of toxoplasmosis in white tailed deer (Odocoileus virginianus): Occurrence, congenital transmission, correlates of infection, isolation, and genetic characterization of Toxoplasma gondii. Vet Parasitol. 2014. [Epub ahead of print] Epidemics of T. gondii infection have occurred recently in association with consumption of deer meat. The infection in white tail deer is described in this work. Google Scholar
- 137.Grigg ME, Ganatra J, Boothroyd JC, Margolis TP. Unusual abundance of atypical strains associated with human ocular toxoplasmosis. J Infect Dis. 2001;184:633–9.PubMedGoogle Scholar
- 138.Halsby K, Guy E, Said B, et al. Enhanced surveillance for toxoplasmosis in England and Wales, 2008–2012. Epidemiol Infect. 2013;7:1–8.Google Scholar
- 139.Khan A, Jordan C, Muccioli C, Vallochi AL, Rizzo LV, Belfort R Jr, Vitor RW, Silveira C, Sibley LD. Genetic divergence of Toxoplasma gondii strains associated with ocular toxoplasmosis, Brazil. Emerg Infect Dis. 2006;12:942–9.PubMedCentralPubMedGoogle Scholar
- 140.Lehmann T, Marcet PL, Graham DH, Dahl ER, Dubey JP. Globalization and the population structure of Toxoplasma gondii. Proc Natl Acad Sci USA. 2006;103(30):11423–8.PubMedCentralPubMedGoogle Scholar
- 141.• Minot S, Melo MB, Li F, Lu D, Niedelman W, Levine SS, Saeij JP. Admixture and recombination among Toxoplasma gondii lineages explain global genome diversity. Proc Natl Acad Sci USA. 2012;109(33):13458–63. Admixture and recombination of T. gondii lineages are responsible for most of the global genetic diversity of this parasite which causes some of the variation in manifestations of this infection. Google Scholar
- 142.Vaudaux JD, Muccioli C, James ER, et al. Identification of an atypical strain of Toxoplasma gondii as the cause of a waterborne outbreak of toxoplasmosis in Santa Isabel do Ivai. Brazil. J Infect Dis. 2010;202:1226–33.Google Scholar
- 143.Jamieson SE, de Roubaix LA, Cortina-Borja M, et al. Genetic and epigenetic factors at COL2A1 and ABC4 influence clinical outcome in congenital toxoplasmosis. PLoS ONE. 2008;3(6):e2285.PubMedCentralPubMedGoogle Scholar
- 144.Jamieson SE, Cordell H, Petersen E, et al. Host genetic and epigenetic factors in toxoplasmosis. Mem Inst Oswaldo Cruz. 2009;104(2):162–9.PubMedCentralPubMedGoogle Scholar
- 145.Jamieson SE, Peixoto-Rangel AL, Hargrave AC, et al. Evidence for associations between the purinergic receptor P2X(7) (P2RX7) and toxoplasmosis. Genes Immun. 2010;11(5):374–83.PubMedCentralPubMedGoogle Scholar
- 146.Lees MP, Fuller SJ, McLeod R, et al. P2X7 receptor-mediated killing of an intracellular parasite, Toxoplasma gondii, by human and murine macrophages. J Immunol. 2010;184(12):7040–6.PubMedCentralPubMedGoogle Scholar
- 147.Mack DG, Johnson JJ, Roberts F, et al. HLA-class II genes modify outcome of Toxoplasma gondii infection. Int J Parasitol. 1999;29(9):1351–8.PubMedGoogle Scholar
- 148.Peyron F, Ateba AB, Wallon M, et al. Congenital toxoplasmosis in twins: a report of fourteen consecutive cases and a comparison with published data. Pediatr Infect Dis J. 2003;22:695–701.PubMedGoogle Scholar
- 149.•• Witola WH, Mui E, Hargrave A, et al. NALP1 influences susceptibility to human congenital toxoplasmosis, proinflammatory cytokine response, and fate of Toxoplasma gondii-infected monocytic cells. Infect Immun. 2011;79(2):756–66. NALP1 inflammasome influences susceptibility to human congenital toxoplasmosis and host cell death and cytokine production. Google Scholar
- 150.•• Witola WH, Liu SR, Montpetit A, et al. ALOX12 in human toxoplasmosis. infect immun. 2014. [Epub ahead of print] In human toxoplasmosis, lipoxygenase 12 influences susceptibility to congenital toxoplasmosis. 12- HETE and 12 HPETE lead to release of pro-inflammatory cytokines and cell death which protects against this pathogen. They appear however to be capable of causing or contributing to diseases of neurodegeneration and atherosclerosis. This suggests that host defense mechanisms selected at child bearing age might contribute to disease of aging and neurodegneration. Google Scholar
- 151.Benenson MW, Takafuji ET, Lemon SM, Greenup RL, Sulzer AJ. Oocyst-transmitted toxoplasmosis associated with ingestion of contaminated water. N Engl J Med. 1982;3007:666–9.Google Scholar
- 152.•• Boyer K, Hill D, Mui E, et al. Unrecognized ingestion of Toxoplasma gondii oocysts leads to congenital toxoplasmosis and causes epidemics in North America. Clin Infect Dis. 2011;53(11):1081. Serum antibody to a sporozoite protein is present for approximately 6 months after acquisition. This was present in 70% of mothers of infants in the NCCCTS with only 20% recognizing possible cat exposure. This antibody was also present in family and water borne epidemics in North America. Google Scholar
- 153.Bowie WR, King AS, Werker DH, Isaac-Renton JL, Bell A, Eng SB, Marion SA. Outbreak of toxoplasmosis associated with municipal drinking water. The BC Toxoplasma Investigation Team. Lancet. 1997;350:173–7.PubMedGoogle Scholar
- 154.Dubey JP, Sharma SP, Juranek DD, Sulzer AJ, Teutsch SM. Characterization of Toxoplasma gondii isolates from an outbreak of toxoplasmosis in Atlanta. Georgia. Am J Vet Res. 1981;42(6):1007–10.Google Scholar
- 155.Frenkel JK, Dubey JP, Miller NL. Toxoplasma gondii in cats: fecal stages identified as coccidian oocysts. Science. 1970;167(3919):893–6.PubMedGoogle Scholar
- 156.Frenkel JK, Parker BB. An apparent role of dogs in the transmission of Toxoplasma gondii. The probable importance of xenosmophilia. Ann N Y Acad Sci. 1996;791:402–7.PubMedGoogle Scholar
- 157.Fritz HM, Bowyer PW, Bogyo M, Conrad PA, Boothroyd JC. Proteomic analysis of fractionated Toxoplasma oocysts reveals clues to their environmental resistance. PLoS One. 2012;7(1):e29955.PubMedCentralPubMedGoogle Scholar
- 158.• Hill D, Coss C, Dubey JP, et al. Identification of a sporozoite-specific antigen from Toxoplasma gondii. J Parasitol. 2011;97(2):328–37. Assay to detect antibody to sporozoite proteins of T. gondii in serum. Google Scholar
- 159.dos Santos TR, Nunes CM, Luvizotto MC, et al. Detection of Toxoplasma gondii oocysts in environmental samples from public schools. Vet Parasitol. 2010;171(1–2):53–7.PubMedGoogle Scholar
- 160.Lindsay DS, Collins MV, Mitchell SM, et al. Sporulation and survival of Toxoplasmosis gondii oocysts in seawater. J Eukaryot Microbiol. 2003;50:687–8.PubMedGoogle Scholar
- 161.Teutsch SM, Juranek DD, Sulzer A, Dubey JP, Sikes RK. Epidemic toxoplasmosis associated with infected cats. N Engl J Med. 1979;300:695–9.PubMedGoogle Scholar
- 162.Brown AS, Schaefer CA, Wuesenberry CP Jr, et al. Maternal exposure to toxoplasmosis and risk of schizophrenia in adult offspring. Am J Psychiatry. 2005;162:767–73.PubMedGoogle Scholar
- 163.Henriquez SA, Brett R, Alexander J, Pratt J, Roberts CW. Neuropsychiatric disease and Toxoplasma gondii infection. NeuroImmunomodulation. 2009;16(2):122–33.PubMedGoogle Scholar
- 164.Hermes G, Ajioka JW, Kelly KA, et al. Neurological and behavioral abnormalities, ventricular dilatation, altered cellular functions, inflammation, and neuronal injury in brains of mice due to common, persistent, parasitic infection. J Neuroinflammation. 2008;5:48.PubMedCentralPubMedGoogle Scholar
- 165.•• Wong WK, Upton A, Thomas MG. Neuropsychiatric symptoms are common in immunocompetent adult patients with Toxoplasma gondii acute lymphadenitis. Scand J Infect Dis. 2013;45(5):357–61. Neuropsychotic symptoms are part of post-natally acquired infections. Google Scholar
- 166.•• Xiao J, Li Y, Prandovszky E, et al. MicroRNA-132 dysregulation in Toxoplasma gondii infection has implications for dopamine signaling pathway. Neuroscience. 2014;268:128–38. In mouse model microRNA-132 dysregulation in alters dopamine signaling. Google Scholar
- 167.Burnett AJ, Shortt SG, Isaac-Renton J, et al. Multiple cases of acquired toxoplasmosis retinitis presenting in an outbreak. Ophthalmology. 1998;105:1032–7.PubMedGoogle Scholar
- 168.Hogan MJ, Kimura SJ, Lewis A, Zweigart PA. Early and delayed ocular manifestations of congenital toxoplasmosis. Trans Am Ophthalmol Soc. 1957;55:275–96.PubMedCentralPubMedGoogle Scholar
- 169.Holland GN, Crespi CM, ten Dam-van Loon N, et al. Analysis of recurrence patterns associated with toxoplasmic retinochoroiditis. Am J Ophthalmol. 2008;145:1007–13.PubMedGoogle Scholar
- 170.London NJ, Hovakimyan A, Cubillan LD, Siverio CD Jr, Cunningham ET Jr. Prevalence, clinical characteristics, and causes of vision loss in patients with ocular toxoplasmosis. Eur J Ophthalmol. 2011;21:811–9.PubMedGoogle Scholar
- 171.• Mansour AM, Mackensen F, Mahendradas P, Khairallah M, Lai TY, Bashshur Z. Five-year visual results of intravitreal bevacizumab in refractory inflammatory ocular neovascularization. Clin Ophthalmol. 2012;6:1233–7. Congenital toxoplasmosis in North America from 1981 to the present, and associated differences in manifestations of the infection in mother and child. Confirmation that alpha Veg F treats choroidal neovacularization. Google Scholar
- 172.Silveira C, Belfort R Jr, Muccioli C, Holland GN, Victora CG, Horta BL, Yu F, Nussenblatt RB. The effect of long-term intermittent trimethoprim/sulfamethoxazole treatment on recurrences of toxoplasmic retinochoroiditis. Am J Ophthalmol. 2002;134(1):41–6.PubMedGoogle Scholar
- 173.Benevento JD, Jager RD, Noble AG, et al. Toxoplasmosis-associated neovascular lesions treated successfully with ranibizumab and antiparasitic therapy. Arch Ophthalmol. 2008;126:1152–6.PubMedCentralPubMedGoogle Scholar
- 174.Capone A Jr. Treatment of neovascularization in infants with retinopathy of prematurity with anti-VEGF: vitreous surgery for retinopathy of prematurity. Paper presented at the annual meeting of the American Academy of Ophthalmology; Vegas, NV; 2006.Google Scholar
- 175.Yahia SB, Herbort CP, Jenzeri S, et al. Intravitreal bevacizumab (Avastin) as primary and rescue treatment for choroidal neovascularization secondary to ocular toxoplasmosis. Int Ophthalmol. 2008;28(4):311–6.PubMedGoogle Scholar
- 176.Derouin F, Almadany R, Chau F, Rouveix B, Pocidalo JJ. Synergistic activity of azithromycin and Pyrimethamine or Sulfadiazine in acute experimental toxoplasmosis. Antimicrob Agents Chemother. 1992;36(5):997–1001.PubMedCentralPubMedGoogle Scholar
- 177.Derouin F. Anti-toxoplasmosis drugs. Curr Opin Investig Drugs. 2001;2(10):1368–74.PubMedGoogle Scholar
- 178.Eyles DE, Coleman N. An evaluation of the curative effects of Pyrimethamine and Sulfadiazine, alone and in combination, on experimental mouse toxoplasmosis. Antibiot Chemother. 1955;5:529–39.Google Scholar
- 179.Frenkel JK, Hitchings GH. Relative reversal by vitamins (p-Aminobenzoic, folic and folinic acid) of the effects of Sulfadiazine and Pyrimethamine on Toxoplasma, mouse and man. Antibiot Chemother. 1957;7:630–8.Google Scholar
- 180.•• Doggett JS, Nilsen A, Forquer I, Wegmann KW, Jones-Brando L, Yolken RH, Bordón C, Charman SA, Katneni K, Schultz T, Burrows JN, Hinrichs DJ, Meunier B, Carruthers VB, Riscoe MK. Endochin-like quinolones are highly efficacious against acute and latent experimental toxoplasmosis. Proc Natl Acad Sci USA. 2012;109(39):15936–41. Promise of definitive cure of T. gondii infections in brain with this compound targeting cytochrome BC in mouse model. Google Scholar
- 181.•• Doggett JS, Ojo K, Fan E, Maly D, Van Voorhis W. Bumped kinase inhibitor 1294 treats established Toxoplasma gondii infection. Antimicrob Agents Chemother. [Epub ahead of print March 2014]. Cure of cysts in mouse model with Bump kinase inhibitor 1294. Google Scholar
- 182.Doliwa C, Escotte-binet S, Aubert D, et al. Sulfadiazine resistance in Toxoplasma gondii: no involvement of overexpression or polymorphisms in genes of therapeutic targets and ABC transporters. Parasite. 2013;20:19.PubMedCentralPubMedGoogle Scholar
- 183.Glasner PD, Silveira C, Kruszon-Moran D, Martins MC, Burnier Júnior M, Silveira S, Camargo ME, Nussenblatt RB, Kaslow RA, Belfort Júnior R. An unusually high prevalence of ocular toxoplasmosis in southern Brazil. Am J Ophthalmol. 1992;114:136–44.PubMedGoogle Scholar
- 184.Grossman PL, Remington JS. The effect of trimethoprim and sulfamethoxazole on Toxoplasma gondii in vitro and in vivo. Am J Trop Med Hyg. 1979;28(3):445–55.PubMedGoogle Scholar
- 185.•• Lai BS, Witola WH, El Bissati K, Zhou Y, Mui E, Fomovska A, McLeod R. Molecular target validation, antimicrobial delivery, and potential treatment of Toxoplasma gondii infections. Proc Natl Acad Sci USA. 2012;109(35):14182–7. Molecular transporters linked to targeted anti-sense morpholinos provide promising approach to new treatments for toxoplasmosis. Google Scholar
- 186.• Lee Y, Choi JY, Fu H, Harvey C, Ravindran S, Roush WR, Boothroyd JC, Khosia C. Chemistry and biology of macrolide antiparasitic agents. J Med Chem. 2011;54(8):2792–804. Macrolide anti-T. gondii compound described. Google Scholar
- 187.Meneceur P, Bouldouyre MA, Aubert D, Villena I, Menotti J, Sauvage V, Garin JF, Derouin F. In vitro susceptibility of various genotypic strains of Toxoplasma gondii in Pyrimethamine, Sulfadiazine, and atovaquone. Antimicrob Agents Chemother. 2008;52(4):1269–77.PubMedCentralPubMedGoogle Scholar
- 188.Mui EJ, Schiehser GA, Milhous WK, Hsu H, Roberts CW, Kirisits M, Muench S, Rice D, Dubey JP, Fowble JW, Rathod PK, Queener SF, Liu SR, Jacobus DP, McLeod R. Novel triazine JPC-2067-B inhibits Toxoplasma gondii in vitro and in vivo. PLoS Negl Trop Dis. 2008;2(3):e190.PubMedCentralPubMedGoogle Scholar
- 189.Romand S, Pudney M, Derouin F. In vitro and in vivo activities of the hydroxynaphthoquinone atovaquone alone or combined with Pyrimethamine, Sulfadiazine, clarithromycin, or minocycline against Toxoplasma gondii. Antimicrob Agents Chemother. 1993;37(11):2371–8.PubMedCentralPubMedGoogle Scholar
- 190.• Fomovska A, Wood RD, Mui E, Dubey JP, Ferreira LR, Hickman MR, Lee PJ, Leed SE, Auschwitz JM, Welsh WJ, Sommerville C, Woods S, Roberts CW, McLeod R. Salicylanilide inhibitors of Toxoplasma gondii. J Med Chem. 2012;55(19):8375–91 Potent new family of inhibitors of T. gondii effects in vitro in low nanomolar levels. Google Scholar
- 191.• Cong H, Mui EJ, Witola WH, Sidney J, Alexander J, Sette A, Maewal A, McLeod R. Towards an immunosense vaccine to prevent toxoplasmosis: protective Toxoplasma gondii epitopes restricted by HLA-A*0201. Vaccine. 2011a;29(4):754–62. Immunosense approach to creating HLA A2 restricted peptides leads to vaccine protective against T. gondii infection in HLA A2 transgenic mice. Google Scholar
- 192.• Cong H, Mui EJ, Witola WH, Sidney J, Alexander J, Sette A, Maewal A, McLeod R. Human immunome, bioinformatic analyses using HLA supermotifs and the parasite genome, binding assays, studies of human T cell responses, and immunization of HLA-A*1101 transgenic mice including novel adjuvants provide a foundation for HLA-A03 restricted CD8+ T cell epitope based, adjuvanted vaccine protective against Toxoplasma gondii. Immunome.2011b; 6:12. All HLA mice can be protected by CD8+ peptides, a unusual CD4 peptide and GLA-SE, and adjuvant. Google Scholar
- 193.• Cong H, Mui EJ, Witola WH, Sidney J, Alexander J, Sette A, Maewal A, El Bissati K, Zhou Y, Suzuki Y, Lee D, Woods S, Sommerville C, Henriquez FL, Roberts CW, McLeod R. Toxoplasma gondii HLA-B*702-restricted GRA7(20–28) peptide with adjuvants and universal helper T cell epitope elicits CD8(+) T cells producing interferon-γ and reduces parasite burden in HLA-B*0702 mice. Hum Immunol. 2011b;73(1):1–10. HLA B7 transgenic mice can be protected by CD8+ T cell HLA B7 restricted peptides, with padre, with adjuvant. Google Scholar
- 194.Kaňková S, Sulc J, Křivohlavá R, Kuběna A, Flegr J. Slower postnatal motor development in infants of mothers with latent toxoplasmosis during the first 18 months of life. Early Hum Dev. 2012;88(11):879–84.PubMedGoogle Scholar
- 195.Tan TG, Mui E, Cong H, et al. Identification of T. gondii epitopes, adjuvants, and host genetic factors that influence protection of mice and humans. Vaccine. 2010;28(23):3977–89.PubMedCentralPubMedGoogle Scholar
- 196.Lafferty KD. Can the common brain parasite, Toxoplasma gondii, influence human culture? Proc Biol Sci. 2006;273(1602):2749–55.PubMedCentralPubMedGoogle Scholar
- 197.Townsend JJ, Wolinsky JS, Baringer JR, Johnson PC. Acquired toxoplasmosis. A neglected cause of treatable nervous system disease. 1975;32(5):335–43.Google Scholar
- 198.• Mitra R, Sapolsky RM, Vyas A. Toxoplasma gondii infection induces dendritic retraction in basolateral amygdala accompanied by reduced corticosterone secretion. Dis Model Mech. 2012;6(2):516–20. T. gondii infection alters amygdala and reduces corticosterone secretion in mouse model. Google Scholar
- 199.• Kaushik M, Lamberton PH, Webster JP. The role of parasites and pathogens in influencing generalised anxiety and predation-related fear in the mammalian central nervous system. Horm Behav. 2012;62(3):191–201. One of many studies which suggest but do not prove T. Gondii has a direct causal effect. Google Scholar
- 200.• Lavinsky D, Romano A, Muccioli C, Belfort R, Jr. Imaging in ocular toxoplasmosis. Int Ophthalmol Clin. 2012;52(4):131–43. Review of imaging techniques for ocular toxoplasmosis. Google Scholar
- 201.• Wang T, Zhou J, Gan X, et al. Toxoplasma gondii induce apoptosis of neural stem cells via endoplasmic reticulum stress pathway. Parasitology. 2012;141(7):988–95. T. gondii causes apoptosis of neural stem cells.Google Scholar
- 202.• Pfaff AW, De-la-torre A, Rochet E, et al. New clinical and experimental insights into Old World and neotropical ocular toxoplasmosis. Int J Parasitol. 2014;44(2):99–107. Ocular toxoplasmosis in new and old world. Google Scholar
- 203.• Sauer A, Rochet E, Lahmar I, et al. The local immune response to intraocular Toxoplasma re-challenge: less pathology and better parasite control through Treg/Th1/Th2 induction. Int J Parasitol. 2013;43(9):721–8.Google Scholar
- 204.• Collier SA, Stockman LJ, Hicks LA, Garrison LE, Zhou FJ, Beach MJ. Direct healthcare costs of selected diseases primarily or partially transmitted by water. Epidemiol Infect. 2012;140(11):2003–13. Toxoplasmosis causes substantial health care costs. Google Scholar
- 205.Hutson SL, Mui E, Kinsley K, Witola WH, Behnke MS, Bissati KE, Muench SP, Rohrman B, Liu SR, Wollmann R, Ogata Y, Sarkeshik A, Yates JR, McLeod R. T. gondii RP promoters and knockdown reveal molecular pathways associated with proliferation and cell-cycle arrest. PLoS One. 2010;5(11):e14057.PubMedCentralPubMedGoogle Scholar
- 206.McLeod R, Lee D, Boyer K. Toxoplasmosis in the fetus and newborn infant. In: Stevenson DK, Sunshine P, Cohen RS, Van Meurs K, editors. Neonatology: clinical practice and procedural atlas. New York: McGraw-Hill; 2008.Google Scholar
- 207.McLeod R, Van Tubbergen C, Montoya J, Petersen E. Human toxoplasma infection. In: Weiss LM, Kim K, editors. Toxoplasma gondii: the model apicomplexan—perspectives and methods. vol. 2. London: Elsevier Press; 2014. p. 100–161.Google Scholar
- 208.Mehta V, Balachandran C, Lonikar V. Blueberry muffin baby: a pictoral differential diagnosis. Dermatol Online J. 2008;14(2):8. Retrieved from http://escholarship.org/uc/item/53q852nc.


















