Probabilistic and deterministic algorithms for space multidimensional irregular porous media equation
- 849 Downloads
Abstract
The object of this paper is a multi-dimensional generalized porous media equation (PDE) with not smooth and possibly discontinuous coefficient \(\beta \), which is well-posed as an evolution problem in \(L^1(\mathbb R ^d)\). This work continues the study related to the one-dimensional case by the same authors. One expects that a solution of the mentioned PDE can be represented through the solution (in law) of a non-linear stochastic differential equation (NLSDE). A classical tool for doing this is a uniqueness argument for some Fokker–Planck type equations with measurable coefficients. When \(\beta \) is possibly discontinuous, this is often possible in dimension \(d = 1\). If \(d > 1\), this problem is more complex than for \(d = 1\). However, it is possible to exhibit natural candidates for the probabilistic representation and to use them for approximating the solution of (PDE) through a stochastic particle algorithm. We compare it with some numerical deterministic techniques that we have implemented adapting the method of a paper of Cavalli et al. whose convergence was established when \(\beta \) is Lipschitz. Special emphasis is also devoted to the case when the initial condition is radially symmetric. On the other hand assuming that \(\beta \) is continuous (even though not smooth), one provides existence results for a mollified version of the NLSDE and a related partial integro-differential equation, even if the initial condition is a general probability measure.
Keywords
Stochastic particle algorithm Porous media equation Monotonicity Stochastic differential equations Non-parametric density estimation Kernel estimatorMathematics Subject Classification (2010)
65C05 65C35 82C22 35K55 35K65 35R05 60H10 60J60 62G07 65M06Introduction
The main target of this work is to construct and implement a stochastic algorithm which approximates the solution of a multidimensional porous media type equation with monotone possibly irregular coefficient.
- (i)
\(\beta :\mathbb R \rightarrow \mathbb R \) such that \(\beta \) is monotonic increasing.
- (ii)
\(\beta (0)=0\) and \(\beta \) continuous at zero.
Note that, when \(\beta (u)=u \cdot |u|^{m-1}, m>1\), the partial differential equation (PDE) in (1.1) is nothing else but the classical porous media equation. In this case \(\Phi (u) = |u|^\frac{m-1}{2}\).
Definition 1.1
Remark 1.2
- (i)
We observe that \(\beta \) may be neither degenerate nor non-degenerate.
- (ii)
\(\beta \) defined in (1.3) is degenerate. \(\beta (u)=(H(u-u_c)+\epsilon )u\) is non-degenerate, for any \(\epsilon >0\).
Equation (1.3) constitutes a model intervening in some self-organized criticality (often called SOC) phenomena, see [4] for a significant monography on the subject and [10, 18] for recent related references.
Sand piles are typical related models, which were first introduced in the discrete setting: for instance the BTW (Bak–Tang–Wiesenfeld) model, see [5] and a refined version, the so-called Zhang model. Inspired from the latter model, Bantay and Janosi [6] introduced continuous sand pile models, in which appear a porous media equation of the type (1.1) with \(\beta \) defined in (1.3). Two different effects appear: the avalanche and the regular arrival of sand. A natural description of the global phenomenon is a stochastic perturbation by noise of the mentioned equation, i.e., a generalized stochastic porous media equation. The two effects appearing in very different scales, there is sense to analyze them separately. The deterministic PDE (1.1) is a natural description of the avalanche effect and in this paper we concentrate on that one. Recent work related to self-organized criticality and SPDEs was done by Barbu et al. [9, 10].
In the paper will also often appear the following hypothesis.
Definition 1.3
Let \(\ell \) be an integer greater or equal than one. We say that Assumption B(\(\ell \)) is verified, for \(\ell \ge 1\), if there exists a constant \(C_{\scriptscriptstyle {\beta }}>0\) such that \(|\beta (u)|\le C_{\scriptscriptstyle {\beta }}|u|^{\ell }\).
In the one-dimensional case, under Assumption B(\(1\)), [18, Proposition 3.4] proved existence and uniqueness of solutions (in the sense of distributions) for (1.1) when the initial condition \(u_0\) is a bounded integrable function. Indeed, that result was essentially a clarification of older and celebrated results quoted in [17]. In Proposition 3.1, we extend that result when the dimension \(d\) is greater than \(1\), under the validity of Assumptions A and B(\(\ell \)) for some \(\ell \ge 1\).
To the best of our knowledge the first author who considered a probabilistic representation for the solutions of non-linear deterministic partial differential equations was McKean [27]. However, in his case, the coefficients were smooth. In the one-dimensional case, a probabilistic interpretation of (1.1) when \(\beta (u)=u.|u|^{m-1}\), \(m>1\), was provided in [16]. Since the original article of McKean, many papers were produced and it is impossible to list them all: Belaribi et al. [14] provides a reasonable list. If \(\beta (u)=u.|u|^{m-1},~m\in ]0,1[\), the partial differential equation in (1.1) is in fact the so-called fast diffusion equation. In the case when \(d=1\), [15] provides a probabilistic representation for the Barenblatt type solutions of (1.1).
Under Assumptions A and B(\(1\)), supposing that \(u_0\) has a bounded density, [18] (resp. [12]) proves existence and uniqueness of the probabilistic representation (in law) when \(\beta \) is non-degenerate (resp. degenerate). Besides, a theoretical probabilistic representation of the PDE, perturbed by a multiplicative noise, is given in [11].
Earlier, in the multi-dimensional case, Jourdain and Méléard [24] concentrated on the case when \(\beta \) is non-degenerate and \(\Phi \) is Lipschitz, continuously differentiable at least up to order \(3\), and with some further regularity assumptions on \(u_{\scriptscriptstyle {0}}\). The authors established existence and uniqueness of the probabilistic representation and the so-called propagation of chaos, see [35] for a rigorous formulation of this concept. When \(\beta \) is not smooth, the probabilistic representation remains an open problem in the multidimensional case.
The connection between the solutions of (1.4) and (1.1) is given by the following result.
Proposition 1.4
Let us assume the existence of a solution \(Y\) for (1.4). Let \(u:]0,T]\times \mathbb R ^d \rightarrow \mathbb R _+\) be a Borel function such that \(u(t,\cdot )\) is the law density of \(Y_t\), \(t \in ] 0,T]\). Then \(u\) provides a solution in the sense of distributions of (1.1) with \(u_0=u(0,\cdot )\).
The proof of previous result is well-known, but we recall here the basic argument.
Proof of Proposition 1.4
In the present paper, we do not solve the general problem of the probabilistic representation for (1.1), however, the solutions to (1.5) are natural candidates and we establish some theoretical related results. A mollified version of (1.4) will be stated in (4.1). It consists in replacing in the first line of (1.4), \(\Phi _d(u)\) with \(\Phi _d(K_H * v^H)\), where \(v^H\) are the marginal laws of the solution \(Y\) of (4.1) and \(K_H\) is a mollifying kernel. In Proposition 4.3, at least when \(\Phi \) is bounded, non-degenerate and continuous, we establish the equivalence between the existence for (4.1) and the existence for the corresponding partial integro-differential deterministic Eq. (4.11). In Proposition 4.2, under the same assumptions on \(\Phi \), we prove existence in law for (4.1). This also provides existence for (4.11).
Since a basic obstacle arises in dimension \(d > 1\), a natural simplified problem to study is the probabilistic representation of (1.1) when the initial condition \(u_0\) only depends on the radius (radially symmetric). In fact, in that case, the problem can be reduced to dimension one, studying the stochastic differential equation fulfilled by the norm of the process at power \(d\): this is the object of Section 5. The reduction to dimension \(1\) has also the interest to build a new class of non-linear diffusions with singular coefficients. Unfortunately also that type of equation is difficult to handle at the theoretical level since, even when \(\Phi = 1\) (and so the unique solution \(Y\) to (1.4) is a classical \(d\)-dimensional Brownian motion), some non-Lipschitz functions at zero naturally appear. In that case, the norm of \(Y\) is a \(d\)-dimensional Bessel process. When \(\beta \) is non-degenerate, the mentioned norm behaves then similarly to a \(d\)-dimensional Bessel process. Since that Bessel type process is recurrent for \(d \le 2\) and transient for \(d > 2\), it is expected that the zero (which is a singularity) point is much less visited when \(d > 2\).
As mentioned in the beginning of this introduction, one purpose of the present paper is to exploit the probabilistic representation in order to simulate the solutions of (1.1). For this we will implement an Euler scheme for stochastic differential equations and a non-parametric density estimation method using Gaussian kernel estimators, see [38]. Since we expect our methods to be robust when the coefficient \(\Phi \) is irregular, it is not reasonable to make use of higher order discretization schemes involving derivatives of \(\Phi \). Concerning the choice of the smoothing parameter \(\varepsilon \) for the density estimate, we extend to the multidimensional case the techniques used in [14].
Besides, we have carried out a deterministic numerical method in dimension \(d=2\) of space, based on a sophisticated procedure developed in [20], which is one of the most recent references in the subject. In fact, Cavalli et al. [20] coupled WENO (weighted essentially non-oscillatory) interpolation methods for space discretization, see [32], with IMEX (implicit explicit) Runge–Kutta schemes for time advancement, see [28], to obtain a high order method. We emphasize that WENO techniques help to prevent the onset of spurious oscillations.
The general stochastic particle algorithm is empirically investigated in dimension \(d = 2\). This is done in the following two cases. First, when \(\beta (u) = u^3\), comparing with the Barenblatt exact solutions. Second, when \(\beta \) is defined by (1.3), comparing with the deterministic numerical technique; indeed, in that case, exact explicit solutions for (1.1) are unknown.
In the radially symmetric case, we apply the stochastic particle algorithm to the one-dimensional reduced non-linear stochastic differential equation. As mentioned earlier, when \(d =2\) (resp. \(d>2\)), in most cases, the solutions are expected to be recurrent (resp. transient); so we suspected the simulations to be more performing when \(d>2\). However, our experiments show that the error of the approximations with respect to the exact solutions (derived by the classical porous media equation) remain stably low for all the values of \(d\) including \(d = 2\). In Section 8.2 we also compare the radial reduction method with the deterministic approach when \(d=2\) and \(\beta \) is of type (1.3).
The paper is organized as follows. After this introduction and some preliminaries, in Section 3 we discuss the well-posedness of the deterministic problem (1.1). In Section 4 we discuss the existence of a mollified version of the non-linear stochastic differential equation and its equivalence to the existence of a partial integro-differential equation which is a regularized version of (1.1). Section 5 handles the case of a radially symmetric initial condition. In Section 6 we describe the general particle algorithm for \(d = 2\). Section 7 summarizes the deterministic technique developed in [20] and finally Section 8 is devoted to numerical experiments.
Preliminaries
From now on, Assumption A is supposed to be in force and it will not be recalled anymore.
Definition 2.1
Remark 2.2
- (i)
By an obvious identification we can also consider \(u:]0,T]\rightarrow L^1_{loc}(\mathbb{R }^d)\subset \mathcal D ^{\prime }(\mathbb{R }^d)\).
- (ii)
If \(u\) is a solution of (1.1) with initial condition \(u_0\), then \(u:]0,T]\rightarrow \mathcal D ^{\prime }(\mathbb{R }^d)\) extends to a weakly continuous function \([0,T]\rightarrow \mathcal D ^{\prime }(\mathbb{R }^d)\) still denoted by \(u\) such that \(u(0)=u_0\).
Estimates for the solution of the deterministic equation
Proposition 3.1
Furthermore, \(||u(t,.)||_{\infty } \le ||u_0||_{\infty }\), for every \(t \in \left[0,T\right]\), and there is a unique version of \(u\) such that \(u \in C(\left[0,T\right];L^1(\mathbb R ^d))~(\subset L^1(\left[0,T\right]\times \mathbb R ^d))\).
Remark 3.2
- (i)
An immediate consequence of previous result is that \(u\in L^p([0,T]\times \mathbb{R }^d)\) for every \(p\ge 1\).
- (ii)
Assumption B on \(\beta \) is more general than the case of [12, 18] stated for \(d=1\). In that case we had Assumption B(\(1\)).
- (iii)
Indeed, most of the arguments of the proof of Proposition 3.1 appear implicitly in [17] and related references. For the comfort of the reader we decided to give an independent complete proof of Proposition 3.1.
Proof of Proposition 3.1
See “Appendix 9.1”. \(\square \)
The mollified non-linear stochastic differential equation
Remark 4.1
Suppose \(\beta \) non-degenerate. If \(\Phi \) is supposed to be Lipschitz and continuously differentiable at least up to order \(3\) and \(u_{\scriptscriptstyle {0}}\) is absolutely continuous with density in \(H^{2+\alpha }\) for some \(0<\alpha <1\), [24, Proposition 2.2] states (even strong) existence and uniqueness of solutions to (4.1).
Existence of solutions for the mollified NLSDE
The result below affirms, in the non-degenerate case, the existence of solutions to (4.1) in the case when \(\Phi \) is bounded and continuous.
Proposition 4.2
Suppose that \(\beta \) is non-degenerate and Assumption B(\(1\)) holds. Furthermore, assume that \(\Phi \) is continuous. Then, problem (4.1) admits existence in law.
Proof of Proposition 4.2
The assumptions imply the existence of constants \(c_0,c_1>0\) such that \(c_0\le \Phi \le c_1\).
By (4.6), since \(\Phi \) is continuous, Lebesgue dominated convergence theorem implies that the second integral in (4.10) converges to zero as \(n\) goes to infinity. This shows that \(\lim \limits _{n\rightarrow +\infty }I_1(n)=0\). On the other hand, \(\lim \limits _{n\rightarrow +\infty }I_2(n)=0\) because the family of laws \((P^n)\) converges to \(P\) and \(\Delta f\), \(R\), \(\Phi (K_H*P_r)\) are continuous and bounded for fixed \(r\).
This concludes the proof of Proposition 4.2. \(\square \)
Some complements concerning the mollified equations
Theorem 4.3
Corollary 4.4
Problem (4.11) admits existence of one solution \(v=v^H:[0,T] \rightarrow \mathcal M (\mathbb{R }^d)\).
Remark 4.5
We do not know any uniqueness results for problem (4.11).
Proof of Theorem 4.3
- (i)
Let \(Y^H\) be a solution of (4.1). As for the proof of Proposition 1.4, Itô’s formula implies that the family of marginal laws of \(Y_t^H\), denoted by \(t \mapsto v^H(t,\cdot )\), is a solution in the sense of distributions of (4.11). \(v^H\) is weakly continuous because \(Y^H\) is a continuous process.
- (ii)Let \(v=v^H\) be a solution of (4.11). Since \(\Phi \) is a bounded non-degenerate Borel function, by [26, Section 2.6, Theorem 1] there exists a process \(Y=Y^H\) being a solution in law of the SDEwhere \(A(t,y)=\Phi ((K_H*v)(t,y))I_d\).$$\begin{aligned} Y_t=Y_{\scriptscriptstyle {0}}+\int _0^t{A(s,Y_s)}dW_s, \end{aligned}$$(4.12)
Another obvious solution of (4.13) is provided by \(v\), which is a solution of (4.11).
The next step should be to prove the convergence of the solution \(v^H\) of (4.11) to the solution \(u\) of (1.1). At this stage we are not able to prove it without assuming that \(\Phi \) has some smoothness.
Reduction to dimension \(1\) when the initial condition is radially homogeneous
From now on, without restriction of generality, \(d\) will be greater or equal to \(2\).
Some mathematical aspects of the reduction
In this section we are interested in the solutions of (1.1) whose initial condition is radially symmetric.
From now on \(R^t\) will denote the transpose of a generic matrix \(R\). An orthogonal matrix \(R \in \mathbb{R }^d\otimes \mathbb{R }^d\) is a matrix such that \(RR^t=R^tR=I_d\), where \(I_d\) is the identity matrix on \(\mathbb{R }^d\). We denote by \(O(d)\) the set of \(d\times d\) orthogonal matrices.
Definition 5.1
- (i)
\(\mu \) is said radially symmetric if for any \(R\in O(d)\) we have \(\mu ^R=\mu \).
- (ii)
A function \(u_0:\mathbb{R }^d\rightarrow \mathbb{R }\) is said radially symmetric if there is \(\bar{u}_0:]0,+\infty [\rightarrow \mathbb{R }\) such that \(u_0(x)=\bar{u}_0(\Vert x\Vert )\), \(\forall x\ne 0\).
Remark 5.2
If \(u_0\in L_{loc}^1(\mathbb{R }^d\backslash \{0\})\) then \(u_0\) is radially symmetric if and only if the \(\sigma \)-finite measure \(u_0(x)dx\) is radially symmetric.
Let \(\mathfrak{J }\) be a class of finite Borel measures on \(\mathbb{R }^d\) which is invariant through the action of every orthogonal matrix. Let \(\mathfrak{U }\) be a class of weakly continuous \(u:[0,T]\rightarrow \mathcal M (\mathbb{R })\), \(t \mapsto u(t,\cdot )\) such that, for almost all \(t \in ]0,T]\), \(u(t,\cdot )\) admits a density, still denoted by \(u(t,x)\), \(x \in \mathbb{R }^d \) and such that \(u^R\in \mathfrak{U }\) for any \(R\in O(d)\). We suppose that (1.1) is well-posed in \(\mathfrak{U }\) for every \(u_{\scriptscriptstyle {0}} \in \mathfrak{J }\).
Remark 5.3
Suppose that Assumption B(\(\ell \)), for some \(\ell \ge 1\), is fulfilled. A classical choice of \(\mathfrak{J }\) (resp. \(\mathfrak{U }\)) is the cone of bounded non-negative integrable functions on \(\mathbb{R }^d\) (resp. \(\left(L^1\bigcap L^{\infty }\right)([0,T]\times \mathbb{R }^d)\)).
We first observe that whenever the initial condition of (1.1) is radially symmetric then the solution conserves this property.
Proposition 5.4
- (i)
Let \(R\in O(d)\). Then \(u^R\) is again a solution in the sense of distributions of (1.1), with initial condition \(u_0^R\).
- (ii)
If \(u_0\in \mathfrak{J }\) and \(u\in \mathfrak{U }\) then there is \(\bar{u}:]0,T]\times ]0,+\infty [\rightarrow \mathbb{R }\) such that \(u(t,x) =\bar{u}(t,\Vert x\Vert )\), \(\forall t\in ]0,T]\), \(x\in \mathbb{R }^d\backslash \{0\}\).
Proof of Proposition 5.4
(ii) According to Remark 5.2, it is enough to show that \(u(t,x)=u(t,Rx)\), \(\forall (t,x) \in ]0,T]\times \mathbb{R }^d\), for every \(R\in O(d)\). Since \(u_0\) is radially symmetric, item (i) implies that for any \(R\in O(d)\), \(u^R\) is a solution of (1.1) with \(u_0\) as initial condition. Since \(u, u^R \in \mathfrak{U }\), we get \(u=u^R\) and so, item (ii) follows. \(\square \)
From now on, we will suppose the validity of Assumption B(\(\ell \)), for some \(\ell \ge 1\). Let \(u_0\in \mathfrak{J }\), \(u\in \mathfrak{U }\) solution of (1.1) in the sense of distributions.
Remark 5.5
By Proposition 5.4(ii), there is \(\tilde{u}:]0,T]\times \mathbb{R }_+\rightarrow \mathbb{R }\) such that \(u(t,x)\) \(=\tilde{u}(t,\Vert x\Vert ^d)\), \(t\in ]0,T]\), \(x\in \mathbb{R }^d\).
Lemma 5.6
Remark 5.7
The statement of Proposition 5.4 could allow to define \(\tilde{u}\) such that \(u(t,x)=\tilde{u}(t,\Vert x\Vert ^{\gamma })\) for a generic \(\gamma >0\), which could also be equal to \(1\) or \(2\). The choice of taking \(\gamma =d\) is justified by Lemma 5.6 above. If we take a different \(\gamma \), the quotient \(\frac{\displaystyle {\nu }}{\displaystyle {\tilde{u}}}\) in (5.4) would be proportional to some power of \(\rho \), producing a bad numerical conditioning.
Proof of Lemma 5.6
Finally, setting the change of variables \(\rho =r^d\) and identifying the result with (5.6), we obtain formula (5.4) for \(\nu \). \(\square \)
Remark 5.8
- (i)
If \(u_0:\mathbb{R }^d\rightarrow \mathbb{R }\) is integrable and radially symmetric, \(u_0(x)\) \(=\tilde{u}_0(\Vert x\Vert ^d)\), for some \(\tilde{u}_0:]0,+\infty [\rightarrow \mathbb{R }\).
- (ii)If \(\widetilde{\psi }\in \mathcal D (]0,+\infty [)\) then \(\psi (x):=\widetilde{\psi }(\Vert x\Vert ^d)\) belongs to \(\mathcal D ( \mathbb{R }^d\backslash \{0\})\). By a change of variables with hyperspherical coordinates, we get$$\begin{aligned} \int _{\mathbb{R }^d} u_0(x)\psi (x)dx=\int _0^{+\infty }\frac{\mathfrak{C }}{d}\tilde{u}_0(r)\widetilde{\psi }(r) dr. \end{aligned}$$
- (iii)If \(\mu _0\) is a radially symmetric \(\sigma \)-finite measure on \(\mathbb{R }^d\backslash \{0\}\), we denote \(\tilde{\mu }_0\) the \(\sigma \)-finite measure on \(]0,+\infty [\) defined byif \(\widetilde{\psi }\in \mathcal D (]0,+\infty [)\), \(\psi (x)=\widetilde{\psi }(\Vert x\Vert ^d)\).$$\begin{aligned} \int _0^{+\infty }\frac{\mathfrak{C }}{d}\tilde{\mu }_0(dr)\widetilde{\psi }(r) =\int _{\mathbb{R }^d} \mu _0(dx)\psi (x)dx, \end{aligned}$$(5.7)
- (iv)
In particular \(\nu _{\scriptscriptstyle {0}}\) is the law of \(\Vert Y_{\scriptscriptstyle {0}}\Vert ^d\), i.e., \(\nu _{\scriptscriptstyle {0}}=\frac{\displaystyle {\mathfrak{C }}}{\displaystyle {d}}\widetilde{{u_{\scriptscriptstyle {0}}}}\).
From now on, we will suppose that \(\beta \) is single-valued. \(\nu \), defined in (5.4), is a solution of a partial differential equation that we determine below.
Proposition 5.9
Proof of Proposition 5.9
Proposition 5.10 below is related to the probabilistic representation of (5.8).
Proposition 5.10
- (i)Suppose that \((Z_t)\) is a non-negative process solving the non-linear SDE defined byThen, \(p\) is a solution, in the sense of distributions, of the PDE (5.8) with initial condition \(\frac{\mathfrak{C }}{d}\tilde{u}_0\).$$\begin{aligned} \left\{ \begin{aligned} Z_t&=Z_{\scriptscriptstyle {0}}+ \int _0^t \Psi _2(Z_s,p(s,Z_s))dB_s+\int _0^t \Psi _1(Z_s,p(s,Z_s))ds,\\ p(t,\cdot )&= \text{ Law} \text{ density} \text{ of} Z_t,\ \forall t\in ]0,T], \ \ Z_{\scriptscriptstyle {0}}\sim \frac{\mathfrak{C }}{d}\widetilde{u_{\scriptscriptstyle {0}}}. \end{aligned} \right. \end{aligned}$$(5.11)
- (ii)
If \(S\) is defined by (5.3), with marginal laws denoted by \(\nu \), then \(S\) verifies (5.11) with \(Z=S\) and \(p=\nu \).
Remark 5.11
Proof of Proposition 5.10
On the other hand, \(\tilde{u}(s,\cdot )=\frac{d}{\mathfrak{C }}\nu (s,\cdot )\) by Lemma 5.6, where \(\nu (s,\cdot )\) is the family of marginal laws of \(S\). This concludes the proof. \(\square \)
A toy model: the heat equation via Bessel processes
Remark 5.12
Take \(\mathfrak{J }\) as the family of all probability measures on \(\mathbb{R }^d\) and \(\mathfrak{U }\) as the family of weakly continuous \(u: [0,T]\rightarrow \mathcal M (\mathbb{R }) \), \(t \mapsto u(t,\cdot )\), such that, for almost all \(t \in ]0,T]\), \(u(t,\cdot )\) admits a density, still denoted by \(u(t,x)\), \(x \in \mathbb{R }^d \). For \(t\in ]0,T]\), let \(H_t=tI_d\). It is well-known that given a probability measure \(u_0(dy)\) on \(\mathbb{R }^d\), \(u\) characterized by \(u(t,x) = \int _{\mathbb{R }^d} K_{H_t} (x-y) u_0(dy), t \in ] 0,T], \ x \in \mathbb{R }^d\), is the unique solution of the heat equation with initial condition \(u_0\). By Lemma 5.6 and Remark 5.5, the function \(u(t,x)=\frac{d}{\mathfrak{C }}\nu _{\ell _{\scriptscriptstyle {0}}^d}(t,\Vert x\Vert ^d)\), \(t\in ]0,T]\), \(x\in \mathbb{R }^d\), solves the PDE \(\partial _tu=\frac{1}{2}\Delta u\) in the sense of distributions, with initial condition \(u(0,\cdot )=u_{\scriptscriptstyle {0}}(dx)\), where \(u_{\scriptscriptstyle {0}}\) is the distribution of a uniform random variable on the \(d\)-sphere \(S_{d-1}\).
Probabilistic numerical implementation
Here we adopt the same notations as in Section 5.1. In particular, \(u\) and \(u_0\) were introduced in the lines before Remark 5.5, the process \(S\) was defined in (5.3) with \(\nu \) as marginal laws. One of our aims is to approximate \(\tilde{u}\) for \(d\ge 2\) which coincides, up to the constant \( \frac{\mathfrak{C }}{d}\), with \(\nu \). We remind in particular that \(\nu \) is a solution of (5.8) with initial condition \(\nu _0 = \frac{\mathfrak{C }}{d} \tilde{u}_0\).
Our program consists in implementing the one-dimensional probabilistic method developed in [14]: we introduce, in this subsection, a stochastic particle algorithm based upon the time discretization of (5.12), which will allow us to simulate the solutions \(\nu \) of (5.8). From now on we fix \(n\), the number of particles.
To simulate a trajectory of each \((Z_t^{i,\varepsilon ,n}),\ i=1,\ldots ,n\), we discretize in time : we choose a time step \(\Delta t>0\) and \(N \in \mathbb N ^*\), such that \(T=N\Delta t\). We denote by \(t_k=k \Delta t\), the discretization times for \(k=0,\ldots ,N\).
We emphasize that the choice of the smoothing parameter \(\varepsilon \), intervening in (5.21), is done according to the bandwidth selection procedure that had been described in [14, Section 4].
Note that, when \(\Phi \equiv 1\) and \(d=2\), previous scheme corresponds to the one of [21]. Further work on this subject was performed by [22] and more recently by [2].
The multidimensional probabilistic algorithm
Remark 6.1
In the case where \(\Phi \) is Lipschitz, continuously differentiable at least up to order \(3\), with some further regularity assumptions on \(u_{\scriptscriptstyle {0}}\), the authors in [24, Theorem 2.7] established the propagation of chaos. At the best of our knowledge there are no such results when \(\Phi \) is irregular.
Probabilistic numerical implementation
Just as in the univariate case, the optimal choice of \(H\) crucially determines the performance of the density estimator \(u^{H,n}\). In fact, a large amount of research was done in this area. We refer to [33, 38] for a survey of the subject.
First of all, one has to decide about the particular form of \(H\). A full bandwidth matrix allows for more flexibility; however it also introduces more complexity into the estimator since more parameters have to be selected. A simplification of (6.3) can be obtained by imposing the restriction \(H\in \mathcal D \), where \(\mathcal D \) denotes the subclass of diagonal positive definite \(d\times d\) matrices. Then, for \(H\in \mathcal D \), we have \(H=\text{ diag}(\varepsilon _1^2,\ldots ,\varepsilon _d^2)\), so we have \(K_H(x)=\prod _{\ell =1}^d\phi _{\varepsilon _{\ell }}(x_{\ell })\).
Besides, a further simplification can be done by considering \(H=\varepsilon ^2 I_d\), where \(I_d\) is the unit matrix on \(\mathbb{R }^d\). This restriction has the advantage that one has only to deal with a single smoothing parameter, but the considerable disadvantage is that the amount of smoothing is the same in each coordinate direction. Accordingly, we will suppose from now on that \(H\in \mathcal D \), so that we could have more flexibility to smooth by different amounts in each of the coordinate directions.
It remains to choose the components \((\varepsilon _{\ell })_{1\le \ell \le d}\) of the bandwidth matrix \(H\) itself. For this, we will need some methodology for the mathematical quantification of the performance of the kernel density estimator \(u^{H,n}\). In order to balance between the complexity and the efficiency of the bandwidth selection procedure to be used, we proceed as follows.
The deterministic numerical method
In our numerical simulations, we will consider the case where \(d=2\). The operational aspects of that method, in the one-dimensional case, were explained in details in [14, Section 5].
Numerical experiments
The probabilistic and deterministic algorithms were both carried out using Matlab. In order to speed up our probabilistic procedure, we have implemented, using the Matlab Parallel Computing Toolbox (PCT), a GPU version of the kernel density estimator in dimension \(1\) and \(2\) of space. Using \(10^5\) particles, this has \(500\) times reduced the CPU time on our reference computer. As mentioned in Section 7, the deterministic numerical solutions are performed via the method provided in [20]. In fact, we use the WENO spatial reconstruction of order 5 and a third order explicit Runge–Kutta IMEX scheme for time stepping. From now on, we will denote the related time step by \(\Delta t_{det}\) and the deterministic numerical solution by \(\hat{u}_{det}\).
The general stochastic particle algorithm for \(d=2\)
We have proceeded to the validation of our algorithm in three main situations: the classical porous media equation, the fast diffusion equation and the Heaviside case.
The porous media equation case
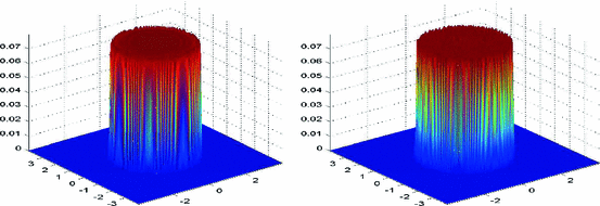
PME: Probabilistic numerical solution values at \(t=0\) (a), \(t=1\) (b), \(t=2\) (c) and \(t=T=3\) (d)
PME: Deterministic numerical solution values at \(t=0\) (a), \(t=1\) (b), \(t=2\) (c) and \(t=3\) (d)
PME: Evolution of the \(L^1\) probabilistic (solid line) and deterministic (dashed line) errors over the time interval \([0, 3]\)
The fast diffusion equation (FDE) case
Simulation experiments. We set \(d=2\) and \(m=\frac{1}{2}\). We consider the time-space grid \([0,1.5]\times [-15,15]\times [-15,15]\) over which the probabilistic, the deterministic and the exact solutions are computed. We fix \(\Delta t_{det}=1.5\times 10^{-3}\). We use a uniform space step \(\Delta x= 0.4\). For the probabilistic simulation we set \(n=200,000\) and \(\Delta t=10^{-2}\).
FDE: Probabilistic numerical solution values at \(t=0\) (a), \(t=0.5\) (b), \(t=1\) (c) and \(t=1.5\) (d)
FDE: Deterministic numerical solution values at \(t=0\) (a), \(t=0.5\) (b), \(t=1\) (c) and \(t=1.5\) (d)
FDE: Evolution of the \(L^1\) probabilistic (solid line) deterministic (dashed line) errors over the time interval \([0,1.5]\)
Remark 8.1
In previous cases, we had some exact expressions of the solution of (1.1) at our disposal that we could compare with the approximations issued from the deterministic and probabilistic algorithms. The committed error using the deterministic approach is definitely lower than using the probabilistic one. Below we treat the Heaviside case: by default of exact expressions, the deterministic solutions will be used for evaluating the error related to the probabilistic method.
The Heaviside case
In this part, we will discuss the numerical experiments for a coefficient \(\beta \) given by (1.3). We recall that in this case we do not know an exact solution for the problem (1.1). Consequently, we will compare our probabilistic solution to the numerical deterministic solution obtained using the method developed in [20], see also Section 7. In fact, we will simulate both numerical solutions according to several initial data \(u_0\) and with different values of the critical threshold \(u_c\).
- (1)
Does indeed \(u(t,\cdot )\) have a limit \(u_{\infty }\) when \(t \rightarrow \infty \)?
- (2)
If yes, does \(u_{\infty }\) belong to \(\mathcal J \)?
- (3)
If (2) holds, do we have \(u(t,\cdot )=u_{\infty }\) for \(t\) larger than a finite time \(\tau \)?
Test case 1: Probabilistic (left) and deterministic (right) solution values at \(t=0\)
Test case 1: Probabilistic (left) and deterministic (right) solution values at \(t=0.3\)
Test case 1: Probabilistic (left) and deterministic (right) solution values at \(t=0.9\)
Test case 1: Evolution of the \(L^1\)-norm of the difference of the two solutions over the time interval \([0, 0.9]\)
(b) Bimodal initial condition
Test case 2: Probabilistic (left) and deterministic (right) solution values at \(t=0\)
Test case 2: Probabilistic (left) and deterministic (right) solution values at \(t=0.27\)
Test case 2: Probabilistic (left) and deterministic (right) solution values at \(t=0.8\)
Test case 2: Evolution of the \(L^1\)-norm of the difference between the two solutions over the time interval \([0, 0.8]\)
(c) Trimodal initial condition
Simulation experiments. We fix again \(d=2\). For this specific type of initial condition \(u_0\), we consider two test cases depending on the value taken by the critical threshold \(u_c\). We set, for instance, \(\mu _1=(-2,2)\), \(\mu _2=(2,-2)\), \(\mu _3=(0,0)\), \(\Sigma _1=(0.1)^2I_2\), \(\Sigma _2=(0.2)^2I_2\) and \(\Sigma _3=\Sigma _2\).
Test case 3: Probabilistic (left) and deterministic (right) numerical solution values at \(t=0\)
Test case 3: Probabilistic (left) and deterministic (right) numerical solution values at \(t=0.14\)
Test case 3: Probabilistic (left) and deterministic (right) numerical solution values at \(t=0.4\)
Test case 3: Evolution of the \(L^1\)-norm of the difference between the two solutions over the time interval \([0, 0.4]\)
Test case 4: Probabilistic (left) and deterministic (right) numerical solution values at \(t=0\)
Test case 4: Probabilistic (left) and deterministic (right) numerical solution values at \(t=0.66\)
Test case 4: Probabilistic (left) and deterministic (right) numerical solution values at \(t=2\)
Test case 4: Evolution of the \(L^1\)-norm of the difference between the two solutions over the time interval \([0, 2]\)
(d) Uniform and normal densities mixture initial condition
Test case 5: Probabilistic (left) and deterministic (right) numerical solution values at \(t=0\)
Test case 5: Probabilistic (left) and deterministic (right) numerical solution values at \(t=0.2\)
Test case 5: Probabilistic (left) and deterministic (right) numerical solution values at \(t=0.6\)
Test case 5: Evolution of the \(L^1\)-norm of the difference between the two solutions over the time interval \([0, 0.6]\)
Long-time behavior of the solutions
As it was mentioned previously, we are interested in the empirical behavior of solutions to (1.1) in the Heaviside case. For this, we first provide Fig. 27, which displays the time evolution of the \(L^1\)-norm of the difference between two successive time evaluations of the numerical solutions. That quantity was computed for both deterministic and probabilistic numerical solutions and in the different test cases 1 to 5. In fact, Fig. 27, shows that the numerical solutions approach some limit function \({\hat{u}}_{\infty }\). Indeed, they seem to reach \({\hat{u}}_{\infty }\) after a finite time \(\hat{\tau }\).
Time evolution of \(\Vert u^{H,n}(t_{i+1},\cdot )-u^{H,n}(t_{i},\cdot )\Vert _{L^1(\mathbb R ^2)}\) (dashed lines) and \(\Vert \hat{u}_{{det}}(t_{i+1},\cdot )-\hat{u}_{{det}}(t_{i},\cdot )\Vert _{L^1(\mathbb R ^2)}\) (solid lines) for the Test case 1 (a), Test case 2 (b), Test case 3 (c), Test case 4 (d) and Test case 5 (e), respectively
Time evolution of \(\Vert \beta (u^{H,n}(t,\cdot ))\Vert _{L^1(\mathbb R ^2)}\) (dashed lines) and \(\Vert \beta (\hat{u}_{det}(t,\cdot ))\Vert _{L^1(\mathbb R ^2)}\) (solid lines) for the Test case 1 (a), Test case 2 (b), Test case 3 (c), Test case 4 (d) and Test case 5 (e), respectively
Long-time stability behavior of the general probabilistic algorithm \(\mathbf{d=2}\)
Evolution of the \(L^1\) error over the time interval \([0,50]\), in the PME case
The radially symmetric case
Validation on exact solutions in hyperspherical coordinates
We make the same conventions as in Section 5. Suppose that \(u_0\) is radially symmetric. \(u\) is the solution of (1.1) and \(\tilde{u}\) is given in Remark 5.5. \(\nu \) constitutes the marginal laws of \(S\) which is defined in (5.3) which is a solution of (5.11). \(\nu \) equals \(\tilde{u}\) up to a constant, see (5.4).
The Fokker–Planck equation for Bessel processes
Bessel equation, \(d=2\): Exact (solid line) and probabilistic (dotted line) solution values at \(t=0\) (a), \(t=0.005\) (b), \(t=0.01\) (c). The evolution of the \(L^1\) error over the time interval \([0,0.01]\) (d)
Bessel equation, \(d=5\): Exact (solid line) and probabilistic (dotted line) solution values at \(t=0\) (a), \(t=0.005\) (b), \(t=0.0\)1 (c). The evolution of the \(L^1\) error over the time interval \([0,0.01]\) (d)
Bessel equation, \(d=10\): Exact (solid line) and probabilistic (dotted line) solution values at \(t=0\) (a), \(t=0.005\) (b), \(t=0.01\) (c). The evolution of the \(L^1\) error over the time interval \([0,0.01]\) (d)
We point out that the performance of our algorithm is satisfying for all values of \(d\ge 2\) even though when \(d=2\) the solution is recurrent. In that case the process often attains zero, which is a non regular point of the diffusion term in (5.12).
The radial transformation of the classical porous media equation
Radial PME, \(d=2\): Exact (solid line) and probabilistic (dotted line) solution values at \(t=0\) (a), \(t=0.5\) (b), \(t=1\) (c). The evolution of the \(L^1\) error over the time interval \([0,1]\) (d)
Radial PME, \(d=5\): Exact (solid line) and probabilistic (dotted line) solution values at \(t=0\) (a), \(t=0.5\) (b), \(t=1\) (c). The evolution of the \(L^1\) error over the time interval \([0,1]\) (d)
Radial PME, \(d=10\): Exact (solid line) and probabilistic (dotted line) solution values at \(t=0\) (a), \(t=0.5\) (b), \(t=1\) (c). The evolution of the \(L^1\) error over the time interval \([0,1]\) (d)
Comparison between the radial stochastic algorithm and the 2-dimensional deterministic approach in the Heaviside case
From now on we will fix \(d=2\) and \(\beta \) given by (1.3).
Test case (A)
Test case (A): Probabilistic (left) and deterministic (right) numerical solution values at \(t=0\)
Test case (A): Probabilistic (left) and deterministic (right) numerical solution values at \(t=0.3\)
Test case (A): Probabilistic (left) and deterministic (right) numerical solution values at \(t=0.9\)
Test case (A): Evolution of the \(L^1\)-norm of the difference between the two solutions over the time interval \([0, 0.9]\)
Test case (B)
Test case (B): Probabilistic (left) and deterministic (right) numerical solution values at \(t=0\)
Test case (B): Probabilistic (left) and deterministic (right) numerical solution values at \(t=0.46\)
Test case (B): Probabilistic (left) and deterministic (right) numerical solution values at \(t=1.4\)
Test case (B): Evolution of the \(L^1\)-norm of the difference between the two solutions over the time interval \([0, 1.4]\)
Test case (C)
Test case (C): Probabilistic (left) and deterministic (right) numerical solution values at \(t=0\)
Test case (C): Probabilistic (left) and deterministic (right) numerical solution values at \(t=0.33\)
Test case (C): Probabilistic (left) and deterministic (right) numerical solution values at \(t=1\)
Test case (C): Evolution of the \(L^1\)-norm of the difference between the two solutions over the time interval \([0, 1]\)
Remark 8.2
- (i)
The probabilistic algorithm can be parallelized on a graphical processor unit (GPU) such that we can speed-up its time machine execution; on the other hand, for the deterministic algorithm, this operation is far from being obvious.
- (ii)
At this point, even though it provides reliable approximation of the solutions, the implementation of the deterministic algorithm in dimension 2 is not optimal. Indeed, it costs a huge amount of CPU time comparing to the deterministic one-dimensional procedure and to the probabilistic algorithm in dimension 1 and 2.
- (iii)
In general, empirically, the different errors committed by the probabilistic algorithm seem to be reasonable, even though not very good. (a) The general two-dimensional probabilistic algorithm behaves well in the case of an unimodal initial condition. Some difficulties arise in the multimodal case; on the other hand we obtain satisfying results in Fig. 26 which represents an evolution in the Heaviside case of a bimodal and irregular initial condition. (b) The probabilistic algorithm in the radial case behaves quite well for all \( d\ge 2\), if the initial condition is unimodal and the coefficient \(\beta \) is smooth. If \(\beta \) is of Heaviside type, the error becomes more important when \(d =2\). Unfortunately we have no mean to validate the algorithm for larger values than \(d = 2\), in which case we could expect a better performance.
Notes
Acknowledgments
The work of the first and third named authors was supported by the ANR Project MASTERIE 2010 BLAN–0121–01. Part of the work was done during their stay at the Bernoulli Center at the EPFL Lausanne and during the stay of the third named author at Bielefeld University, SFB \(701\) (Mathematik).
References
- 1.Abramowitz, M., Stegun, I.A.: Handbook of Mathematical Functions with Formulas, Graphs, and Mathematical Tables. National Bureau of Standards Applied Mathematics Series 55. For sale by the Superintendent of Documents, U.S. Government Printing Office, Washington, DC (1964)Google Scholar
- 2.Alfonsi, A.: On the discretization schemes for the CIR (and Bessel squared) processes. Monte Carlo Methods Appl. 11, 355–384 (2005)MathSciNetMATHCrossRefGoogle Scholar
- 3.Alt, H.W.: Lineare Funktionalanalysis: Eine anwendungsorientierte Einführung. Springer, New York (2002)MATHGoogle Scholar
- 4.Bak, P.: How Nature Works: The Science of Self-Organized Criticality. Springer, New York (1986)Google Scholar
- 5.Bak, P., Tang, C., Wiesenfeld, K.: Self-organized criticality. Phys. Rev. A 38(1), 364–374 (1988)Google Scholar
- 6.Bantay, P., Janosi, I.M.: Avalanche dynamics from anomalous diffusion. Phys. Rev. Lett. 68, 2058–2061 (1992)CrossRefGoogle Scholar
- 7.Barbu, V.: Analysis and control of nonlinear infinite-dimensional systems. In: Mathematics in Science and Engineering, vol. 190. Academic Press Inc., Boston (1993)Google Scholar
- 8.Barbu, V.: Nonlinear differential equations of monotone types in Banach spaces. In: Springer Monographs in Mathematics. Springer, New York (2010)Google Scholar
- 9.Barbu, V., Blanchard, P., Da Prato, G., Röckner, M.: Self-organized criticality via stochastic partial differential equations. In: Potential Theory and Stochastics in Albac, Theta Ser. Adv. Math. 11, pp. 11–19. Theta, Bucharest (2009)Google Scholar
- 10.Barbu, V., Da Prato, G., Röckner, M.: Stochastic porous media equations and self-organized criticality. Commun. Math. Phys. 285, 901–923 (2009)MATHCrossRefGoogle Scholar
- 11.Barbu, V., Röckner, M., Russo, F.: A stochastic Fokker-Planck equation and double probabilistic representation for the stochastic porous media type equation (in preparation)Google Scholar
- 12.Barbu, V., Röckner, M., Russo, F.: Probabilistic representation for solutions of an irregular porous media type equation: the degenerate case. Probab. Theory Related Fields 151, 1–43 (2011)MathSciNetMATHCrossRefGoogle Scholar
- 13.Barenblatt, G.I.: On some unsteady motions of a liquid and gas in a porous medium. Akad. Nauk SSSR. Prikl. Mat. Meh. 16, 67–78 (1952)MathSciNetMATHGoogle Scholar
- 14.Belaribi, N., Cuvelier, F., Russo, F.: A probabilistic algorithm approximating solutions of a singular PDE of porous media type. Monte Carlo Methods Appl. 17, 317–369 (2011)MathSciNetMATHCrossRefGoogle Scholar
- 15.Belaribi, N., Russo, F.: Uniqueness for Fokker-Planck equation with measurable coefficients and application to the fast diffusion equation. Electron. J. Probab. 17, 1–28 (2012)MathSciNetCrossRefGoogle Scholar
- 16.Benachour, S., Chassaing, P., Roynette, B., Vallois, P.: Processus associés à l’équation des milieux poreux. Ann. Scuola Norm. Sup. Pisa Cl. Sci. 23(4), 793–832 (1996)Google Scholar
- 17.Benilan, P., Crandall, M.G.: The continuous dependence on \(\varphi \) of solutions of \(u_{t}-\Delta \varphi (u)=0\). Indiana Univ. Math. J. 30, 161–177 (1981)MathSciNetMATHCrossRefGoogle Scholar
- 18.Blanchard, P., Röckner, M., Russo, F.: Probabilistic representation for solutions of an irregular porous media type equation. Ann. Probab. 38, 1870–1900 (2010)MathSciNetMATHCrossRefGoogle Scholar
- 19.Brezis, H., Crandall, M.G.: Uniqueness of solutions of the initial-value problem for \(u_{t}-\Delta \varphi (u)=0\). J. Math. Pures Appl. 58(9), 153–163 (1979)Google Scholar
- 20.Cavalli, F., Naldi, G., Puppo, G., Semplice, M.: High-order relaxation schemes for nonlinear degenerate diffusion problems. SIAM J. Numer. Anal. 45:2098–2119 (2007)Google Scholar
- 21.Deelstra, G., Delbaen, F.: Convergence of discretized stochastic (interest rate) processes with stochastic drift term. Appl. Stoch. Models Data Anal. 14, 77–84 (1998)MathSciNetMATHCrossRefGoogle Scholar
- 22.Diop, A.: Sur la discrétisation et le comportement à petit bruit d’EDS multidimensionnelles dont les coefficients sont à dérivées singulières. Ph.D thesis, INRIA (2003)Google Scholar
- 23.Figalli, A.: Existence and uniqueness of martingale solutions for SDEs with rough or degenerate coefficients. J. Funct. Anal. 254, 109–153 (2008)MathSciNetMATHCrossRefGoogle Scholar
- 24.Jourdain, B., Méléard, S.: Propagation of chaos and fluctuations for a moderate model with smooth initial data. Ann. Inst. H. Poincaré Probab. Stat. 34, 727–766 (1998)MATHCrossRefGoogle Scholar
- 25.Karatzas, I., Shreve, S.E.: Brownian motion and stochastic calculus. In: Graduate Texts in Mathematics, vol. 113, 2nd edn. Springer, New York (1991)Google Scholar
- 26.Krylov, N.V.: Controlled diffusion processes. In: Applications of Mathematics, vol. 14. Springer, New York (1980) (Translated from the Russian by A. B. Aries)Google Scholar
- 27.McKean, H.P. Jr.: Propagation of chaos for a class of non-linear parabolic equations. In: Stochastic Differential Equations (Lecture Series in Differential Equations, Session 7, Catholic Univ., 1967). Air Force Office Sci. Res. Arlington, pp. 41–57 (1967)Google Scholar
- 28.Pareschi, L., Russo, G.: Implicit-Explicit Runge-Kutta schemes and applications to hyperbolic systems with relaxation. J. Sci. Comput. 25, 129–155 (2005)MathSciNetMATHGoogle Scholar
- 29.Revuz, D., Yor, M.: Continuous martingales and Brownian motion. In: Grundlehren der Mathematischen Wissenschaften [Fundamental Principles of Mathematical Sciences], vol. 293, 3rd edn. Springer, Berlin (1999)Google Scholar
- 30.Sheather, S.J., Jones, M.C.: A reliable data-based bandwidth selection method for kernel density estimation. J. R. Stat. Soc. Ser. B 53, 683–690 (1991)MathSciNetMATHGoogle Scholar
- 31.Showalter, R.E.: Monotone operators in Banach space and nonlinear partial differential equations. In: Mathematical Surveys and Monographs, vol. 49. American Mathematical Society, Providence (1997)Google Scholar
- 32.Shu, C.: Essentially non-oscillatory and weighted essentially non-oscillatory schemes for hyperbolic conservation laws. In: Advanced Numerical Approximation of Nonlinear Hyperbolic Equations (Cetraro, 1997), Lecture Notes in Mathematics, vol. 1697, pp. 325–432. Springer, Berlin (1998)Google Scholar
- 33.Silverman, B.W.: Density estimation for statistics and data analysis. In: Monographs on Statistics and Applied Probability. Chapman & Hall, London (1986)Google Scholar
- 34.Stroock, D.W., Varadhan, S.R.S.: Multidimensional diffusion processes. In: Classics in Mathematics. Springer, Berlin (2006) (reprint of the 1997 edition)Google Scholar
- 35.Sznitman, A.S.: Topics in propagation of chaos. In: École d’Été de Probabilités de Saint-Flour XIX—1989, Lecture Notes in Mathematics, vol. 1464, pp. 165–251. Springer, Berlin (1991)Google Scholar
- 36.Vazquez, J.L.: Smoothing and decay estimates for nonlinear diffusion equations. In: Equations of Porous Medium Type. Oxford Lecture Series in Mathematics and its Applications, vol. 33. Oxford University Press, Oxford (2006)Google Scholar
- 37.Vazquez, J.L.: The porous medium equation. In: Mathematical Theory. Oxford Mathematical Monographs, The Clarendon Press, Oxford University Press, Oxford (2007)Google Scholar
- 38.Wand, M.P., Jones, M.C.: Kernel smoothing. In: Monographs on Statistics and Applied Probability, vol. 60. Chapman and Hall Ltd., London (1995)Google Scholar














































