Argon Cluster Sputtering Source for ToF-SIMS Depth Profiling of Insulating Materials: High Sputter Rate and Accurate Interfacial Information
- 1.1k Downloads
- 9 Citations
Abstract
The use of an argon cluster ion sputtering source has been demonstrated to perform superiorly relative to traditional oxygen and cesium ion sputtering sources for ToF-SIMS depth profiling of insulating materials. The superior performance has been attributed to effective alleviation of surface charging. A simulated nuclear waste glass (SON68) and layered hole-perovskite oxide thin films were selected as model systems because of their fundamental and practical significance. Our results show that high sputter rates and accurate interfacial information can be achieved simultaneously for argon cluster sputtering, whereas this is not the case for cesium and oxygen sputtering. Therefore, the implementation of an argon cluster sputtering source can significantly improve the analysis efficiency of insulating materials and, thus, can expand its applications to the study of glass corrosion, perovskite oxide thin film characterization, and many other systems of interest.
ᅟ
Keywords
ToF-SIMS Argon cluster SON68 glass Perovskite oxide thin films Sputtering rate Charging alleviationIntroduction
Depth profiling using time-of-flight secondary ion mass spectrometry (ToF-SIMS) has been widely utilized in semiconductor industry for more than 20 years [1]. Recently, it has become increasingly popular in the fields of biology, geology, and novel material research [2]. However, unlike in semiconductor industry, the majority of samples in these new application fields are insulators.
In ToF-SIMS depth profiling analysis, a dual-beam operation composed of a sputtering and an analysis beam is typically used. The analysis beam is optimized for collecting high-quality mass spectra, and the sputtering beam is optimized for high sputter rate, optimum depth resolution, and optimum ionization yield [1]. Two operation modes are generally performed: interlaced mode and non-interlaced mode. In interlaced mode, the beam is active between two analysis shots that are operated quasi-simultaneously. It is commonly applied for depth profiling of conductive or semiconductive samples, having the advantage of time-saving and the ability to provide full depth information [1]. However, for depth profiling of insulating samples, the employment of a low energy (≤10 eV) electron beam is not sufficiently effective to compensate the intensive charge accumulation at the sputtering interface, especially for traditional O2 + and Cs+ sputtering beams (low energy (0.2–2.0 kV) and high current (tens to hundreds nA)) [3]. To this end, non-interlaced mode is proposed, in which the sputtering phases (typically, several seconds each) and the analysis phases (several seconds each) are separated, and charge compensation time slots (several seconds each) are added in between.
Although the non-interlaced mode can effectively alleviate the charging effect to a limited extent, its measurement is normally 3–5 times longer than the interlaced mode if a similar depth resolution is required, making the deep depth profiling (e.g., 1–10 μm) of insulating samples a time-consuming task [3].
Since argon cluster (Arn +) ion sources were implemented in SIMS [4, 5] and subsequently used in X-ray photoelectron spectroscopy (XPS) [6] and ultraviolet photoelectron spectroscopy (UPS) [7], it has been widely applied for the molecular depth profiling of polymers, biological molecules, and other organic materials because they can retain molecular information during the erosion process. In addition, they can provide high sputtering rate, allowing the fast depth profiling of above soft materials [8, 9, 10, 11, 12, 13, 14, 15]. However, the application of Arn + ion source to depth profiling of inorganic insulating materials has rarely been attempted, possibly because of the lesser efficiency-enhancing ionization yield compared with O2 + and Cs+ ion sources for both positive and negative ions.
In this work, we evaluated the performance of an Arn + sputtering source in ToF-SIMS compared with traditional O2 + and Cs+ ion sources in terms of efficiency, accurate interfacial chemical information, and mass resolution in depth profiling of several representative insulating samples. A leached simulated borosilicate nuclear waste glass(SON68), a La0.93Sr0.07CrO3 thin film on a SrTiO3 substrate, and a SrTiO3/SrCrO3 bi-layer film on a SrTiO3 substrate were selected as model systems for our study because of their fundamental and practical importance[16, 17, 18, 19, 20, 21, 22, 23, 24, 25, 26].
Experimental
Materials and Sample Preparation
The components, preparation, and leaching procedure of the SON68 glass have been described elsewhere [20, 27]. In brief, it was made by batching carbonates and oxides of the various metals, melting in a furnace, and quenching on a stainless steel plate. This glass was then pulverized and re-melted to ensure a homogeneous solid. The second melt was poured into molds to produce rectangular bars. Coupons (~10 × 10 × 1 mm3) were cut from the bars and both sides of the coupons were polished. To study the diffusion behavior of Li, the SON68 coupons (natural isotopic abundance for all elements) were submerged in a solution of a dimethyl sulfoxide (DMSO) with dissolved LiCl (6Li enriched, 6Li:7Li = 95:5). The coupons were in contact with the solution at 150°C for 10 d. When the coupons were removed from the vessel, they were rinsed with clean DMSO, water, then ethanol, and dried in an oven.
Epitaxial La0.93Sr0.07CrO3 (in brief, LaSrCrO3) thin films with a thickness of ~66 nm were grown on TiO2-terminated SrTiO3 (001) substrates by molecular beam epitaxy (MBE). The detailed preparation process has been described elsewhere [26]. In brief, the substrates were loaded into an ultrahigh vacuum chamber and heated at 700°C prior to growth. La, Sr, and Cr were evaporated for high-temperature effusion cells, and flux rates were calibrated using a quartz crystal microbalance (QCM). The O2 partial pressure was kept at ~2.0 × 10–6 Torr during growth. The procedures for epitaxial growth of SrTiO3/SrCrO3 on SrTiO3 are essentially the same as those of La0.93Sr0.07CrO3, except that the oxygen line was changed to isotope 18O2. A 50 nm thick SrCrO3 film was grown first on TiO2-terminated SrTiO3, then followed by 50 nm thick SrTiO3.
Depth Profiling
Dual beam depth profiling experiments were performed on a ToF-SIMS instrument (TOF.SIMS5; IONTOF GmbH, Münster, Germany) in the Environmental Molecular Sciences Laboratory (EMSL), located at Pacific Northwest National Laboratory (PNNL). Three sputtering ion sources were available: Arn + (2.5–20 keV), O2 + (0.2–2.0 keV), and Cs+ (0.2–2.0 keV) sources. A 25 keV pulsed Bi+ ion beam was used as the analysis beam, and the analysis area was 100 × 100 μm2 or 50 × 50 μm2 at the center of the sputter crater. Interlaced mode was applied to most measurements because it is more time-efficient than non-interlaced mode. Non-interlaced mode was applied to compare signal intensity, mass resolution, and also to prove the accuracy of interfacial chemical information. Charge compensation was used for all depth profiling measurements. The details for the adjustment of charge compensation and additional information for ToF-SIMS measurement can be found in our previous publication [28].
The depths and crater shapes of sputter craters were measured using a Dektak 6 M stylus profilometer (UT, USA). For convenience, a constant sputter rate was adopted in each measurement. Tapping mode atomic force microscope (AFM) (Digital Instruments (Veeco) Nanoscope III Multimode, Tonawanda, New York, USA) was used to characterize the roughness of the crater bottoms. The craters in LaSrCrO3/SrTiO3 thin film were imaged using TESP silicon probes (Veeco probes) (42 N/m nominal stiffness), operating at a set point of 80% of its free amplitude. Both height and phase data were collected simultaneously during the characterization.
Results and Discussion
Sputter Rate
The Highest Sputter Rates of Different Ion Sources Over Different Analysis Areas on a SON68 Glass Sample
| Sputter source | Beam energy (keV) | Beam current (nA) | Sputter rate at default sputter size 300 × 300 μm2 (nm/s) | Sputter yield (nm3/ion) | Required analysis area (μm2) | |||
|---|---|---|---|---|---|---|---|---|
| 100 × 100 | 50 × 50 | |||||||
| Minimum sputter size (μm) | Maximum sputter rate (nm/s) | Minimum sputter size (μm) | Maximum sputter rate (nm/s) | |||||
| Arn + | 20 | 12.0 | 0.73 ± 0.04 | 0.88 ± 0.08 | 150 | 2.90 ± 0.15 | 100 | 6.50 ± 0.24 |
| 10 | 9.0 | 0.11 ± 0.01 | 0.18 ± 0.01 | 150 | 0.43 ± 0.02 | 100 | 0.97 ± 0.05 | |
| O2 + | 2.0 | 600 | 1.50 ± 0.12 | 0.036 ± 0.001 | 300 | 1.50 ± 0.12 | 250 | 2.20 ± 0.13 |
| 1.0 | 250 | 0.46 ± 0.02 | 0.026 ± 0.003 | 300 | 0.46 ± 0.02 | 250 | 0.66 ± 0.03 | |
| Cs+ | 2.0 | 150 | 0.82 ± 0.03 | 0.079 ± 0.005 | 200 | 1.90 ± 0.11 | 150 | 3.30 ± 0.18 |
| 1.0 | 75 | 0.24 ± 0.01 | 0.046 ± 0.001 | 200 | 0.54 ± 0.03 | 150 | 0.96 ± 0.05 | |
Depth resolution obtained at the interface of the LaSrCrO3/SrTiO3 film. A 100 μm × 100 μm analysis area (with 25 keV Bi+ beam) was used, and the Cr+ profile (Supplementary Figure S2 in the Supporting Materials) was chosen to calculate depth resolution
Surface/Interface Charging
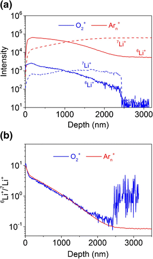
A comparison of interlaced mode depth profiles of 7Li (dash line) and 6Li (solid line) in a SON68 glass sample using 20 keV Arn +(red) and 2 keV O2 + (blue) sputtering beams. (a) Intensity profiles; (b) ratio profiles
A comparison of (a) 28Si+ and (b) 18O– peaks between different sputtering beams and modes on a SON68 glass sample. A 25 keV Bi+ beam was used as analysis beam. For each spectrum, same setting of the analysis (Bi+) beam (e.g., beam current, pulse width, pixel number, and frame number) was used
A Comparison of Mass Resolution and Signal Intensity of 28Si+ and 18O– Peaks with Different Sputtering Beams and Sputtering Modes
| Sputter ion and mode | 28Si+ resolution | 28Si+ area* | Sputter ion and mode | 18O– Resolution | 18O– area* |
|---|---|---|---|---|---|
| 1 keV O2 + interlaced | 4900 | 31% | 1 keV Cs+ interlaced | 1300 | 15% |
| 2 keV O2 + interlaced | 1600 | 1.8% | 2 keV Cs+ interlaced | 1000 | 3.5% |
| 2 keV O2 + non-interlaced | 9900 | 100% | 2 keV Cs+ non-interlaced | 4600 | 100% |
| 20 keV Arn + interlaced | 8200 | 45% | 20 keV Arn + interlaced | 6000 | 25% |
| 20 keV Arn + non-interlaced | 8600 | 52% | 20 keV Arn + non-interlaced | 6600 | 28% |
In a previous publication, we observed that a cluster ion sputtering source might reduce charging at the sputtering interface and enhance signal intensity of secondary ions [29]. In this study, when a 20 keV Arn + ion source was used for the SON68 glass sample, much stronger Li+ signals were observed (Figure 2). The intensity of 7Li+ and 6Li+ was nearly 100 times higher than that observed by using the 2.0 keV O2 + source. In addition, no sudden drop of Li+ signals (as well as the total ion signal, data not shown) occurred at ~2500 nm deep, even until 20 μm depth was reached.
It is worthy to note that using Arn + sputtering under interlaced mode provides not only high sputter rates and strong signal intensities but also good mass resolution. Figure 3 shows the 28Si+ and 18O- peaks from the SON68 sample under different conditions of O2 +, Cs+, and Arn + sputtering. The mass resolution values are summarized in Table 2. The mass resolutions of the 28Si+ peak from interlaced mode 2.0 and 1.0 keV O2 + sputtering are about 1600 and 5000, respectively, whereas the mass resolution from interlaced mode 20 keV Arn + sputtering is about 8200. Non-interlaced mode sputtering provides the best mass resolution, ~9900 for 2.0 keV O2 + and ~8600 for 20 keV Arn +, which can be attributed to an effective charge compensation. A more interesting observation is that the mass resolution of 18O- from Arn + sputtering is better than that from non-interlaced Cs+ sputtering. A plausible explanation is that Cs implantation changes the electric properties of the sputtering interface, whereas Arn + sputtering does not result in this effect. This virtue is very valuable in glass corrosion research. As mentioned earlier, isotopically enriched glass samples have been introduced to elucidate the corrosion mechanisms of glass, and SIMS has been a major technique to characterize isotopic depth profiles in these samples [27]. However, mass interferences have been a problem for interlaced mode O2 + depth profiling. For example, for the ToF-SIMS analysis of 44Ca and 57Fe enriched SON68 glass samples, an interference peak, 28Si16O+ (m/z = 43.972), is very close to 44Ca+ (m/z = 43.956), and a minimum mass resolution of 2700 is required to separate the pair of ions. Similarly, 40Ca16O+ (m/z = 55.958) is very close to 56Fe+ (m/z = 55.935), and a minimum mass resolution of 2500 is required to distinguish them. In practice, at least twice the minimum mass resolution is required to obtain reasonable measurement precision. The traditional solution to obtain decent mass resolution in depth profiling of insulator samples is to use the non-interlaced mode, but the cost in time may not be affordable for many applications.
We already show that with the use of an Arn + sputtering beam, high sputter rates, high mass resolution (>8000), and reasonable signal intensities can be obtained simultaneously. Compared with O2 + or Cs+ sputtering, depth profiling of glass samples using an Arn + sputtering source can dramatically reduce experimental time (9- to 15-fold time-saving) without compromise of data quality. The 9- to 15-fold time-saving is estimated because both interlaced mode and smaller sputter area can be used for “high-speed” Arn + sputtering, but none of them is practical for traditional “high-speed” O2 + or Cs+ sputtering. This advantage is especially important for deep depth profiling (e.g., ≥3 μm) because the measurement time is very long if Cs+ or O2 + sputtering is used.
A schematic illustration of the advantage of Arn + sputtering over O2 + and Cs+ sputtering in depth profiling of insulating samples. Although implantation of O and Cs atoms may improve ionization yield, O2 + and Cs+ sputtering introduces too many residual charges at the sputtering interface on insulating samples. As a comparison, a low charging sputtering interface can be obtained with Arn + sputtering because (1) the high sputter yield per Arn + ion leads to much less charges implanted in to the sputtering interface; and (2) a big Arn + ion would break into many single Ar atoms and small Ar clusters, which can take some charge away from the sputtering interface
16O– and 18O– depth profiles in a SrTiO3/SrCrO3 thin film sample on SrTiO3 substrate. (a) 20 keV 12 nA Arn + sputtering beam under interlaced mode. (b)18O–/ (16O– + 18O–) depth profiles using different sputtering sources and sputtering modes. (c) Depth profiles of normalized oxygen signal (16O– + 18O–) with different sputtering sources and sputtering modes
Ionization Yield
Compared with traditional O2 + and Cs+ sputtering sources, a major concern with the use of Arn + sputtering in inorganic depth profiling is the lack of the capability to enhance ionization yield. For example, the Si+ and Si- signals are weak if an Arn + sputtering beam is used to perform depth profiling of a silicon wafer. Our data show that compared with 20 keV Arn + sputtering, 2.0 keV Cs+ sputtering can provide ~2000 times signal enhancement for Si–, and 2.0 keV O2 + sputtering can provide ~50 times signal enhancement for Si+ on a silicon wafer. However, ionization yield enhancement may not be a problem for glasses or other oxide samples because these materials are generally ionic structures, guaranteeing reasonable ionization yields with any sputtering source. To compare the ionization yield difference, non-interlaced mode depth profiling with O2 +, Cs+, and Arn + sputtering was performed on the SON68 glass sample. The 28Si+ and 18O- peaks were used as representative signals (Figure 3 and Table 2). If defining the 28Si+ peak area from 2.0 keV O2 + non-interlaced mode sputtering was 100%, the relative peak area of the 28Si+ arising from 20 keV Arn + non-interlaced mode sputtering was ~50%. This indicates that for this glass sample, the ionization yield enhancement using O2 + sputtering is only twice that using 20 keV Arn + sputtering, which is much smaller than the enhancement value (~50 times) of Si+ on a silicon wafer. Similarly, Cs+ sputtering provides only a mild ionization yield enhancement (~3 times) compared with Arn + sputtering, and is also much smaller than that (~2000 times) for Si- signal on a silicon wafer. Similar results have been observed on other glass and oxide samples (data not shown here).
Roughness of Sputtering Interface
AFM images at the crater center areas on the 66 nm thick LaSrCrO3 film on SrTiO3 substrate after sputtering with (a) 20 keVArn +, (b) 2.0 keV O2 +, (c) 2.0 keV Cs+ beams. All crater depth is about 100 nm
Conclusions
We have demonstrated the superior performance of an Arn + sputtering source relative to traditional O2 + and Cs+ sputtering sources for depth profiling of various inorganic insulating samples in terms of their sputter rates and accuracy of interfacial chemical information. Because of the high sputter rate and low charge accumulation of the Arn + sputtering source, interlaced mode of dual-beam depth profiling can be easily performed on insulating samples without compromising the depth and interfacial chemical information. Although Arn + sputtering sources may cause some roughness problem, the measurement time of depth profiling of an insulating sample using an Arn + sputtering source can be dramatically reduced compared with traditional O2 + and Cs+ sputtering sources, making it a feasible sputtering source for magnetic SIMS, XPS, and other depth profiling besides ToF-SIMS. The implementation of an Arn + sputtering source can enhance the capabilities for analysis of insulating materials and, thus, expand applications in the field of glass corrosion, study of functional thin films on insulating substrates, and many other potential fields related to insulating materials with complex layered structures.
Notes
Acknowledgments
F.Y.W and Z.Y.W thank the NSFC (grant no. 21127901, 21135006, 21321003) for support. This work was partially funded by the U.S. Department of Energy Office of Nuclear Energy (Fuel Cycle Research and Development) and Office of Environmental Management (Tank Waste Managementt, EM-21). The work was performed at EMSL, a national scientific user facility sponsored by the Department of Energy’s Office of Biological and Environmental Research located at PNNL.
Supplementary material
References
- 1.Vickerman, J.C., Briggs, D.: Tof-Sims: Materials Anaylysis by Mass Spectrometry. ToF-SIMS Materials Analysis by Mass Spectrometry, p. 753. IM Publications and SurfaceSpectra Ltd, Chichester (2001)Google Scholar
- 2.Vickerman, J.C., Briggs, D.: ToF-SIMS Materials Analysis by Mass Spectrometry, 2nd edn, pp. 553–709. IM Publications and SurfaceSpectra Ltd, Chichester (2013)Google Scholar
- 3.Anderson, O., Scheumann, V., Rothhaar, U., Rupertus, V.: Surface and depth profile analysis of insulating samples by ToF-SIMS. Glass Sci. Technol. 77, 159–165 (2004)Google Scholar
- 4.Toyoda, N., Matsuo, J., Aoki, T., Yamada, I., Fenner, D.B.: Secondary ion mass spectrometry with gas cluster ion beams. Nucl. Instrum. Methods B 190, 860–864 (2002)CrossRefGoogle Scholar
- 5.Toyoda, N., Matsuo, J., Aoki, T., Yamada, I., Fenner, D.B.: Secondary ion mass spectrometry with gas cluster ion beams. Appl. Surf. Sci. 203, 214–218 (2003)CrossRefGoogle Scholar
- 6.Miyayama, T., Sanada, N., Bryan, S.R., Hammond, J.S., Suzuki, M.: Removal of Ar+ beam-induced damaged layers from polyimide surfaces with argon gas cluster ion beams. Surf. Interface Anal. 42, 1453–1457 (2010)CrossRefGoogle Scholar
- 7.Yun, D.J., Chung, J., Kim, S.H., Kim, Y., Seol, M., Chung, J., Park, S.H.: Study on the molecular distribution of organic composite films by combining photoemission spectroscopy with argon gas cluster ion beam sputtering. J. Mater. Chem. C 3, 276–282 (2015)CrossRefGoogle Scholar
- 8.Ninomiya, S., Ichiki, K., Yamada, H., Nakata, Y., Seki, T., Aoki, T., Matsuo, J.: Molecular depth profiling of multilayer structures of organic semiconductor materials by secondary ion mass spectrometry with large argon cluster ion beams. Rapid Commun. Mass Spectrom. 23, 3264–3268 (2009)CrossRefGoogle Scholar
- 9.Lee, J.L.S., Ninomiya, S., Matsuo, J., Gilmore, I.S., Seah, M.P., Shard, A.G.: Organic depth profiling of a nanostructured delta layer reference material using large argon cluster ions. Anal. Chem. 82, 98–105 (2010)CrossRefGoogle Scholar
- 10.Rabbani, S., Barber, A.M., Fletcher, J.S., Lockyer, N.P., Vickerman, J.C.: ToF-SIMS with argon gas cluster ion beams: a comparison with C-60(+). Anal. Chem. 83, 3793–3800 (2011)Google Scholar
- 11.Shard, A.G., Havelund, R., Seah, M.P., Spencer, S.J., Gilmore, I.S., Winograd, N., Mao, D., Miyayama, T., Niehuis, E., Rading, D., Moellers, R.: Argon cluster ion beams for organic depth profiling: results from a VAMAS Interlaboratory Study. Anal. Chem. 84, 7865–7873 (2012)CrossRefGoogle Scholar
- 12.Fletcher, J.S., Vickerman, J.C.: Secondary Ion mass spectrometry: characterizing complex samples in two and three dimensions. Anal. Chem. 85, 610–639 (2013)CrossRefGoogle Scholar
- 13.Bich, C., Havelund, R., Moellers, R., Touboul, D., Kollmer, F., Niehuis, E., Gilmore, I.S., Brunelle, A.: Argon cluster ion source evaluation on lipid standards and rat brain tissue samples. Anal. Chem. 85, 7745–7752 (2013)CrossRefGoogle Scholar
- 14.Liao, H.Y., Tsai, M.H., Kao, W.L., Kuo, D.Y., Shyue, J.J.: Effects of the temperature and beam parameters on depth profiles in x-ray photoelectron spectrometry and secondary ion mass spectrometry under C-60(+)-Ar+ cosputtering. Anal. Chim. Acta 852, 129–136 (2014)CrossRefGoogle Scholar
- 15.Cumpson, P.J., Portoles, J.F., Sano, N.: Observations on X-ray enhanced sputter rates in argon cluster ion sputter depth profiling of polymers. Surf. Interface Anal. 45, 601–604 (2013)CrossRefGoogle Scholar
- 16.Lu, P., Fu, Q., Seyfried, W.E., Hedges, S.W., Soong, Y., Jones, K., Zhu, C.: Coupled alkali feldspar dissolution and secondary mineral precipitation in batch systems-2: new experiments with supercritical Co2 and implications for carbon sequestration. Appl. Geochem. 30, 75–90 (2013)CrossRefGoogle Scholar
- 17.Brantley, S.L., Kubicki, J.D., White, A.F.E.: Kinetics of Water-Rock Interaction, pp. 2151–2210. Springer, New York (2008)CrossRefGoogle Scholar
- 18.McGrail, B.P., Icenhower, J.P., Shuh, D.K., Liu, P., Darab, J.G., Baer, D.R., Thevuthasen, S., Shutthanandan, V., Engelhard, M.H., Booth, C.H., Nachimuthu, P.: The structure of Na2O-Al2O3-SiO2 glass: impact on sodium ion exchange in H2O and D2O. J. Non-Cryst. Solids 296, 10–26 (2001)Google Scholar
- 19.Ferrand, K., Abdelouas, A., Grambow, B.: Water diffusion in the simulated French nuclear waste glass son 68 contacting silica rich solutions: experimental and modeling. J. Nucl. Mater. 355, 54–67 (2006)CrossRefGoogle Scholar
- 20.Neeway, J., Abdelouas, A., Grambow, B., Schumacher, S.: Dissolution Mechanism of the SON68 Reference Nuclear Waste Glass: New Data in Dynamic System in Silica Saturation Conditions. J. Nucl. Mater. 415, 31–37 (2011)Google Scholar
- 21.Cailleteau, C., Angeli, F., Devreux, F., Gin, S., Jestin, J., Jollivet, P., Spalla, O.: Insight into silicate-glass corrosion mechanisms. Nat. Mater. 7, 978–983 (2008)CrossRefGoogle Scholar
- 22.Jollivet, P., Angeli, F., Cailleteau, C., Devreux, F., Frugier, P., Gin, S.: Investigation of gel porosity clogging during glass leaching. J. Non-Cryst. Solids 354, 4952–4958 (2008)CrossRefGoogle Scholar
- 23.Valle, N., Verney-Carron, A., Sterpenich, J., Libourel, G., Deloule, E., Jollivet, P.: Elemental and isotopic (Si-29 and O-18) tracing of glass alteration mechanisms. Geochim. Cosmochim. Acta 74, 3412–3431 (2010)CrossRefGoogle Scholar
- 24.Chambers, S.A., Engelhard, M.H., Shutthanandan, V., Zhu, Z., Droubay, T.C., Qiao, L., Sushko, P.V., Feng, T., Lee, H.D., Gustafsson, T., Garfunkel, E., Shah, A.B..., Zuo, J.M., Ramasse, Q.M.: Instability, intermixing and electronic structure at the epitaxial LaAlO3/SrTiO3(001) heterojunction. Surf. Sci. Rep. 65, 317–352 (2010)Google Scholar
- 25.Schlom, D.G., Chen, L.Q., Pan, X.Q., Schmehl, A., Zurbuchen, M.A.: A Thin film approach to engineering functionality into oxides. J. Am. Ceram. Soc. 91, 2429–2454 (2008)CrossRefGoogle Scholar
- 26.Zhang, K.H.L., Sushko, P.V., Colby, R., Du, Y., Bowden, M.E., Chambers, S.A.: Reversible nano-structuring of SrCrO3-δ through oxidation and reduction at low temperature. Nat. Commun. 5, 4669 (2014)Google Scholar
- 27.Neeway, J., Sebastien, K.G.S., Wang, Z., Zhu, Z., Ryan, J.: Low-temperature lithium diffusion in simulated high-level boroaluminosilicate nuclear waste glasses. J. Non-Cryst. Solids 405, 83–90 (2014)CrossRefGoogle Scholar
- 28.Wang, Z., Jin, K., Zhang, Y., Wang, F., Zhu, Z.: Tof-SIMS depth profiling of insulating samples, interlaced mode or non-interlaced mode? Surf. Interface Anal. 46, 257–260 (2014)Google Scholar
- 29.Zhu, Z.H., Shutthanandan, V., Nachimuthu, P.: Using C-60(+) Sputtering to improve detection limit of nitrogen in zinc oxide. Surf. Interface Anal. 43, 661–663 (2011)CrossRefGoogle Scholar
- 30.Sun, S., Wucher, A., Szakal, C., Winograd, N.: Depth profiling of polycrystalline multilayers using a buckminsterfullerene projectile. Appl. Phys. Lett. 84, 5177–5179 (2004)CrossRefGoogle Scholar
- 31.Thompson, K., Lawrence, D., Larson, D.J., Olson, J.D., Kelly, T.F., Gorman, B.: In situ site-specific specimen preparation for atom probe tomography. Ultramicroscopy 107, 131–139 (2007)CrossRefGoogle Scholar






