Electrospray Ionization Mass Spectrometry of Palladium(II) Quinolinylaminophosphonate Complexes
- 887 Downloads
- 2 Citations
Abstract
The mass spectrometric behavior of palladium(II) halide complexes of three types of quinolinylaminophosphonates, diethyl and dibutyl esters of [α-anilino-(quinolin-2-yl)methyl]phosphonic (L1, L2), [α-anilino-(quinolin-3-yl)methyl]phosphonic (L3, L4), and [α-(quinolin-3-ylamino)-N-benzyl]phosphonic acid (L5, L6), was investigated under positive ion electrospray ionization conditions. Each type of ligand forms complexes with different metal–ligand interactions. Mononuclear dihalide adducts cis-[Pd(L1/L2)X2] (1–4) and trans-[Pd(L3/L4)2X2] (5–8) as well as dinuclear tetrahalide complexes [Pd2(L5/L6)3X4] (9–12) (X = Cl, Br) are formed by metal bonding either through the quinoline or both the quinoline and amino nitrogen atoms. The sodiated molecule [M + Na]+ is observed in the mass spectra of all the complexes, and its abundance as well as the fragmentation pathway depend on the type of the complex. In the cis complexes (1–4) the initial decomposition goes under two fragmentation routes: those in which the sodium molecular adduct sequentially loses halides HX/NaX and those in which this loss is in the competition with the loss of dialkyl phosphite. The predominant pathways for decomposition of trans dihalide (5–8) and tetrahalide (9–12) complexes include three competitive reactions; the loss of halides, dialkyl phosphites and the intact phosphonate ligand molecule and its fragments formed by ester dissociation or complete loss of the phosphonate ester moiety. A series of acetonitrile adducts and cluster ions derived from dimolecular clusters [2M + Na]+ were also detected. The most important fragmentation patterns are rationalized and supported by the MS n studies.
Key words
Mass spectrometry Electrospray ionization Tandem mass spectrometry Quinolinylaminophosphonate Palladium(II) complex1 Introduction
Aminophosphonic acids and their derivatives are important class of organophosphorus compounds owing to their wide range of biological properties and numerous applications in the pharmacological and agrochemical fields [1, 2, 3]. As structural analogues of amino acids, their biological activity is mainly displayed through metabolic regulation and inhibition of various metalloenzymes or receptors having an amino acid as a substrate [4]. The differences in size, shape, and basicity of the carboxylate and phosphonate groups might reflect in differences in the enzyme–substrate interactions. The inhibitory action of aminophosphonates enable their use in design of enzyme regulators and application as antibacterial, antimicrobial, neuroactive, antitumor, antiviral, fungicidal, and herbicidal agents [1, 5, 6]. The derivatives containing pyridine and quinoline heterocyclic rings are also very attractive metal-complexing agents that might form biologically important metal complexes. Thus, a number of aminophosphonate complexes of platinum group metals have been found to possess remarkable antitumor activity in vitro [7, 8, 9, 10, 11]. With this regard, there is a steadily growing interest for search of new biologically active aminophosphonate derivatives and their metal complexes, especially esters of α-aminophosphonic acids. Our research program in this area has been directed to the synthesis and characterization of new biologically active palladium(II) and platinum(II) complexes with dialkyl and monoalkyl esters of phosphonic acids derived from quinoline and aniline [8, 9, 12, 13, 14]. It was found that different types of investigated complexes, such as molecular dihalide adducts with trans and cis configuration, mononuclear and binuclear metallocyclic and ion-pair halide salt complexes, have shown good cell growth inhibitory effects. We recently reported the synthesis, structural characterization, and some biological properties of three types of dialkyl quinolinylaminophosphonates [15, 16] and their palladium(II) complexes, mononuclear dihalide adducts either with cis- or trans- configuration, as well as dinuclear tetrahalide complexes [17]. In vitro biological evaluation of these compounds revealed no specific antimicrobial activity, whereas the majority of complexes demonstrated antiproliferative activity, which was especially pronounced in the case of dipalladium tetrahalide complexes of quinolinylaminobenzylphosphonates.
In the present work, the mass spectrometric behavior of the palladium(II) halide complexes of the reported α-anilinoquinolinylmethylphosphonates and α-quinolinylaminobenzylphosphonates was studied under electrospray ionization conditions (positive ions). This is a soft ionization technique, which has been widely used in the structural analysis of non-volatile and thermally labile species as large biomolecules and various coordination metal complexes [18, 19, 20, 21, 22]. ESI-MS enables detection and mass determination of large biomolecules such as proteins and provides investigation of the metallated biomolecules [18, 23, 24, 25]. Recent reports have shown that palladium(II) complexes spontaneously bind methionine, cytidine, and histidine residues and cause hydrolytic cleavage of short peptides [26, 27, 28]. As the ESI-MS method allows pre-existing ions in solution to be very gently transferred to the gas phase with minimum fragmentation, it allows study of inorganic and organometallic chemistry in solution as a complementary technique to NMR spectroscopy and electrochemistry [29]. The ability of ESI-MS to detect and characterize species and reaction intermediates in solution, often at very low concentrations, provides a convenient means of following the pathways of many reactions as well as the reactivity of the complexes in solutions in terms of their stability, ligand exchange, and selectivity.
We observed a number of species in the ESI mass spectra of the investigated palladium quinolinylaminophosphonate complexes, which could be ascribed to several factors such as the halide and/or organophosphorus ligand exchange, the ligand–solvent exchange, as well as the ion–molecule and the ion–ion interactions. Detailed fragmentation pathways of complexes were analyzed by tandem mass spectrometry.
2 Experimental
2.1 Chemicals
Palladium(II) dihalide complexes cis-[Pd(L1/L2)X2] (1–4), trans-[Pd(L3/L4)2X2] (5–8), and dipalladium tetrahalide complexes [Pd2(L5/L6)3X4] (9–12) (X = Cl, Br) were prepared by reaction of diethyl and dibutyl [α-anilino-(quinolin-2-yl)methyl]phosphonate (L1, L2), [α-anilino-(quinolin-3-yl)methyl]phosphonate (L3, L4), and [α-(quinolin-3-ylamino)-N-benzyl]phosphonate (L5, L6), respectively, and Na2[PdX4] (X = Cl, Br) in methanol according to the previously published methods [17].
2.2 Mass Spectrometry
The ESI mass spectrometric measurements were performed on a LCQDeca ion trap instrument (Thermo, San Jose, CA, USA). The ESI parameters for complexes 1–12 were: source voltage in the range 3000–4500 V, entrance capillary voltage in the range 15–35 V, entrance capillary temperature 280 °C, sheat gas flow rate 40 (arbitrary units, a.u.). The ion trap mass spectrometer operated in the positive ion mode. Compounds were dissolved in CH3CN (5–8) or CH3CN/0.1% HCOOH (1–4, 9–12) (to obtain a concentration of 10–6 M). The obtained solutions were injected into the ESI source via a syringe pump (direct infusion) at a flow rate of 10 μL min–1. MS n experiments have been performed by applying supplementary radio frequency voltage in the range 1–2 V to the end-caps of the ion trap in order to make selected ions collide with helium present in the ion trap as a buffer gas at a pressure of 1.1·10–5 Torr. Expected natural abundance isotope cluster patterns for various ion clusters were calculated with the ICR-2LS program [30].
3 Results and Discussion
Palladium(II) quinolinylaminophosphonate complexes 1–12
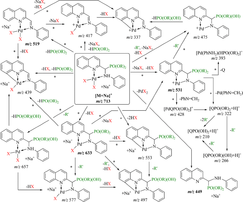
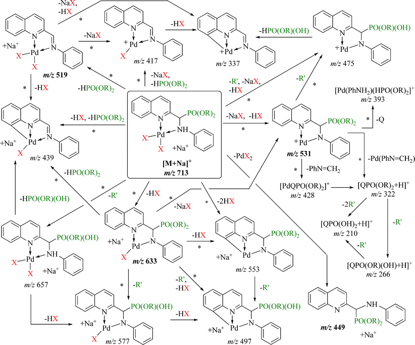
Fragmentation of complex 4 (L = L2, X = Br, R = n-Bu, R' = CH3CH2CH=CH2) according to the data in Table S2 in the Online Resource. Q = quinolin-2-yl, Ph = phenyl. CH3CN adducts are not shown
3.1 Complexes cis-[Pd(L1/L2)X2]
ESI mass spectrum of Complex 1 (L = L1, X = Cl, R = Et, R' = H2C = CH2) in CH3CN/0.1 % HCOOH. Q = quinolin-2-yl, Ph = phenyl
The main fragmentation reactions confirmed by tandem mass spectra are outlined in Scheme 1 for complex 4, as an example of the common pattern for these complexes. Generally, the complex decomposition goes under two fragmentation routes: the first, in which the sodium molecular adduct sequentially loses hydrogen halides (or sodium halides) and the second, in which this loss is in competition with the loss of the part or the whole phosphonate moiety (Figure 2 and Figure S1). These two routes give various types of mono- and dihalidopalladium N,N-chelate ions as well as palladium and monohalidopalladium tridentate N,N,C-chelate fragment ions, most likely formed by cyclopalladation through the C-8 carbon atom of the quinoline ring along with coordination through both, the quinoline and aniline nitrogen atoms.
MS/MS spectra of (a) [M + Na]+ (m/z 713), (b) [(M + Na) – HX]+ (m/z 633), and (c) [(M + Na) – NaX – HX]+ (m/z 531) of complex 4 (L = L2, X = Br, R = n-Bu, R' = CH3CH2CH=CH2)
Among other MS/MS spectra, very informative is the spectrum of the halide-free ion [(M + Na) – NaX – HX]+, which indicates the complete breaking up of this species (Table S2, Figure 3c for 4). Intense peaks assigned to non-palladium species [QPO(OR)2 + H]+, [QPO(OR)(OH) + H]+, and [QPO(OH)2 + H]+ implied that [(M + Na) – NaX – HX]+ ion was the main source of quinolin-2-ylphosphonate species. Worth mentioning here is that these non-palladium species were not found in tandem mass spectra of any other ions except [(M + Na) – HX]+, which is the parent ion for [(M + Na) – NaX – HX]+ (Table S2, Figure 3b).
Fragment ions obtained by loss of the halide ligands may also produce adducts containing coordinated acetonitrile solvent molecule. The usual coordination number of palladium is four, and in the case of at least one vacant coordination place, acetonitrile with known good ligand properties towards palladium could be bonded. When all four palladium coordination places are occupied, no acetonitrile adducts are formed. It is worth noting that the ligand exchange does not take place in acetonitrile solution before ionization, which was confirmed by the proton NMR measurements of complexes. The most abundant acetonitrile adducts are [(M + Na) + CH3CN – NaX – HX]+ at m/z 516 (for 1) and m/z 572 (for 3) as well as [(M + Na) + CH3CN – NaX – HX – PhN=CHX+ at m/z 413 (for 2) with relative intensity of 61%, 35% , and 28%, respectively (Table S1). The abundance of other acetonitrile adducts are less than 14%. In the high-mass region all complexes show cluster ions [(2M + Na) – 2HX]+ and [(2M + Na) – 3HX]+, obtained by loss of hydrogen halides from the sodiated dimer of the complex molecule. In addition, observed ions [(M + Na) + L]+ are probably obtained from clusters formed by addition of one organophosphorus ligand molecule to the sodium adduct of the molecular ion. It is interesting to note that a variety of aggregate ions including dimer and trimer species have been observed in the ESI-MS experiments of some palladium(II) and platinum(II) complexes derived from ethylenediamine, amidine, and azetidinone ligands [21, 35, 36]. As a general remark, it should be pointed out that by increasing the source collision energy, the cluster ions as well as the molecular ions became less abundant and the intensity of the ions obtained by complex fragmentation increased (Figure S2) [37].
3.2 Complexes trans-[Pd(L3/L4)2X2]
ESI mass spectrum of complex 8 (L = L4, X = Br, R = n-Bu) in CH3CN
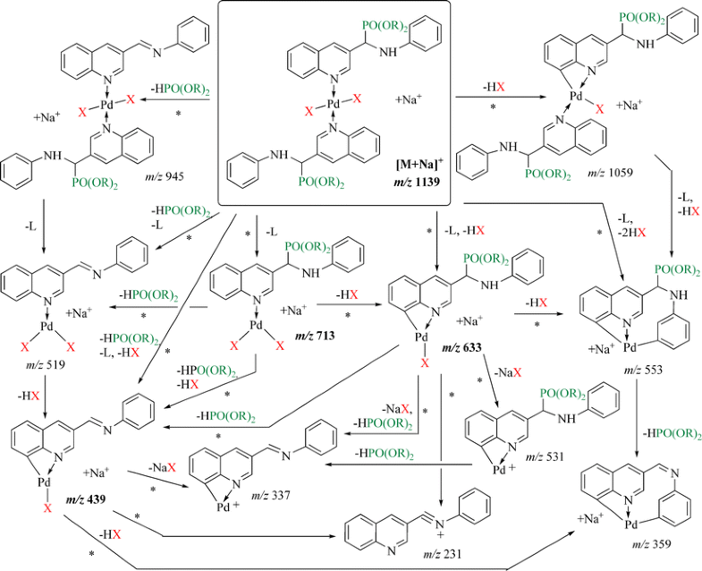
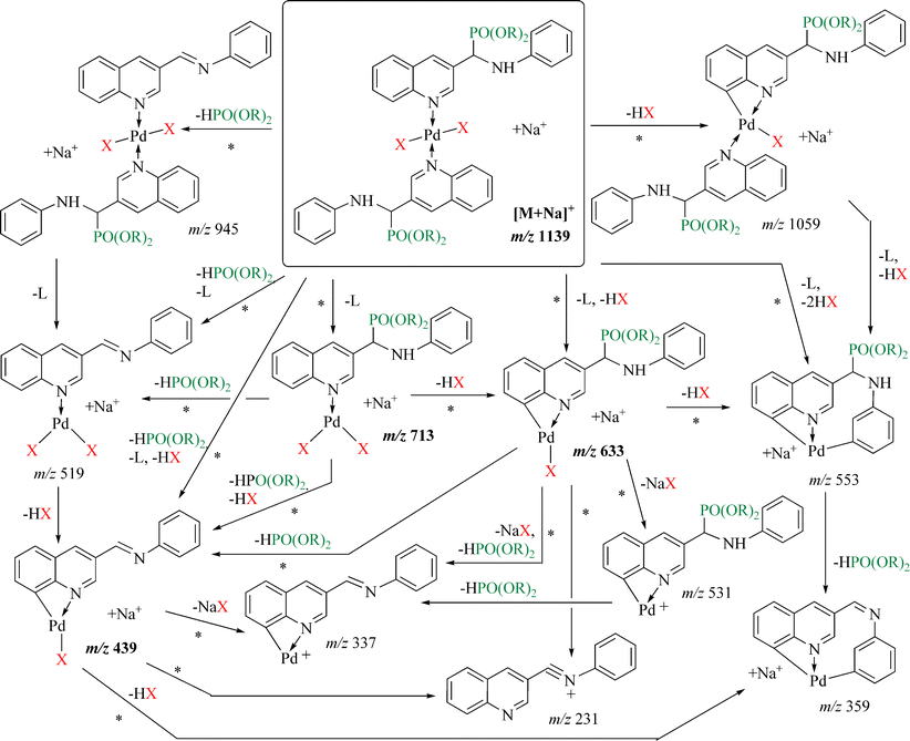
MS/MS spectrum of the molecular ion [M + Na]+ (m/z 1139) of complex 8 (L = L4, X = Br, R = n-Bu). Insets: experimental (lines) and theoretically calculated (bars) isotope patterns of assigned peaks
Fragmentation of complex 8 (L = L4, X = Br, R = n-Bu) according to the data in Table S5 in the Online Resource. CH3CN adducts are not shown
These dehalogenation reactions give monohalidopalladium and palladium C,N-chelates containing both or only one quinolinylphosphonate or quinolinylimine moieties with palladation at the quinoline C-8 atom, as well as C,C,N-palladacycles in which it may be presumed that palladation occurs at the quinoline and aniline carbon atoms (Scheme 2 and Schemes S2, S3 and S4). Formation of such metallated systems is in agreement with the reported high stability of the cyclopalladated complexes with the nitrogen donor ligands, and supports the assumption that in their formation the initial step must involve coordination of the palladium to nitrogen followed by attack on the aromatic ring [38, 39]. The cyclopalladated fragment ions were observed also in mass spectra of a series of palladium complexes with aniline- and quinoline-based ligands [14, 40]. In addition, some cluster ions containing complex molecules in a dimeric form were also formed, and the most abundant in the spectra was [(2M + Na) – 2L]+ (4.3%–21%). Furthermore, adducts of the dimeric species with NaX (or NaCl for bromide complexes 6 and 8) could also be detected (Figure 4, Tables S4, S8, and S9).
As well as in complexes 1–4, the halide ligand exchange may facilitate formation of fragment ions containing coordinated acetonitrile solvent molecule (Figure 5). Fragmentation of all high-mass species mainly goes either by the successive losses of ligand or HX molecules or their combinations (Tables S7, S8 and S9).
3.3 Complexes [Pd2(L5/L6)3X4]
The presence of three ligand molecules and two palladium dihalides in complexes 9–12 leads to more complex spectra with more complicated and extensive fragmentation patterns based on increasing dehalogenation and dephosphorilation processes accompanied by depalladation and the organophosphorus ligand loss. The most abundant fragment ions are listed in Table S11 and the selected MS n spectral data are summarized in Tables S12–S18 and presented in Figures S12–S20 in the Online Resource. The presence of [M + Na]+ ion in the spectra of these complexes supports their dinuclear structure. A number of palladium-containing fragment ions with various structures, e.g., those with one or two palladium ions, with one to four halides, and those with metal bonded to one or two organophosphorus ligand molecules or their fragments are observed. Cyclopalladation occurs at the quinoline or benzyl carbon of one or two ligand molecules (Schemes S5–S8). Analogous to complexes 5–8, potassium adduct ions [(M + K) – PdLX2]+, along with the adducts of complexes with NaX (and NaCl for bromide complexes 10 and 12) are also observed (Tables S11, S16, S17 and S18). Again, losses of ligand, HX, NaX, or HPO(OR)2 molecules constitute the fragmentation patterns of these ions.
ESI mass spectrum of complex 9 (L = L6, X = Cl, R = n-Bu) in CH3CN/0.1% HCOOH
Comparing the spectra of all complexes, few remarks can be made. In general, parts of the mass spectra of dinuclear complexes bellow the m/z values corresponding to [(M + Na) –PdLX2]+ peaks are very similar to the spectra of monopalladium complexes 5–8 due to their closely related fragmentation patterns (e.g., see Figure 4 and Figure S13). Thus, a number of palladium-containing fragment ions with various structures very similar to those in Scheme 2 was assigned (see Scheme S7). High-mass parts of the spectra of these complexes differ and support their mononuclear and dinuclear structure.
Mass spectra of complexes 1–4 differ significantly with respect to the spectra of other two types of complexes. They do not show many high-mass cluster peaks. Chelates break easily and have a rich fragmentation pattern described in Scheme 1. Palladium non-containing species like [QPO(OR)2 + H]+ and its daughter ions are formed and have high intensities. Analogous peaks are absent from the spectra of complexes 5–12 and the reason for this could be found in the subtile difference between the fragmentation of complexes 1–4 and 5–12. In the spectra of 1–4, the ion [(M + Na) – NaX – HX]+ that is the parent ion of the non-palladium containing species is formed easily by elimination of two halides and has intensities in range 24%–64% (Table S1). For other complexes, fragments analogous to [(M + Na) – NaX – HX]+ were assigned as [(M + Na) – L – NaX – HX]+ (5–8) or [(M + Na) – PdL2X2 – NaX – HX]+ (9–12). To produce these species, at least one more fragmentation step is required comparing to the chelate complexes. Thus, these ions have moderate intensities in the mass spectra of complexes 5–12 (Tables S4 and S11) and in MS/MS spectra of [M + Na]+ of 5–8 (Table S5) or [(M + Na) – PdLX2]+ of 9–12 (Table S14). Due to the lack of their parent ions in the case of complexes 5–12, [QPO(OR)2 + H]+ and its daughter ions were not observed with high intensities and in some cases were not present at all. In addition, [(M + Na) – NaX – HX]+ ion of 1–4 is most probably N,N-chelate species in which palladium is avaliable to stimulate breaking of the ligand molecule and forming of the quinolin-2-ylphosphonate species (Scheme 1). In other complexes, [(M + Na) – L – NaX – HX]+ (5–8, Scheme 2) and [(M + Na) – PdL2X2 – NaX – HX]+ (9–12, Scheme 3) are stable cyclopalladated species in which palladium is bound only to quinolinyl group and is situated far from the rest of the ligand molecule. For this reason, metal is not expected to have a signicifant impact in inducing their cleavage. Fragmentation of complexes 5–12 at the end produces mainly [QC≡NPh]+ or [QN≡CPh]+ ions (m/z 231) in which the ligand molecule is only dephosphorylated (Tables S5 and S14).
4 Conclusions
The ESI-MS studies of a series of palladium(II) chloride and bromide complexes with three types of quinolinylaminophosphonates support the structure of these compounds previously determined by traditional spectroscopic and crystallographic techniques. All organophosphorus ligands contain three potential donor atoms, quinoline nitrogen, amino nitrogen, and phosphoryl oxygen, but their coordination behavior towards palladium(II) ion is different. In complexes, either quinoline or both the quinoline and amino nitrogens are involved in metal(s) bonding and forming of the mononuclear dihalide adducts either with cis- or trans- configuration as well as dipalladium tetrahalide complexes containing one bridging and two terminal ligand molecules. The spectra of palladium complexes are characterized by complicated and extensive fragmentation patterns, which depend on the type of the complex. All complexes form the sodium adduct of the parent molecular ion and its intensity is greatest in the case of trans-dihalidopalladium complexes, indicating greater stability of these compounds with respect to the cis-palladium and dipalladium complexes. Decomposition of cis-dihalido complexes starts with two competitive reactions, sequential losses of halides HX/NaX and loss of dialkyl phosphites. On the other side, the fragmentation in trans-dihalido and tetrahalido complexes is more complex, including three competitive fragmentation processes; the loss of halides, dialkyl phosphites, and the intact phosphonate ligand molecule and its fragments. The cleavage of the C–P bond and complete loss of the phosphonate group produces imine species, while various C,N- and C,C,N-cyclopalladated species are formed by the loss of halide molecules. In addition, in the spectra of monopalladium complexes, dinuclear cluster ions are observed, and all types of complexes show a series of acetonitrile adducts. The results of numerous MS n experiments gave detailed insight into the most important fragmentation reactions and structures of the formed species.
Notes
Acknowledgments
The authors gratefully acknowledge financial support granted by the Croatian Ministry of Science, Education, and Sports (grant no. 098-0982915-2950).
Supplementary material
References
- 1.Kafarski, P., Lejczak, B.: Aminophosphonic acids of potential medicinal importance. Curr. Med. Chem. Anti-Cancer Agents 1, 301–312 (2001)CrossRefGoogle Scholar
- 2.Hudson, H.R.: In: Kukhar, V.P., Hudson, H.R. (eds.) Aminophosphonic and Aminophosphinic Acids, Chemistry, and Biological Activity, pp. 443–482. John Wiley and Sons, Chichester (2000)Google Scholar
- 3.Wieczorek, P., Lejczak, B., Kaczanowska, M., Kafarski, P.: Plant-growth-regulating phosphonopeptides. Pest. Sci. 30, 43–57 (1990)CrossRefGoogle Scholar
- 4.Gannouis, P.P., Bartlett, P.A.: Phosphorus amino acid analogues as inhibitors of leucine aminopeptidase. J. Med. Chem. 30, 1603–1609 (1987)CrossRefGoogle Scholar
- 5.Kraicheva, I., Bogomilova, A., Tsacheva, I., Momenkov, G., Troev, K.: Synthesis, NMR characterization, and in vitro antitumor evaluation of new aminophosphonic acid diesters. Eur. J. Med. Chem. 44, 3363–3367 (2009)CrossRefGoogle Scholar
- 6.Kategaonkar, A.H., Pokalwar, R.U., Sonar, S.S., Gawali, V.U., Shingate, B.B., Shingare, M.S.: Synthesis, in vitro antibacterial and antifungal evaluations of new α-hydroxyphosphonate and new α-acetoxyphosphonate derivatives of tetrazolo [1,5-a] quinoline. Eur. J. Med. Chem. 45, 1128–1132 (2010)CrossRefGoogle Scholar
- 7.Klenner, T., Valenzuela-Paz, P., Amelung, F., Münch, H., Zahn, H., Keppler, B.K., Blum, H.: Platinum Phosphonato Complexes with Particular Activity Against Bone Malignancies. An Evaluation of an Experimental Model Highly Predictive for the Clinical Situation. In: Keppler, B.K. (ed.) Metal Complexes in Cancer Chemotherapy, pp. 85–127. VCH, Weinheim (1993)Google Scholar
- 8.Tušek-Božić, Lj, Juribašić, M., Traldi, P., Scarcia, V., Furlani, A.: Synthesis, characterization and antitumor activity of palladium(II) complexes of monoethyl 8-quinolylmethylphosphonate. Polyhedron 27, 1317–1328 (2008). and references thereinCrossRefGoogle Scholar
- 9.Tušek-Božić, Lj, Juribašić, M., Scarcia, V., Furlani, A.: Platinum(II) complexes of 8-quinolylmethylphosphonates: Synthesis, characterization, and antitumor activity. Polyhedron 29, 2527–2536 (2010)CrossRefGoogle Scholar
- 10.Bloemink, M.J., Diederen, J.H., Dorenbos, J.P., Heeterbij, R.J., Keppler, B.K., Reedijk, J.: Calcium ions do accelerate the DNA binding of new antitumor-active platinum aminophosphonate complexes. Eur. J. Inorg. Chem. 10, 1655–1659 (1999)CrossRefGoogle Scholar
- 11.Aranowska, K., Graczyk, J., Checinska, L., Pakulska, W., Ochocki, J.: Antitumor effect of Pt(II) amine phosphonate complexes on sarcoma Sa-180 in mice. Crystal structure of cis-dichlorobis(diethyl-4-pyridylmethyl-phosphonate-κN)platinum(II) hydrate, cis-[PtCl2(4-pmpe)(2)]·H2O. Pharmazie 61, 457–460 (2006)Google Scholar
- 12.Tušek-Božić, Lj, Matijašić, I., Bocelli, G., Calestani, G., Furlani, A., Scarcia, V., Papaioannou, A.: Preparation, characterization, and activity of palladium(II) halide complexes with diethyl 2-quinolylmethylphospohonate (2-dqmp). X-ray crystal structures of trans-[Pd(2-dqmp)2X2] (X=Cl, Br). J. Chem. Soc. Dalton. Trans 20, 195–201 (1991)Google Scholar
- 13.Tušek-Božić, Lj, Matijašić, I., Bocelli, G., Sgarabotto, G., Furlani, A., Scarcia, V., Papaioannou, A.: Preparation, characterization, and activity of palladium(II) halide complexes with diethyl 8-quinolylmethylphosphonate (8-dqmp). X-ray crystal structure of [8-dqmpH]2[PdCl4]·2H2O and [8-dqmpH]2[Pd2Br6]. Inorg. Chim. Acta 185, 229–237 (1991)CrossRefGoogle Scholar
- 14.Tušek-Božić, Lj, Komac, M., Ćurić, M., Lyčka, A., D'Alpaos, M., Scarcia, V., Furlani, A.: Five-membered [C,N] and [N,O] metallocyclic complexes of palladium(II) with monoalkyl [α-(4-benzeneazoanilino)-N-benzyl]phosphonates: Synthesis, characterization, and antitumor activity. Polyhedron 19, 937–948 (2000)CrossRefGoogle Scholar
- 15.Tušek-Božić, Lj, Juribašić, M., Komac, M., Cmrečki, V., Zrinski, I., Balzarini, J., De Clercq, E.: Eco-friendly synthesis and biological evaluation of new quinoline-based dialkyl α-aminophosphonates. Lett. Org. Chem. 4, 332–338 (2007)CrossRefGoogle Scholar
- 16.Juribašić, M., Stella, L., Marinić, Ž., Vinković, M., Traldi, P., Tušek-Božić, Lj: Unexpected course of Kabachnik-Fields reaction in the microwave synthesis of quinoline-based α-aminophosphonates. Lett. Org. Chem. 6, 11–16 (2009)CrossRefGoogle Scholar
- 17.Juribašić, M., Molčanov, K., Kojić-Prodić, B., Bellotto, L., Kralj, M., Zani, F., Tušek-Božić, Lj: Palladium (II) complexes of quinolinylaminophosphonates: Synthesis, structural characterization, antitumor and antimicrobial activity. J. Inorg. Biochem. 105, 867–879 (2011)CrossRefGoogle Scholar
- 18.Fenn, J.B., Mann, M., Meng, C.K., Wong, S.F., Whitehouse, C.M.: Electrospray ionization—principles and practice. Mass Spectrom. Rev. 9, 37–70 (1990)CrossRefGoogle Scholar
- 19.Cole, R.B.: Electrospray Ionization Mass Spectrometry; Fundamentals, Instrumentation, and Applications. John Wiley and Sons, New York (1997)Google Scholar
- 20.Gaskell, S.J.: Electrospray—principles and practice. J. Mass Spectrom. 32, 677–688 (1997)CrossRefGoogle Scholar
- 21.Jirásko, R.; Holčapek, M. Structural analysis of organometallic compounds with soft ionization mass spectrometry. Mass Spectrom. Rev. Doi. 10.1002/mas.20309.
- 22.Traeger, P.J.C.: Electrospray mass spectrometry of organometallic compounds. Int. J. Mass Spectrom. 200, 387–401 (2000)CrossRefGoogle Scholar
- 23.Jardine, I.: Electrospray ionization mass spectrometry of biomolecules. Nature 345, 747–748 (1990)CrossRefGoogle Scholar
- 24.Gaskell, S.J.: The contribution of mass spectrometry to the biosciences. Appl. Surf. Sci. 252, 6404–6408 (2006)CrossRefGoogle Scholar
- 25.Milović, M., Kostić, N.M.: Palladium (II) complex as a sequence-specific peptidase: Hydrolytic cleavage under mild conditions of X-Pro peptide bonds in X-Pro-Met and X-Pro-His segments. J. Am. Chem. Soc. 125, 781–788 (2003)CrossRefGoogle Scholar
- 26.Anbalagan, V., Stipdonk, M.J.V.: Gas-phase investigation of Pd(II) alanine complexes with small native and derivatized peptides containing histidine. J. Mass Spectrom. 38, 982–989 (2003)CrossRefGoogle Scholar
- 27.Jensen, S.S., Ariza, X., Nielsen, P., Vilarrasa, J., Kirpekar, F.: Collision-induced dissociation of cytidine and its cerivatives. J. Mass Spectrom. 42, 49–57 (2007)CrossRefGoogle Scholar
- 28.Kobetić, P.R., Gembarovski, D., Višnjevac, A., Žinić, B., Gabelica-Marković, V.: ESI-MS studies of palladium (II) complexes with 1-(p-toluenesulfonyl)cytosine/cytosinato ligands. J. Mass Spectrom. 45, 51–64 (2010)Google Scholar
- 29.Kebarle, P.: Electrospray: from ions in solution to ions in the gas phase, what we know now. Mass Spectrom. Rev. 28, 898–917 (2009)CrossRefGoogle Scholar
- 30.Anderson, G. A.; Bruce, J. E.; Smith, R. D. ICR-2LS ver. 2.18. 1996.Google Scholar
- 31.Ehrsson, H.C., Wallin, I.B., Andersson, A.S., Edlund, P.O.: Cisplatin, transplatin, and their hydrated complexes—separation and identification using porous graphitic carbon and electrospray-ionization mass spectrometry. Anal. Chem. 67, 3608–3611 (1995)CrossRefGoogle Scholar
- 32.Aliprantis, A.O., Canary, J.W.: Observation of catalytic intermediates in the Suzuki reaction by electrospray mass spectrometry. J. Am. Chem. Soc. 116, 6985–6986 (1994)CrossRefGoogle Scholar
- 33.Poon, G.K., Bisset, G.M.F., Mistry, P.: Electrospray-ionization mass spectrometry for analysis of low-molecular-weight anticancer drugs and their analogs. J. Am. Soc. Mass Spectrom. 4, 588–595 (1993)CrossRefGoogle Scholar
- 34.Henderson, W., Evans, C.: Electrospray mass spectrometric analysis of transition-metal halide complexes. Inorg. Chim. Acta 294, 183–192 (1999)CrossRefGoogle Scholar
- 35.Bach, S.B.H., Sepeda, T.G., Merrill, G.N., Walmsley, J.A.: Complexes of dibromo(ethylenediamine)-palladium(II) observed from aqueous solutions by electrospray mass spectrometry. J. Am. Soc. Mass Spectrom. 16, 1461–1469 (2005)CrossRefGoogle Scholar
- 36.Bertani, R., Seraglia, R., Favretto, D., Michelin, R.A., Mozzon, M., Mazzega Sbovata, S., Sassi, A.: Electrospray mass spectrometry of Pt(II) amidine complexes of the type cis- and trans-[PtCl2{NH = C(R)NR'R''}2] and trans-[PtCl2(RCN){NH = C(R)NR'R''}]. Inorg. Chim. Acta 356, 357–364 (2003)CrossRefGoogle Scholar
- 37.Catinella, S., Pelizzi, N., Favretto, S., Seraglia, R., Traldi, P.: On the detailed mechanisms of collision-induced dissociation experiments performed by electrospray ion trap. Rapid Commun. Mass Spectrom. 16, 1897–1902 (2002)CrossRefGoogle Scholar
- 38.Constable, E.C.: Cyclometallated complexes incorporating a heterocyclic donor atom: The interface of coordination chemistry and organometallic chemistry. Polyhedron 3, 1037–1057 (1984)CrossRefGoogle Scholar
- 39.Omae, I.: Organometallic intramolecular-coordination compounds containing a nitrogen donor ligand. Chem. Rev. 79, 287–321 (1979)CrossRefGoogle Scholar
- 40.Tušek-Božić, Lj, Ćurić, M., Traldi, P.: Thermal and spectroscopic study of dialkyl [α-(4-benzeneazoanilino)-N-benzyl]phosphonates and their palladium(II) complexes. Inorg. Chim. Acta 254, 49–55 (1997)CrossRefGoogle Scholar








