Abstract
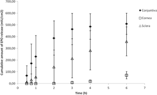
The aim of this study is to test the permeation of human recombinant erythropoietin (rHuEPO) across conjunctiva, cornea, and sclera in an ex vivo model. Thirty fresh pig eyes were collected from a slaughterhouse. Conjunctivas (n = 10), corneas (n = 10), and scleras (n = 10) were surgically dissected from surrounding tissues. Ocular membranes were placed into Franz diffusion cells and rHuEPO was administered into the donor phase of each cell, except for control samples. Samples were collected from the receptor phase at seven time points, from 30 min to 6 h of incubation. Erythropoietin (EPO) was quantified by enzyme-linked immunosorbent assay (ELISA) technique. Ocular membranes immunohistochemistry was also performed at the end of the study. EPO was detected in all test samples. After 6 h of incubation, conjunctiva was the most permeable membrane to rHuEPO (509.3 ± 89.8 mIU/cm2, corresponding to 0.52% of the total rHuEPO administered on the donor phase), followed by sclera (359.1 ± 123.7 mIU/cm2, corresponding to 0.35%) and finally cornea (71.0 ± 31.8 mIU/cm2, corresponding to 0.07%). Differences between ocular membranes’ permeation were statistically significant (p < 0.001). EPO immunostaining signal was positive for the three ocular membranes. We have demonstrated in an ex vivo model that porcine conjunctiva, cornea, and sclera are permeable to rHuEPO protein. These are promising results concerning ocular EPO administration.
This is a preview of subscription content, access via your institution.


References
- 1.
Aghdam KV, et al. Erythropoietin in ophthalmology: a literature review. J Curr Ophthalmol. 2016;28:5–11.
- 2.
Fisher JW. Landmark advances in the development of erythropoietin. Exp Biol Med. 2010;235:1398–411.
- 3.
Luo W, et al. The protective effect of erythropoietin on the retina. Ophthalmic Res. 2015;53:74–81.
- 4.
Grasso G, et al. The role of erythropoietin in neuroprotection: therapeutic perspectives. Drug News Perspect. 2007;20(5):315–20.
- 5.
Bartesaghi S, et al. Erythropoietin: a novel neuroprotective cytokine. Neurotoxicology. 2005;26(5):923–8.
- 6.
Bond WS, Rex TS. Evidence that erythropoietin modulates neuroinflammation through differential action on neurons, astrocytes, and microglia. Front Immunol. 2014;22(5):523.
- 7.
Zhong L, et al. Erythropoietin promotes survival of retinal ganglion cells in DBA/2J glaucoma mice. Invest Ophthalmol Vis Sci. 2007;48(3):1212–8.
- 8.
Tsai JC, et al. Intravitreal administration of erythropoietin and preservation of retinal ganglion cells in an experimental rat model of glaucoma. Curr Eye Res. 2005;30:1025–31.
- 9.
Zhong Y-S, et al. Erythropoietin with retrobulbar administration protects retinal ganglion cells from acute elevated intraocular pressure in rats. J Ocul Pharmacol Ther. 2008;24(5):453–9.
- 10.
King CE, et al. Erythropoietin is both neuroprotective and neuroregenerative following optic nerve transection. Exp Neurol. 2007;205(1):48–55.
- 11.
Lagreze WA, et al. Feasibility of intravitreal erythropoietin injections in humans. Br J Ophthalmol. 2009;93:1667–71.
- 12.
Zhong Y, et al. Promotion of neurite outgrowth and protective effect of erythropoietin on the retinal neurons of rats. Graefes Arch Clin Exp Ophthalmol. 2007;245(12):1859–67.
- 13.
Sahoo SK, et al. Nanotechnology in ocular drug delivery. Drug Discov Today. 2008;13(3–4):144–51.
- 14.
Jordan J, Ruiz-Moreno JM. Advances in the understanding of retinal drug disposition and the role of blood–ocular barrier transporters. Expert Opin Drug Metab Toxicol. 2013;9(9):1181–92.
- 15.
Resende AP, et al. Alternative route for erythropoietin ocular administration. Graefes Arch Clin Exp Ophthalmol. 2013;251(8):2051–9.
- 16.
Resende AP, et al. Ocular erythropoietin penetration after subconjunctival administration in glaucomatous rats. Ophthalmic Res. 2015;56(2):104–10.
- 17.
Pescina S, et al. Permeation of proteins, oligonucleotide and dextrans across ocular tissues: experimental studies and a literature update. J Pharm Sci. 2015;104(7):2190–202.
- 18.
Kim YC, et al. Ocular delivery of macromolecules. J Control Release. 2014;28(190):172–81.
- 19.
Bento R, et al. Recombinant human erythropoietin in sports: a review. Rev Bras Med Esporte. 2003;9(3):181–90.
- 20.
Hosoya K, Lee VHL, Kim KJ. Roles of the conjunctiva in ocular drug delivery: a review of conjunctival transport mechanisms and their regulation. Eur J Pharm Biopharm. 2005;60:227–40.
- 21.
Maggs D et al. Slatter’s fundamentals of veterinary ophthalmology. 4th ed. Saunders; 2008.
- 22.
Samuelson D. Ophthalmic anatomy. In: Gelatt K et al. Wiley-Blackwell; 2013. p. 39–170.
- 23.
Wen H, et al. Characterization of human sclera barrier properties for transscleral delivery of bevacizumab and ranibizumab. J Pharm Sci. 2013;102:892–903.
- 24.
Pescina S, et al. In-vitro permeation of bevacizumab through human sclera: effect of iontophoresis application. J Pharm Pharmacol. 2010;62:1189–94.
- 25.
Ambati J, et al. Diffusion of high molecular weight compounds through sclera. Invest Ophthalmol Vis Sci. 2000;41(5):1181–5.
- 26.
Agarwal P, Rupenthal ID. In vitro and ex vivo corneal penetration and absorption models. Drug Deliv Transl Res. 2016;6(6):634–47.
- 27.
Development and validation of in vitro release testing methods for semisolid formulation. Particle Sciences, Inc. Technical Brief. 2009; 10.
- 28.
Remington LA. Cornea and sclera. In: Remington LA, editor. Clinical anatomy and physiology of the visual system. 3rd ed. Saint Louis: Butterworth-Heinemann; 2012. p. 10–39.
- 29.
Nomoto H, et al. Pharmacokinetics of bevacizumab after topical, subconjunctival, and intravitreal administration in rabbits. Invest Ophthalmol Vis Sci. 2009;50:4807–13.
- 30.
Demetriades AM, et al. Trans-scleral delivery of antiangiogenic proteins. J Ocul Pharmacol Ther. 2008;24:70–9.
- 31.
Lee VHL, Hosoya K. Drug delivery to the posterior segment. In: Ryan SJ, editor. Retina. 3rd ed. St Louis, MO: Mosby; 2001. p. 2270–85.
- 32.
Koevary SB. Pharmacokinetics of topical ocular drug delivery: potential uses for the treatment of diseases of the posterior segment and beyond. Curr Drug Metab. 2003;4(3):213–22.
- 33.
Zhu A, Martosella J & Duong PT. Peptide mapping of glycoprotein erythropoietin by HILIC LC/MS and RP-LC/MS. Agilent Technologies, Inc., USA May 10, 2013.
- 34.
Shirley Ding SL et al. Revisiting the role of erythropoietin for treatment of ocular disorders. Eye (London, England). 2016; 30(10):1293–1309.
Acknowledgements
This work was supported by the European Society of Veterinary Ophthalmology Research Grant (ESVO-2015) and by Fundação para a Ciência e Tecnologia (FCT) through Project UID/CVT/00276/2013 of Centro de Investigação Interdisciplinar em Sanidade Animal (CIISA) and through project UID/DTP/04138/2013 of Research Institute for Medicines (iMed.ULisboa).
Author information
Affiliations
Corresponding author
Ethics declarations
Conflict of interest
The authors declare that they have no conflicts of interest.
Rights and permissions
About this article
Cite this article
Resende, A.P., Silva, B., Braz, B.S. et al. Ex vivo permeation of erythropoietin through porcine conjunctiva, cornea, and sclera. Drug Deliv. and Transl. Res. 7, 625–631 (2017). https://doi.org/10.1007/s13346-017-0399-y
Published:
Issue Date:
Keywords
- Erythropoietin
- Ocular membranes
- Ex vivo model
- Drug delivery