Temporal water quality response in an urban river: a case study in peninsular Malaysia
Abstract
Ambient water quality is a prerequisite for the health and self-purification capacity of riverine ecosystems. To understand the general water quality situation, the time series data of selected water quality parameters were analyzed in an urban river in Peninsular Malaysia. In this regard, the stations were selected from the main stem of the river as well as from the side channel. The stations located at the main stem of the river are less polluted than that in the side channel. Water Quality Index scores indicated that the side channel station is the most polluted, breaching the Class IV water quality criteria threshold during the monitoring period, followed by stations at the river mouth and the main channel. The effect of immediate anthropogenic waste input is also evident at the side channel station. The Organic Pollution Index of side channel station is (14.99) ~3 times higher than at stations at river mouth (4.11) and ~6 times higher than at the main channel (2.57). The two-way ANOVA showed significant difference among different stations. Further, the factor analysis on water quality parameters yielded two significant factors. They discriminated the stations into two groups. The land-use land cover classification of the study area shows that the region near the sampling sites is dominated by urban settlements (33.23 %) and this can contribute significantly to the deterioration of ambient river water quality. The present study estimated the water quality condition and response in the river and the study can be an immediate yardstick for base lining river water quality, and a basis for future water quality modeling studies in the region.
Keywords
Dissolved oxygen Biochemical oxygen demand Organic pollution index Urban river Peninsular MalaysiaIntroduction
Rivers are lifelines for human societies around the globe, embodying immense influence in shaping civilizations. The catchment area usually supports a wide variety of flora and fauna, creating a very diverse ecosystem composed of ecologically delicate and inter related, physical, chemical and biological entities. However, rivers are also the subsequent waste disposal arena for anthropogenic activities and are pathways of waste materials to coastal regions. Although the global water crisis tends to be viewed as a water quantity problem, water quality is increasingly being acknowledged as a central factor in the water crisis (Belayneh and Bhallamudi 2012). The quality of river water is a deterministic factor for the healthy, sustainable survival of the riverine ecosystem, which primarily depends on the Waste Assimilative Capacity (WAC) of the water. WAC is the natural ability of the river to withstand or assimilate a certain amount of pollutants without impairing ambient water quality conditions (Krom 1986; Tett et al. 2011). Increasing anthropogenic contaminants affect WAC and water quality is deteriorated beyond WAC of a water body (VishnuRadhan et al. 2014, 2015). This can disrupt the prevailing ecological homeostasis, ultimately affecting the riverine health.
In water quality management, the determination of each water quality variable is important to obtain collective information on water quality, as it can provide concise information on overall environmental conditions (Chen et al. 2007). Practically, it is difficult to assess water quality based on each parameter/variable. The water quality indices of significant and influential parameters aim at giving a single value to the water quality of a source on the basis of a system which translates their existing concentrations in a sample into a single value. These values are used as communication tools by regulatory agencies to describe the quality or health of a specific environmental system (Abbasi and Abbasi 2012). The WQI is frequently utilized as a mathematical tool for evaluating water quality status around the globe (Shirodkar et al. 2010; Lumb et al. 2011; Gazzaz et al. 2012; Dede et al. 2013).
In urban areas, streams are often degraded as they are diverted through storm water runoff systems, removal of riparian vegetation, and the construction of roads, parking lots and buildings (Buffers 2000). Riparian zones have diversified functions that include preserving bank stability, functioning as habitats for streamside living organisms and also playing a critical role in preserving the water quality of rivers by filtering out pollutants from runoff (Zainudin et al. 2013). Water quality is a major factor impacted by anthropogenic action at landscape scales which is a principal threat to the ecological integrity of river ecosystems (Allan 2004). Land-use changes often affect the water quality over a long historical period (Garnier et al. 2013) and future land-use changes will exacerbate the water quality problems (Whitehead et al. 2013). The changes in ecosystem goods and services that result from land-use change revert on the drivers of land-use change (Lambin et al. 2003). Many studies have quantified the effect of population increase on land use/land cover (LULC) (Meyers and Turner 1992; Wu et al. 2013; Meyfroidt et al. 2013) and the associated anthropogenic activities can ultimately reflect on the water quality of natural waters. Thus, LULC can give a generalized impression on the state of a river’s water quality in an urban area.
To understand the water quality situation and contribution of anthropogenic activities on the water quality degradation in an urban river, an investigation was performed using time series data on water quality parameters. In this regard, a suite of selected referred water quality indices, GIS and statistical techniques were attempted in the present study. The present study is first of its kind in Sg. Sri Melaka and will contribute to the baseline information for future water quality studies in the region.
Materials and methods
Study area
a Study area (red mark); b station locations in the study area
Description of the study area
| Station | Coordinates | Description | Mean depth (m) | Mean width (m) |
|---|---|---|---|---|
| SG1 | 2°13.262′N, 102° 12.487′E | Ambient water sampling station, located on side channel itself and adjacent to residential area. Stagnant water conditions | 0.62 | 7.51 |
| SG2 | 2°13.333′N, 102° 12.185′E | Ambient water sampling station, located on the main stem of Sg. Malim/Sg. Sri Melaka | 2.08 | 27.42 |
| SG3 | 2°13.007′N, 102° 12.186′E | Ambient water sampling station, near to the river mouth | 2.48 | 33.50 |
Water quality data
Methodologies adapted for the sample analysis
| No | Parameter | Unit | Analysis method |
|---|---|---|---|
| pH @ 25 °C | – | APHA 4500-H-B | |
| Temperature | °C | APHA 2550 | |
| Biochemical oxygen demand @ 20 °C, 5 days | mg/L | APHA 5210 B | |
| Chemical oxygen Demand | mg/L | APHA 5220 B | |
| Total suspended solids | mg/L | APHA 2540 D | |
| Dissolved oxygen | mg/L | APHA 4500 O G | |
| Oil and grease | mg/L | APHA 5520 B D | |
| Phosphorus | mg/L | APHA 4500 P B, C | |
| Ammoniacal nitrogen | mg/L | APHA 4500 NH3 B | |
| E. coli | CFU/100 mL | In House Method LTM 7.1 Based on APHA 9222 B, 20th edition |
Water Quality Index
The primary method employed to classify the river water quality was the Water Quality Index (WQI) and the National Water Quality Standards (NWQS), a set of standards derived based on beneficial uses of water in Malaysia. The NWQS defined classes I–V, referred to classification of rivers or river segments based on the descending order of water quality: Class I being the best and Class V being the worst (Zainudin 2010). A WQI ascribes quality value to an aggregate set of measured parameters. It usually consists of sub-index values assigned to each pre-identified parameter by comparing its measurement with a parameter-specific rating curve, optionally weighted, and combined into the final index. The purpose of a WQI is to summarize large amounts of water quality data for a specific river into simple values (i.e., one number and a statement such as “good”) (Saffran et al. 2001).
The WQI primarily used in Malaysia, also referred to as the Malaysian Department of Environment-Water Quality Index (DOE-WQI), is an opinion-poll formula where a panel of experts is consulted on the choice of parameters and on the weightage to each parameter (DOE 1985). The WQI is calculated using six parameters WQI: DO, BOD, COD, TSS, NH3-N and pH with the inclusion of intermediate sub-indices. Calculations are performed on the water quality parameters to find out their respective sub-indices. The sub-indices are named SIDO, SIBOD, SICOD, SIAN, SISS and SIPH. The best fit equations used for the estimation of the six sub-indices are shown below (DOE 2007).
where x is the concentration in mg/L for all parameters except pH.
DOE water quality index classification
| Parameters | Unit | Classes | ||||
|---|---|---|---|---|---|---|
| I | II | III | IV | V | ||
| Ammoniacal nitrogen | mg/L | <0.1 | 1 0.1–0.3 | 0.3–0.9 | 0.9–2.7 | >2.7 |
| Biochemical oxygen demand (BOD5) | mg/L | <1 | 1–3 | 3–6 | 6–12 | >12 |
| Chemical oxygen demand (COD) | mg/L | <10 | 10–25 | 25–50 | 50–100 | >100 |
| Dissolved oxygen | mg/L | >7 | 5–7 | 3–5 | 1–3 | <1 |
| pH | – | >7 | 6–7 | 5–6 | <5 | >5 |
| Total suspended solids (TSS) | mg/L | <25 | 25–50 | 50–150 | 150–300 | >300 |
| Water quality index (WQI) | mg/L | >92.7 | 76.5–92.7 | 51.9–76.5 | 31.0–51.9 | <31.0 |
DOE water quality classification based on water quality index
| Parameters | Index range | ||
|---|---|---|---|
| Clean | Slightly polluted | Polluted | |
| SIBOD | 91–100 | 80–90 | 0–79 |
| SIAN | 92–100 | 71–91 | 0–70 |
| SISS | 76–100 | 70–75 | 0–69 |
| WQI | 81–100 | 60–80 | 0–59 |
Organic pollution index
Statistical analysis
The descriptive statistics and two-way ANOVA on the time series data of water quality parameters were performed to identify significant differences between stations and time. PROC MEANS procedure of Statistical Analytical Systems (SAS) 9.3 (SAS 2012) was used to estimate the descriptive statistics, viz. minimum value, maximum value, mean, standard error and coefficient of variation for various water quality parameters. The significant source of variation (station, time) was detected by analysis of variance adopting the two-way ANOVA using the PROC GLM procedure of SAS 9.3 (SAS 2012). The ANOVA was followed by Tukey’s HSD test for analyzing the grouping among the factors (station or time) using the ‘MEANS’ statement in PROC GLM procedure of SAS 9.3 (SAS 2012). Further, the ten water quality parameters were subjected to factor analysis using PROC FACTOR procedure of SAS 9.3 (SAS 2012) to test whether the water quality parameters are effective in discriminating different stations. Factor analysis is a statistical method used to describe variability among observed, correlated variables in terms of a potentially lower number of unobserved variables called factors. For example, it is possible that variations in four observed variables mainly reflect the variations in two unobserved variables. Factor analysis searches for such joint variations in response to unobserved latent variables. The observed variables are modeled as linear combinations of the potential factors, plus “error” terms. The information gained about the interdependencies between observed variables can be used later to reduce the set of variables in a dataset. Computationally, this technique is equivalent to low rank approximation of the matrix of observed variables. In the factor analysis, the water quality parameters which loaded heavily on the first and second factors were identified. The variables loaded on different factors were selected based on Hatcher’s scratching procedure (Hatcher 2003). The statistical procedures were carried out using software platforms of STATISTICA (Hill and Lewicki 2007) and SAS 9.3 (SAS 2012).
Land-use land cover classification
An area of 321 sq. km surrounding the sampling site is analyzed for the land-use land cover classification using ArcGIS 10.2 and ERDAS Imagine 2013 to explore the general contribution by anthropogenic activities towards water quality of the study area. Landsat 7 ETM + satellite imagery having 30 meter resolution from USGS earth explorer is downloaded for the year 2010. This image is used to perform geo referencing and a final RGB band true color and false color imagery is prepared using layer stack tool in ERDAS Imagine 2013. Imagery resolution is increased to 15 m by pan merging technique to increase the accuracy of the results. The final image obtained after preprocessing the satellite imagery is used for classification. Supervised classification is carried out using ERDAS Imagine 2013 for land-use land cover assessment of the study area. The image is classified into four major classes, i.e., vegetation, water bodies, barren land and urban settlements. Area of classes is calculated using histogram value of different bands in true color imagery.
Results and discussion
Descriptive statistics for the water quality parameters
| Variable | Mean | Min | Max | Coeff of variation (%) |
|---|---|---|---|---|
| NH3-N | 1.52 ± 0.32 | 0.005 | 9.86 | 177.11 |
| BOD | 3.64 ± 0.18 | 2 | 8 | 42.35 |
| COD | 32.08 ± 1.99 | 4 | 71 | 52.6 |
| DO | 2.84 ± 0.15 | 0.62 | 6.2 | 45.18 |
| E. coli | 134.27 ± 7.8 | 34.64 | 322.65 | 49.27 |
| P | 0.36 ± 0.03 | 0.1 | 1.14 | 60.67 |
| TSS | 61.17 ± 3.54 | 18 | 160 | 49.12 |
| Temp | 30.03 ± 0.1 | 25.8 | 31.8 | 2.78 |
| pH | 5.05 ± 0.06 | 4.13 | 6.23 | 9.28 |
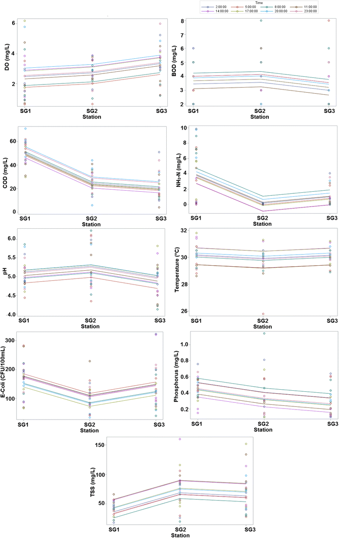
Temperature values at all stations have shown a decreasing trend and acidic pH prevailed throughout the observation period. At SG2 and SG3, DO followed the decreasing trend, similar to temperature, and at SG1 low DO is observed as the flow is stagnant most of the time. High BOD and COD were observed at SG1 and SG2 in comparison with the station at the river mouth, SG3. The lower COD and BOD values at SG3 may be probably due to the fast pollutant flushing towards the sea. Similarly, Low TSS values observed at SG1 may be due to the stagnant nature of the side channel in comparison with the main channel. Almost similar trends of high phosphorous at all the stations indicated the anthropogenic addition from an adjacent residential area. High NH3-N and E. coli were observed at SG1 compared to other stations.
Interaction plots of time and stations
Mean sum of squares from analysis of variance for water quality parameters
| NH3-N | BOD | COD | DO | E. coli | P | TSS | Temperature | pH | |
|---|---|---|---|---|---|---|---|---|---|
| Station (2)a | 86.91** | 2.26NS | 6175.54** | 4.82* | 26816.32** | 0.22** | 7289.04** | 0.45NS | 0.51NS |
| Time (7)a | 4.2NS | 1.13NS | 91.42NS | 1.98NS | 2314.15NS | 0.05NS | 1125.4NS | 2.07** | 0.13NS |
| Error (62)a | 5 | 2.52 | 116.55 | 1.51 | 3,884.75 | 0.04 | 671.55 | 0.55 | 0.22 |
| R square | 0.4 | 0.07 | 0.64 | 0.2 | 0.22 | 0.25 | 0.35 | 0.31 | 0.12 |
Mean value classifications from Tukey’s Studentized Range (HSD) Test
| NH3-N | BOD | COD | DO | E. coli | P | TSS | Temperature | pH | |
|---|---|---|---|---|---|---|---|---|---|
| SG1 | 3.66a | 3.75a | 50.46a | 2.47b | 165.86a | 0.46a | 41.29b | 30.11a | 5.05a |
| SG2 | 0.04b | 3.88a | 24.92b | 2.72ab | 99.26b | 0.34ab | 73.83a | 29.87a | 5.19a |
| SG3 | 0.85b | 3.3a | 20.88b | 3.34a | 137.68ab | 0.27b | 68.38a | 30.09a | 4.90a |
Factor analysis of the data
| Rotated factor pattern | ||||
|---|---|---|---|---|
| Factor 1 | Factor 2 | Factor 3 | ||
| Flow | 0.46757 | 0.51151 | 0.06980 | |
| pH | 0.10362 | 0.20495 | 0.35686 | |
| Temp | −0.02756 | −0.14756 | 0.98867 | |
| E. coli | 0.54637 | 0.13466 | 0.32721 | |
| BOD | −0.15676 | −0.40814 | −0.20186 | |
| NH3-N | 0.68682 | 0.01245 | 0.00922 | |
| TSS | −0.41986 | 0.58361 | 0.17438 | |
| COD | 0.60564 | −0.34967 | 0.03079 | |
| DO | 0.01152 | 0.44724 | 0.43950 | |
| P | 0.10006 | −0.62242 | 0.06879 | |
| Eigen value | Difference | Proportion | Cumulative | |
| 1 | 3.70031028 | 1.50303926 | 0.6105 | 0.6105 |
| 2 | 2.19727102 | 1.37272101 | 0.3625 | 0.9730 |
The scatter plot of the first and second factor scores obtained from the factor analysis of water quality parameters across the sampling locations
Water quality index (WQI) score for Sg. Malim/Sg. Sri Melaka
SG2 is located on the upstream segment of the river and water quality conditions here can be considered to be moderate, with a consistent Class III WQI rating. The relatively low pollutant levels indicated that the upstream land-use activities appear to exert a marginal impact on the in-stream water quality. The water quality status at SG2 (main stem) is observed to be between Classes II and III of the NWQS for majority of the constituents measured. DO levels, however, are still relatively low as reflected in the low in situ DO readings. SG3 is located near the mouth and reflects the impact of the side channel towards the water quality (SG1), post-confluence. Despite this fact, there is a very clear concentration increment post-confluence with the channel. The overall WQI score depletes to a lower value most of the time while still being within the Class III denotation. Some increment in organic levels (BOD and COD) was observable, though the most significant increase in SG2 was for NH3-N, P and E. coli.
Organic pollution Index at three stations
Land-use land cover classification carried out using ERDAS Imagine 2013
Classifications by land-use land cover assessment of the study area
| Classes | Area in sq km | Total area (%) |
|---|---|---|
| Vegetation | 112.27 | 34.97 |
| Water bodies | 14.43 | 4.50 |
| Barren land | 87.60 | 27.30 |
| Urban settlements | 106.70 | 33.23 |
Conclusion
The short-term water quality trend is analyzed for an urban river. The low DO levels will lead to the mortality of aquatic flora/fauna, the decomposition of which further decreases the availability of already depleted DO levels. This can eventually drive the riverine ecosystem from oxic to hypoxic and then to anoxic conditions. Understanding the water quality trend is a prerequisite in sustainable management of the river water and adjacent ecosystem. This also governs the self-purification capacity of the river and will aid in following the national water quality standards and keep the ambient conditions of the river. The present study is also a base for future water quality modeling studies for predicting long-term changes in the era of climate change and increased anthropogenic pressures.
Notes
Acknowledgments
The authors thank Director, CSIR-National Institute of Oceanography, Goa, for his support and the project participants for their involvement in data collection. Renjith VishnuRadhan acknowledges a research fellowship from Council of Scientific and Industrial Research (CSIR), India. This work was initiated when the first author visited IIUM, Malaysia.
Supplementary material
References
- Abbasi T, Abbasi SA (2012) Water quality indices. Elsevier, OxfordCrossRefGoogle Scholar
- Allan JD (2004) Landscapes and riverscapes: the influence of land use on stream ecosystems. Annu Rev Ecol Evol Syst 35:257–284CrossRefGoogle Scholar
- Asry Z, Samsudin AR, Yaacob WZ, Yaakub J (2012) Groundwater investigation using electrical resistivity imaging technique at Sg. Udang, Malaka, Malaysia. Bull Geol Survey Malays 58:55–58Google Scholar
- Belayneh M, Bhallamudi S (2012) Optimization model for management of water quality in a tidal river using upstream releases. J Water Resour Prot 4:149–162CrossRefGoogle Scholar
- Ben Belgacem F (2012) Uniqueness for an ill-posed reaction-dispersion model, application to organic pollution in stream-waters. Inverse Probl Imaging 6:163–181CrossRefGoogle Scholar
- Buffers RF (2000) Effects on water quality. Virginia Cooperative Extension PublicationGoogle Scholar
- Chen C, Tang S, Pan Z, Zhan H, Larson M, Jönsson L (2007) Remotely sensed assessment of water quality levels in the Pearl River Estuary, China. Mar Pollut Bull 54:1267–1272CrossRefGoogle Scholar
- Chin A (2006) Urban transformation of river landscapes in a global context. Geomorphology 79:460–487CrossRefGoogle Scholar
- Dede OT, Telci IT, Aral MM (2013) The use of water quality index models for the evaluation of surface water quality: a case study for Kirmir Basin, Ankara, Turkey. Water Qual Expo Health 5:41–56CrossRefGoogle Scholar
- DOE (Department of Environment Malaysia) (1985) Development of water quality criteria and standards for malaysia. Department of Environment, MalaysiaGoogle Scholar
- DOE (Department of Environment Malaysia) (2007) Malaysia environmental quality report 2006. In: Chapter 3: river water quality. Sasyaz Holdings Sdn Bhd. 24 ppGoogle Scholar
- Garnier J, Brion N, Callens J, Passy P, Deligne C, Billen G, Servais P, Billen C (2013) Modeling historical changes in nutrient delivery and water quality of the Zenne River (1790s–2010): the role of land use, waterscape and urban wastewater management. J Mar Syst 128:62–76CrossRefGoogle Scholar
- Gazzaz NM, Yusoff MK, Aris AZ, Juahir H, Ramli MF (2012) Artificial neural network modeling of the water quality index for Kinta River (Malaysia) using water quality variables as predictors. Mar Pollut Bull 64:2409–2420CrossRefGoogle Scholar
- Haider H, Ali W, Haydar S (2013) Evaluation of various relationships of reaeration rate coefficient for modeling dissolved oxygen in a river with extreme flow variations in Pakistan. Hydrol Process 27:3949–3963CrossRefGoogle Scholar
- Hatcher L (2003) A step by step approach to using SAS for factor analysis and structural equation modelling. SAS Institute Inc, CaryGoogle Scholar
- Hill T, Lewicki P (2007) STATISTICS: methods and applications. StatSoft, TulsaGoogle Scholar
- Krom MD (1986) An evaluation of the concept of assimilative capacity as applied to marine waters. Ambio 15:208–214Google Scholar
- Lambin EF, Geist HJ, Lepers E (2003) Dynamics of land-use and land-cover change in tropical regions. Annu Rev Environ Resour 28:205–241CrossRefGoogle Scholar
- Lumb A, Sharma TC, Bibeault JF (2011) A review of genesis and evolution of water quality index (WQI) and some future directions. Water Qual Expo Health 3:11–24CrossRefGoogle Scholar
- Meyers WB, Turner BL II (1992) Human population growth and global land use/cover change. Annu Rev Ecol Syst 23:39–61CrossRefGoogle Scholar
- Meyfroidt P, Lambin EF, Erb KH, Hertel TW (2013) Globalization of land use: distant drivers of land change and geographic displacement of land use. Curr Opin Environ Sustain 5:438–444CrossRefGoogle Scholar
- Saffran K, Cash K, Hallard K, Neary B, Wright R (2001) CCME water quality index 1.0 user’s manual. Canadian water quality guidelines for the protection of aquatic life, Canadian environmental quality guidelines. Canadian Council of Ministers of the EnvironmentGoogle Scholar
- SAS Institute SAS/STAT (2012) User’s guide, version 9.2, 4th edn, vol 1. SAS Institute, CaryGoogle Scholar
- Shirodkar PV, Pradhan UK, Fernandes D, Haldankar SR, Rao GS (2010) Influence of anthropogenic activities on the existing environmental conditions of Kandla Creek (Gulf of Kutch). Curr Sci India 98:815–828Google Scholar
- Tett P, Portilla E, Gillibrand PA, Inall M (2011) Carrying capacity and assimilative capacities: the ACExR-LESV model for sea loch aquaculture. Aquac Res 42:51–67CrossRefGoogle Scholar
- VishnuRadhan R, Vethamony P, Zainudin Z, Kumar VK (2014) Waste assimilative capacity of coastal waters along Mumbai megacity using MIKE21 and WASP simulation models. Clean 42:295–305Google Scholar
- VishnuRadhan R, Sagayadoss J, Seelan E, Vethamony P, Shirodkar P, Zainudin Z, Shirodkar S (2015) Southwest monsoon influences the water quality and waste assimilative capacity in the Mandovi estuary (Goa state, India). Chem Eco 31:217–234CrossRefGoogle Scholar
- Wei GL, Yang ZF, Cui BS, Chen H, Bai JH, Dong SK (2009) Impact of dam construction on water quality and water self-purification capacity of the Lancang River, China. Water Resour Man 23:1763–1780CrossRefGoogle Scholar
- Whitehead PG, Crossman J, Balana BB, Futter MN, Comber S, Jin L, Skuras D, Wade AJ, Bowes MJ, Read DS (2013) A cost-effectiveness analysis of water security and water quality: impacts of climate and land-use change on the River Thames system. Philos Trans R Soc A 371:20120413CrossRefGoogle Scholar
- Wu KY, Ye XY, Qi ZF, Zhang H (2013) Impacts of land use/land cover change and socioeconomic development on regional ecosystem services: the case of fast-growing Hangzhou metropolitan area, China. Cities 31:276–284CrossRefGoogle Scholar
- Zainudin Z (2010) Benchmarking river water quality in Malaysia. Jurutera, pp 12–15Google Scholar
- Zainudin Z, Ansari AH, Baharudin H (2013) Riparian zone management and rehabilitation in Malaysia through restorative justice. Adv Environ Biol 7:3264–3270Google Scholar
Copyright information
Open AccessThis article is distributed under the terms of the Creative Commons Attribution 4.0 International License (http://creativecommons.org/licenses/by/4.0/), which permits unrestricted use, distribution, and reproduction in any medium, provided you give appropriate credit to the original author(s) and the source, provide a link to the Creative Commons license, and indicate if changes were made.





