Simultaneous removal of heavy metals from aqueous solution by natural limestones
- 2.2k Downloads
- 13 Citations
Abstract
Two natural limestone samples, collected from the Campanian–Maastrichtian limestones, Tunisia, were used as adsorbents for the removal of toxic metals in aqueous systems. The results indicated that high removal efficiency could be achieved by the present natural limestones. Among the metal ions studied, Pb2+ was the most preferably removed cation because of its high affinity to calcite surface. In binary system, the presence of Cu2+ effectively depressed the sorption of Cd2+ and Zn2+. Similarly Cu2+ strongly competed with Pb2+ to limestone surface. In ternary system, the removal further decreased, but considerable amount of Pb2+ and Cu2+ still occurred regardless of the limestone sample. The same behavior was observed in quadruple system, where the selectivity sequence was Pb2+ > Cu2+ > Cd2+ > Zn2+. From these results, it was concluded that the studied limestones have the required technical specifications to be used for the removal of toxic metals from wastewaters.
Keywords
Heavy metals Limestone Sorption Precipitation Competitive effects WastewaterIntroduction
Numerous activities including metal plating, fertilizer industry, mining operations, metallurgy, battery manufacturing and textile dyeing generate a huge volume of wastewater contaminated with various metals (Eloussaief and Benzina 2010; Eloussaief et al. 2011, 2012; Sdiri et al. 2012a). These metals constitute a real threat for the environment because of their adverse effects on living organisms and water quality (Barhoumi et al. 2009; Messaoudi et al. 2009). Therefore, the levels of such pollutants in water body have to be reduced to the minimum. The use of natural sorbent for removing various metals from wastewater has been found to be an effective alternative. Especially, the use of natural limestones as cheap medium for toxic metals removal has been investigated by multiple researchers (Aziz et al. 2001; Sanchez and Ayuso 2002; Godelitsas et al. 2003; Prieto et al. 2003; Komnitsas et al. 2004; Cave and Talens-Alesson 2005; Rouff et al. 2006; Aziz et al. 2008; Sdiri et al. 2012b), pointing out that limestones could be an efficient natural geological materials for the treatment of heavy metals in contaminated water. Martins et al. (2004) mentioned that zinc sorption was favored as water hardness (i.e., Ca2+) increased. Al-Degs et al. (2006) also studied the process that governs the interaction between Pb2+ and Zn2+ and calcite (eventually calcium). They mentioned that based on some theoretical assumptions, the removal of lead should be preferred over zinc. The released calcium in the solution was in tight relationship with the removed metal (i.e., lead and zinc). These may serve as a guide when studying the interactive behavior of calcium and metals. However, most of the reported metal removal efficiency of limestone dealt with single-element system. Desired intensive remediation is usually concerned with contaminated water that contains more than one heavy metal. To date, no attempt has been made to study the interactive mechanisms involved in metal–carbonates interactions in mixed systems. Therefore, the present study provided an attempt to (1) examine the adsorption behavior of several divalent metals onto natural limestones in single and multi-element systems, (2) to determine the mechanisms involved in the removal processes, (3) to study the competitive sorption of Pb2+, Cd2+, Cu2+ and Zn2+ in single, binary, ternary and quadruple systems and (4) to discuss the feasibility of using natural limestones from Tunisia in wastewater cleanup.
Materials and methods
Limestones samples used
Two limestone samples (S and Z) of the Campanian–Maastrichtian Abiod formation were collected from the outcroppings in the areas of Gafsa (southern Tunisia, Z samples) and Bizerte (northern Tunisia, S sample) where the geological particularities of the material allow its use in a wide range of industrial and environmental applications (Bouaziz et al. 2007; Aloui and Chaabani 2007). The collected limestone blocks were crushed, sieved and a grain size of less than 210 μm was used for batch sorption.
All of the chemical reagents were of analytical grade supplied by Wako Pure Chemical Industries, Ltd. (Japan). Ultrapure water (UPW) produced with a Milli-Q system (Millipore Corp., France) was used throughout the experiments. Working standards were prepared by the dilution of the stock solution (1,000 mg/L), prepared by dissolving proper amount of copper, cadmium, lead and zinc chloride in 100 mL of hydrochloric acid (0.1 mol/L). Solutions of 0.1 M HCl and 0.1 M NaOH were used for pH adjustment.
Batch sorption
Batch sorption, a technique commonly used to obtain data on the removal efficiency of a given sorbent under static conditions, was selected as an appropriate technique in the current study. Polypropylene tubes containing 20 mL of metal solution and 3 g/L of limestone powder from the <210 μm-sized samples (S or Z) were shaken at 200 rpm at 25 °C for 60 min to reach equilibrium. In single, binary and multi-element systems, 10 mg/L of each metal was used as an initial concentration to achieve similar concentration for all systems (molar concentration: [Pb] = 4.82 × 10−5 mol/L, [Cd] = 8.89 × 10−5 mol/L, [Cu] = 1.57 × 10−4 mol/L and [Zn] = 1.52 × 10−4 mol/L). For instance, in quadruple system, 5 mL of each metal stock solution (1,000 mg/L) were introduced in 500 mL volumetric flask and then diluted with UPW to obtain an initial concentration of 10 mg/L for each metal. The initial pH of the solution was adjusted to 6 with 0.1 M HCl and 0.1 M NaOH prior to mixing with limestone powder (Sdiri et al. 2012b). After shaking, 10 mL of supernatant were withdrawn and filtered through a 0.2 μm syringe-driven filter (Millex-LG, PTFE, Millipore Corp., Ireland). After the reaction, the sample solutions were stored at 4 °C until analysis for Pb2+, Cd2+, Cu2+ and Zn2+ with an ICP-AES instrument, Optima 7300 DV series (PerkinElmer Inc., Tokyo, Japan). The amount of a metal removed from the solution was calculated as the difference between initial and final concentrations. The same experimental conditions were maintained for mixed systems (i.e., binary, ternary and quadruple mixtures). All experiments were run in triplicate.
Results and discussion
Characterization of limestone samples
Chemical composition of the studied limestone samples (by weight %)
| Sample | CaCO3 | SiO2 | Al2O3 | Fe2O3 | K2O | MnO | SO3 | SrO | TiO2 | Total |
|---|---|---|---|---|---|---|---|---|---|---|
| S | 76.671 | 16.856 | 3.003 | 2.056 | 0.831 | 0.117 | ND | 0.228 | 0.238 | 100 |
| Z | 99.609 | 0.391 | ND | ND | ND | ND | ND | ND | ND | 100 |
XRD patterns of the studied limestone samples
FTIR spectra of the studied limestone samples
Sorption experiments of heavy metals by a batch method
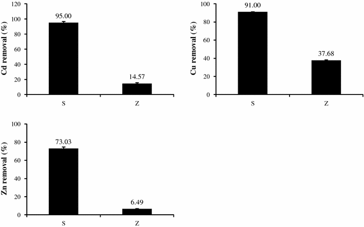
Sorption in single-element system
Sorption experiments of the selected metal cations were performed by shaking the known amount of natural limestone powder with metal solution at room temperature (25 °C). The initial concentration of metal was kept at 10 mg/L (i.e., [Pb] = 4.82 × 10−5 mol/L, [Cd] = 8.89 × 10−5 mol/L, [Cu] = 1.57 × 10−4 mol/L and [Zn] = 1.52 × 10−4 mol/L). The dose of limestone sample was 3 g/L and the heavy metal solution of pH 6 was introduced. Preliminary results showed that Pb2+ was totally removed under the experimental conditions of this study (Sdiri et al. 2011). This indicates that the removal of lead ions by limestone is predominantly governed by the precipitation of lead carbonate (Sanchez and Ayuso 2002; Davis et al. 2006; Karageorgiou et al. 2007). The lower precipitation pH of PbCO3 (pH 5.3) and the solubility product constant (Ksp = 7.4 × 10−14 at 25 °C) would explain this phenomenon. Above that pH value, PbCO3 solid phase should be formed, leading to high sorption capacity, since equilibrium pH increased to 7.7 after the addition of limestone. Several previous works confirmed that carbonate precipitation was especially effective for the removal of lead (Godelitsas et al. 2003; Rouff et al. 2006). That is why, subsequent experiments in single-element systems focused only on Cd2+, Cu2+ and Zn2+ sorption. In binary and multi-component systems, Pb2+ was re-introduced because of its decreased removal percentage under competitive conditions.
While the theoretical precipitation of CdCO3 (Ksp = 1 × 10−12 at 25 °C) begins at pH 8.5, an initial chemisorption step may also serve as a removal mechanism (Pickering 1983). Our results clearly showed that higher removal efficiency from the lower grade limestone sample (S) was probably related to its higher specific surface area, combined with elevated concentrations of silica and other impurities, as indicated earlier in this paper. To get more insights on the removal mechanisms, the dissolved calcium during the present sorption study was measured and compared in the case of Pb and Cd removal by limestone. It was confirmed that the presence of lead favored calcite dissolution, while cadmium inhibited calcium carbonate dissolution to some extent. Calcium concentration exceeded 40 mg/L in the case of lead removal, but less than 25 mg/L during the removal of cadmium regardless of the limestone sample. Similar findings were reported by Alkattan et al. (2002), Martin-Garin et al. (2003) and Cubillas et al. (2005) while studying the effect of metal sorption on calcite dissolution.
Sorption of Cu, Cd and Zn in single system
Sorption in binary system
Sorption of Pb2+, Cd2+, Cu2+ and Zn2+ in binary systems
Physical characteristics of the studied cations (Kinraide and Yermiyahu 2007)
| Cation | RBS | PE | IR | IP | HR | \( - \log K_{{{\text{H}}_{ 2} {\text{O,M}}}} \) | HI |
|---|---|---|---|---|---|---|---|
| Ca2+ | 1.44 | 1 | 0.99 | 6.11 | 4.12 | 12.7 | 0.181 |
| Cd2+ | 2.15 | 1.69 | 0.97 | 8.99 | 4.26 | 10.1 | 0.081 |
| Cu2+ | 2.66 | 1.9 | 0.73 | 7.73 | 4.19 | 7.5 | 0.104 |
| Pb2+ | 2.68 | 2.33 | 1.19 | 7.42 | 4.01 | 7.6 | 0.131 |
| Zn2+ | 2.2 | 1.65 | 0.74 | 9.39 | 4.3 | 9 | 0.115 |
Inhibitory effect (%) of a competing metal on other metals sorption onto limestones
| Sample | Inhibitor | Inhibited | |||
|---|---|---|---|---|---|
| Pb2+ | Cd2+ | Cu2+ | Zn2+ | ||
| S | Pb2+ | – | 0.330 | 2.970 | 0.001 |
| Cd2+ | 50.822 | – | 69.441 | 45.768 | |
| Cu2+ | −3.991 | 13.934 | – | −7.187 | |
| Zn2+ | −36.933 | 62.625 | 4.217 | – | |
| Z | Pb2+ | – | 8.582 | 75.002 | 0.003 |
| Cd2+ | 60.603 | – | 81.949 | 41.935 | |
| Cu2+ | 62.520 | 45.806 | – | 39.039 | |
| Zn2+ | −531.741 | – | 100 | – | |
Sorption in ternary system
Sorption of Pb, Cd, Cu and Zn in ternary systems
Removal percentage of heavy metals in ternary system by natural limestone (in %)
| Metal | Sample | Pb–Cd–Cu | Pb–Cd–Zn | Pb–Cu–Zn | Cd–Cu–Zn |
|---|---|---|---|---|---|
| Pb | S | 78.66 | 90.75 | 89.72 | |
| Z | 14.45 | 76.42 | 20.14 | ||
| Cd | S | 11.11 | 31.33 | 21.40 | |
| Z | 0.31 | 2.11 | 1.23 | ||
| Cu | S | 62.04 | 83.43 | 76.50 | |
| Z | 7.99 | 7.23 | 22.23 | ||
| Zn | S | 16.38 | 18.27 | 17.19 | |
| Z | 1.13 | 0.35 | 0.57 |
Sorption in quadruple system
Sorption of Pb, Cd, Cu and Zn in mixed systems
Interaction with calcium
Released calcium in single and multi-element systems
Discussion
The removal percentages of metal cations in single and multi-element systems were compared. In single element removal, the studied limestone samples revealed higher removal efficiency than do in mixed systems. Furthermore, the limestone samples used in this study have variable chemical composition that may explain the difference in the metal adsorptive capacities. Al-Degs et al. (2006) mentioned that, based on conventional theory, metals with higher electronegativity should adsorb more readily as was the case of the studied metals. The same theory suggested that metals of higher hydrolysis constants have better adsorptive capacity (Appel et al. 2008). Moreover, differences in limestone affinity for the studied metals (i.e., Pb2+, Cd2+, Cu2+ and Zn2+) are mainly contingent upon those metals physico-chemical properties including electronegativity, ionic radius, hydrated radius, hydrolysis constant among others (Apiratikul and Pavasant 2006; Appel et al. 2008). This assumption can give a reasonable explanation for the higher removal of Pb2+ and Cu2+ compared to Cd2+ and Zn2+. For example, Pauling electronegativity of Pb2+, Cu2+, Cd2+ and Zn2+ are 2.33, 1.90, 1.69 and 1.65, respectively. Our experimental results showed that limestone sample’s affinity followed the order Pb2+ > Cu2+ > Cd2+ > Zn2+, which is consistent with the electronegativity values. Furthermore, the hydrated radius showed the sequence Zn2+ = 4.3 Å > Cd2+ = 4.26 Å > Cu2+ = 4.19 Å > Pb2+= 4.01 Å, indicating that smaller radius favored metal interaction with the sorbent surface (Appel et al. 2008). Numerous studies, including Godelitsas et al. (2003), Al-Degs et al. (2006) and Karageorgiou et al. (2007), reported that metals of ionic radius close to that of Ca2+ adsorb stronger. According to those works, Cd2+ should have higher sorption capacity than Cu2+ and Zn2+; however, this was not the case for the present study. In multi-element system, physical properties of metals still play an important role in the removal process. Srivastava et al. (2005) found that lead had a higher affinity than copper, which in turn had a higher affinity than cadmium and zinc. He stated that cadmium could not effectively compete with other metals because of its restricted adsorption to charge sites. Among the metal ions studied, Pb2+ was the most preferably removed cation because of its high affinity to calcite surface. Considering this observation, Pagnanelli et al. (2003) concluded that the metal with highest affinity is not significantly influenced by the presence of other heavy metals in solutions. However, the present study showed that the presence of copper strongly inhibited the removal of lead, especially in the pure limestone (Z sample). As for S limestone sample, the presence of copper slightly decreased lead removal. This was attributed to the availability of numerous binding sites, the presence of which may render the competitive effect insignificant (Apiratikul and Pavasant 2006). It is worth noting that the presence of Pb2+ in the system more effectively decreased the sorption capacity of Cu2+ and Cd2+, but enhanced the removal of Zn2+. Therefore, these metals had only a minor competitive effect on Pb2+ adsorption and did not appear to compete with this metal for high affinity sorption sites. Both Cd2+ and Zn2+ have similar hydrated radii of 4.26 and 4.30 Å, respectively (Table 2), and low electronegativities than Cu2+ and Pb2+, which minimize electron sharing or covalent bond formation with the sorbent surface. Thus, coulombic interactions with surfaces were favored for Zn2+ and Cd2+. Echeverria et al. (1998) and Appel et al. (2008) reported decreased sorption of Cd2+, Cu2+, Pb2+ and Zn2+ when these metals were sorbed in mixed systems compared to single element removal. It is to be mentioned that the effect of competing ions was stronger on Zn2+ and Cd2+ removal in ternary and quadruple systems than in binary system because of the preferential sorption. Performances of natural limestones for the removal of several heavy metals from wastewaters were clearly dependent on various parameters including the physico-chemical characteristics of the limestone sample and the metal to be removed. Furthermore, the feasibility of heavy metal removal by natural limestones seemed to be related to the concentration of the metal ions, essentially. For instance, the removal of lead was the highest among the studied metals due to the high affinity to calcite surface when compared with other metals like copper, cadmium and zinc. In summary, the studied Camapanian-Maastrichian limestones of the Abiod formation, Tunisia exhibited high removal efficiency in single and multi-element systems, and therefore, was found to be suitable for removing Pb2+, Cd2+, Cu2+ and Zn2+ from aqueous solutions.
Conclusions
The present study showed that natural limestones effectively removed high percentage of heavy metals. The adsorption behavior of Pb2+, Cd2+, Cu2+ and Zn2+ onto limestones in single and mixed systems is governed by physical properties of the studied metal. The limestone from northern Tunisia, containing higher impurities such as silica and iron and aluminum oxides, showed better removal efficiency than the limestones of southern area. For all the studied metals, higher removal percentage was achieved by the low grade limestone sample from the solution of 10 mg/L in single and mixed systems. The selectivity sequence of the studied metal was Pb2+ > Cu2+ > Zn2+ ≈ Cd2+ in single and mixed systems. Due to their chemical properties (high electronegativity, small hydrated radius and high hydrolysis constant), copper and lead were sorbed onto limestone surface more than cadmium and zinc. These results indicated that Campanian–Maastrichtian limestones from Tunisia are expected to be promising natural resources for the removal of toxic heavy metals from wastewaters.
References
- Al-Degs YS, El-Barghouthi MI, Issa AA, Khraisheh MA, Walker GM (2006) Sorption of Zn(II), Pb(II), and Co(II) using natural sorbents: equilibrium and kinetic studies. Water Res 40:2645–2658CrossRefGoogle Scholar
- Alkattan M, Oelkers EH, Dandurand JL, Schott J (2002) An experimental study of calcite dissolution rates at acidic conditions and 25 °C in the presence of NaPO3 and MgCl2. Chem Geol 190:291–302CrossRefGoogle Scholar
- Aloui T, Chaabani F (2007) Influence of fractures and karstification on the development of a quarry at Jebel Feriana, Tunisia. Bull Eng Geol Environ 66:345–351CrossRefGoogle Scholar
- Apiratikul R, Pavasant P (2006) Sorption isotherm model for binary component sorption of copper, cadmium, and lead ions using dried green macroalga, Caulerpa lentillifera. Chem Eng J 119:135–145CrossRefGoogle Scholar
- Appel C, Ma LQ, Rhue RD, Reve W (2008) Sequential sorption of lead and cadmium in three tropical soils. Environ Pollut 155:132–140CrossRefGoogle Scholar
- Aziz HA, Othman N, Yusuff MS, Basri DRH, Ashaari FAH, Adlan MN et al (2001) Removal of copper from water using limestone filtration technique: determination of mechanism of removal. Environ Int 26:395–399CrossRefGoogle Scholar
- Aziz HA, Adlana MN, Ariffina KS (2008) Heavy metals (Cd, Pb, Zn, Ni, Cu and Cr(III)) removal from water in Malaysia: post treatment by high quality limestone. Bioresour Technol 99:1578–1583CrossRefGoogle Scholar
- Barhoumi S, Messaoudi I, Deli T, Saïd K, Kerkeni A (2009) Cadmium bioaccumulation in three benthic fish species, Salaria basilisca, Zosterisessor ophiocephalus and Solea vulgaris collected from the Gulf of Gabes in Tunisia. J Environ Sci 21:980–984CrossRefGoogle Scholar
- Bouaziz S, Sghari A, Benzina M, Sdiri A, Chaabouni R (2007) Les matières premières naturelles du gouvernorat de Gabes: caractérisation et utilisations. ODS, TunisiaGoogle Scholar
- Cave K, Talens-Alesson FI (2005) Comparative effect of Mn(II) and Fe(III) as activators and inhibitors of the adsorption of other heavy metals on calcite. Colloids Surf A 268:19–23CrossRefGoogle Scholar
- Cubillas P, Köhler S, Prieto M, Causserand C, Oelkers EH (2005) How do mineral coatings affect dissolution rates? An experimental study of coupled CaCO3 dissolution—CdCO3 precipitation. Geochim Cosmochim Acta 69:5459–5476CrossRefGoogle Scholar
- Davis AD, Dixon DJ, Sorensen LJ (2006) Development of an agglomeration process to increase the efficiency of limestone-based material to remove metals from drinking water. South DakotaGoogle Scholar
- Echeverria JC, Morera MT, Mazkiaran C, Garrido JJ (1998) Competitive sorption of heavy metal by soils. Isotherms and fractional factorial experiments. Environ Pollut 101:275–284CrossRefGoogle Scholar
- Eloussaief M, Benzina M (2010) Efficiency of natural and acid-activated clays in the removal of Pb(II) from aqueous solutions. J Hazard Mater 178:753–757CrossRefGoogle Scholar
- Eloussaief M, Kallel N, Yaacoubi A, Benzina M (2011) Mineralogical identification, spectroscopic characterization, and potential environmental use of natural clay materials on chromate removal from aqueous solutions. Chem Eng J 168:1024–1031CrossRefGoogle Scholar
- Eloussaief M, Hamza W, Kallel N, Benzina M (2012) Wastewaters decontamination: Mechanisms of Pb(II), Zn(II), and Cd(II) competitive adsorption on tunisian smectite in single and multi-solute systems. Environ Prog Sustainable Energy. doi: 10.1002/ep.11609
- Godelitsas A, Astilleros JM, Hallam K, Harissopoulos S, Putnis A (2003) Interaction of calcium carbonates with lead in aqueous solutions. Environ Sci Technol 37:3351–3360CrossRefGoogle Scholar
- Karageorgiou K, Paschalis M, Anastassakis GN (2007) Removal of phosphate species from solution by adsorption onto calcite used as natural adsorbent. J Hazard Mater 139:447–452CrossRefGoogle Scholar
- Kinraide TB, Yermiyahu U (2007) A scale of metal ion binding strengths correlating with ionic charge, Pauling electronegativity, toxicity, and other physiological effects. J Inorg Biochem 101:1201–1213CrossRefGoogle Scholar
- Komnitsas K, Bartzas G, Paspaliaris I (2004) Efficiency of limestone and red mud barriers: laboratory column studies. Miner Eng 17:183–194CrossRefGoogle Scholar
- Martin-Garin A, Van Cappellen P, Charlet L (2003) Aqueous cadmium uptake by calcite: a stirred flow-through reactor study. Geochim Cosmochim Acta 69:2763–2774CrossRefGoogle Scholar
- Martins RJ, Pardo R, Boaventura RA (2004) Cadmium(II) and zinc(II) adsorption by the aquatic moss Fontinalis antipyretica: effect of temperature, pH and water hardness. Water Res 38:693–699CrossRefGoogle Scholar
- Messaoudi I, Barhoumi S, Saïd K, Kerkeni A (2009) Study on the sensitivity to cadmium of marine fish Salaria basilisca (Pisces: Blennidae). J Environ Sci 21:1620–1624CrossRefGoogle Scholar
- Pagnanelli F, Esposito A, Toro L, Veglio F (2003) Metal speciation and pH effect on Pb, Cu, Zn and Cd biosorption onto Sphaerotilus natans: Langmuir-type empirical model. Water Res 37:627–633CrossRefGoogle Scholar
- Pickering WF (1983) Extraction of copper, lead, zinc or cadmium ions sorbed on calcium carbonate. Water Air Soil Pollut 20:299–309CrossRefGoogle Scholar
- Prieto M, Cubillas P, Gonzalez FA (2003) Uptake of dissolved Cd by biogenic and abiogenic aragonite: a comparison with sorption onto calcite. Geochim Cosmochim Acta 67:3859–3869CrossRefGoogle Scholar
- Rouff AA, Elzinga EJ, Reeder RJ, Fisher NS (2006) The Effect of aging and pH on Pb(II) sorption processes at the calcite–water interface. Environ Sci Technol 40:1792–1798CrossRefGoogle Scholar
- Sanchez AG, Ayuso EA (2002) Sorption of Zn, Cd and Cr on calcite. Application to purification of industrial wastewaters. Miner Eng 15:539–547CrossRefGoogle Scholar
- Sdiri A, Higashi T, Hatta T, Jamoussi F, Tase N (2010) Mineralogical and spectroscopic characterization, and potential environmental use of limestone from the Abiod formation, Tunisia. Environ Earth Sci 61:1275–1287CrossRefGoogle Scholar
- Sdiri A, Higashi T, Hatta T, Jamousssi F, Tase N (2011) Evaluating the adsorptive capacity of montmorillonitic and calcareous clays on the removal of several heavy metals in aqueous systems. Chem Eng J 172:37–46CrossRefGoogle Scholar
- Sdiri A, Higashi T, Chaabouni R, Jamousssi F (2012a) Competitive removal of heavy metals from aqueous solutions by montmorillonitic and calcareous clays. Water Air Soil Pollut 223:1191–1204CrossRefGoogle Scholar
- Sdiri A, Higashi T, Jamousssi F, Bouaziz S (2012b) Effects of impurities on the removal of heavy metals by natural limestones in aqueous systems. J Environ Manag 93:245–253CrossRefGoogle Scholar
- Srivastava P, Singh B, Angove M (2005) Competitive adsorption behavior of heavy metals on kaolinite. J Colloid Interface Sci 290:28–38CrossRefGoogle Scholar
- Xue Y, Hou H, Zhu S (2009) Competitive adsorption of copper(II), cadmium(II), lead(II) and zinc(II) onto basic oxygen furnace slag. J Hazard Mater 162:391–401CrossRefGoogle Scholar
- Zhu J, Pigna M, Cozzolino V, Caporale AG, Violante A (2010) Competitive sorption of copper(II), chromium(III) and lead(II) on ferrihydrite and two organomineral complexes. Geoderma 159:409–416CrossRefGoogle Scholar
Copyright information
This article is published under license to BioMed Central Ltd. Open Access This article is distributed under the terms of the Creative Commons Attribution License which permits any use, distribution, and reproduction in any medium, provided the original author(s) and the source are credited.






