Correction to: Ion acoustic solitary waves in plasmas with nonextensive distributed electrons, positrons and relativistic thermal ions
- 187 Downloads
1 Correction to: Indian J Phys (May 2016) 90(5):603–611 https://doi.org/10.1007/s12648-015-0782-9
We wish to point out a mistake in the paper [Indian J Phys 90, 603 (2016)], which partially changes a few results presented.
In the above paper, σ F (= T e /T p ) is defined as the electron-to-positron temperature ratio. The values of σ F as found in the astrophysical and laboratory laser-generated plasmas usually σ F ≥ 1. Unfortunately, some of our results in this paper will provide misleading information to the readers due to incorrectly defined σ F (= 0.01 − 0.05).
- 1.
Figure 1(b), (c) and (d) on page 606 should be replaced by the corrected Fig. 1(b), (c) and (d).
- 2.
Figure 2(a) and (b) on page 607 should be replaced by the corrected Fig. 2(a) and (b).
- 3.
Figure 3(a) and (b) on page 607 should be replaced by the corrected Fig. 3(a) and (b).
- 4.
Figure 4(a), (b) (c) and (d) on page 608 should be replaced by the corrected Fig. 4(a), (b) (c) and (d).
- 5.
Figure 5(a) and (b) on page 609 should be replaced by the corrected Fig. 5(a) and (b).
- 6.
Figure 6 on page 610 should be replaced by the corrected Fig. 6.
Dependence of phase velocity (U F = v 0 − u i0) on relativistic streaming factor β for different values of (b) p = 0.3, p = 0.4, p = 0.5, p = 0.6 for σ F = 1, δ = 0.01 and q = 0.6; (c) σ F = 1.0, σ F = 2.0, σ F = 3.0, σ F = 4.0 for p = 0.5, δ = 0.01 and q = 0.6; (d) δ = 0.01, δ = 0.03, δ = 0.05, δ = 0.1 for σ F = 1, p = 0.5, and q = 0.6
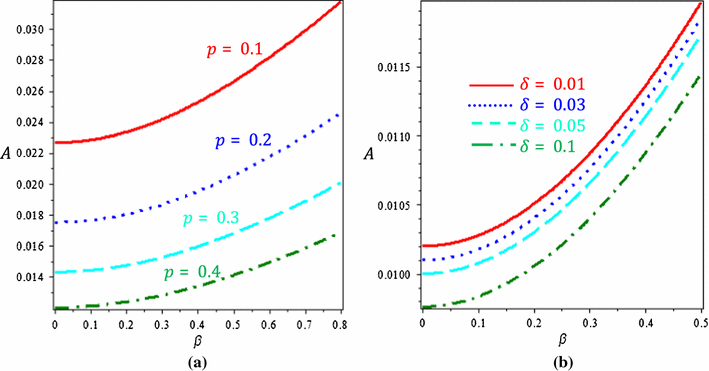
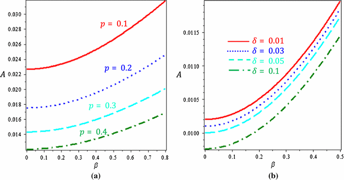
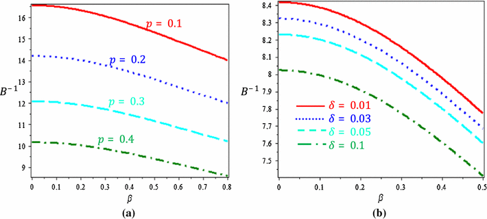
Dependence of amplitude of the soliton on relativistic streaming factor β for (a) p = 0.1, p = 0.2, p = 0.3, p = 0.4 taking σ F = 1, δ = 0.01, V = 0.0075 and q = 0.6, and (b) δ = 0.01, δ = 0.03, δ = 0.05, δ = 0.1 taking σ F = 1, V = 0.0075, p = 0.5 and q = 0.6
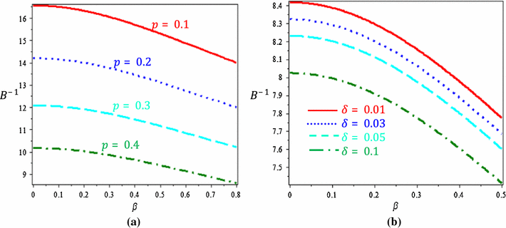
Variation of width of the soliton with β for (a) p = 0.1, p = 0.2, p = 0.3, p = 0.4 for constant values of taking σ F = 1, δ = 0.01, V = 0.0075 and q = 0.6 and (b) δ = 0.01, δ = 0.03, δ = 0.05, δ = 0.1 taking σ F = 1, V = 0.0075, p = 0.5 and q = 0.6
Weakly relativistic effect on electrostatic IASWs for (a) p = 0.1, p = 0.2, p = 0.3, p = 0.5 taking σ F = 1, β = 0.1, q = 0.6 and δ = 0.01, (b) δ = 0.01, δ = 0.1, δ = 0.2, δ = 0.3 taking σ F = 1, β = 0.1, q = 0.6 and p = 0.5, (c) σ F = 1, σ F = 5, σ F = 10 taking p = 0.5, β = 0.1, q = 0.6 and δ = 0.01, and (d) β = 0.1, β = 0.35 and β = 0.45 taking σ F = 1, p = 0.5, q = 0.6 and δ = 0.01. The other parameter considered as V = 0.0075
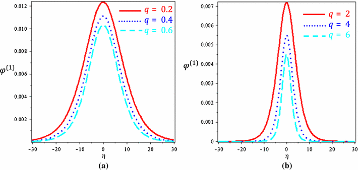
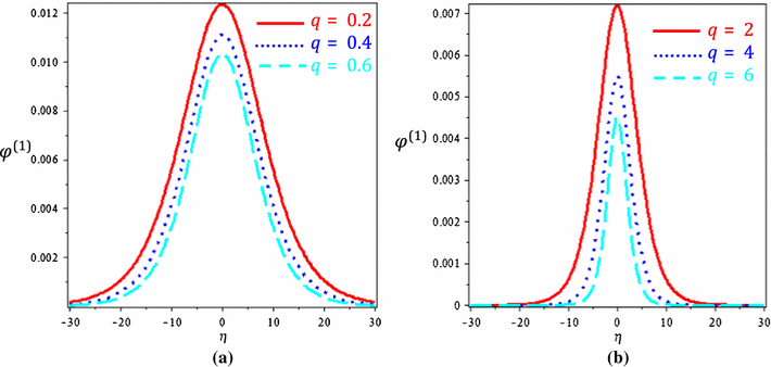
Weakly relativistic effect on electrostatic IASWs for different values of (a) q = 0.2, q = 0.4 and q = 0.6 and (b) q = 2, q = 4 and q = 6 for σ F = 1, β = 0.1, V = 0.0075, δ = 0.01 and p = 0.5
Weakly relativistic effect on electrostatic IASWs for different values of q = − 0.3, q = − 0.4, q = − 0.5 and q = − 0.6 taking σ F = 1, β = 0.1, p = 0.1 and δ = 0.1 and V = 0.0075





