Reduction of commercial aircraft noise emission around airports. A new environmental challenge
- 1.1k Downloads
- 2 Citations
Abstract
Noise abatement procedures (NAPs) are considered as a necessary measure for a balanced approach of noise control around airports. Their correct implementation depends upon many factors, which vary in operation and influence the efficiency of the NAPs. Any system, which defines the correct features of the NAPs for particular aircraft in specific conditions, would be useful for noise control. Thus, implementation of noise level monitoring systems, currently used around airports, gives a noise map in residential areas but cannot identify source frequencies and their impact on the environment. Consequently, this paper has been produced particularly to characterize the frequential aspect of aircraft noise emission. Its main objective is the analysis of the dominant frequencies emitted during approaches to the Lyon Saint-Exupéry International Airport (France) having a negative impact on the population living around this airport. Thus, the results obtained make it possible to show, through an empirical model of aircraft noise, the effectiveness of this experimental work.
Keywords
Aircraft noise Noise abatement procedures Noise reduction Pure frequencies Noise control system1 Introduction
Environmental compatibility of aircraft operations is a critical issue that impacts the growth of commercial aviation. A number of major European airports have reached their environmental capacity before having made full use of their runway and terminal infrastructures. One of the significant environmental challenges of the Advisory Council for Aeronautics Research in Europe (2020 vision) is the reduction of perceived external noise by 50% (−10 dB/operation). Different solutions have been attempted to control aircraft noise at airports. Nevertheless, the noise in the vicinity of airports, in particular under the take-off and landing flight paths remains high and disrupts the quality of life of local residents.
Technology solutions and the measures taken by airport authorities (restrictions on use of land, procedures for takeoff and landing, operating restrictions, compensating residents, …), have failed to reduce aircraft noise impact because of the growth in air traffic. The aircraft manufacturers foresee a demand for aircraft to cope with the increased traffic and fleet renewal in the coming years. This growth will be faced with two major challenges: 1. mass transport will have to anticipate the scarcity of take-off slots; 2. transport will have to increase frequency and the flexibility of operations despite the anticipated shortage of oil. This environmental problem can only be solved within the framework of a balanced global vision for a sustainable air transport involving new technology engines and fuselages [17], breakthrough technologies, the design of new procedures and flight paths [35], airspace management, new regulation rules and certification [8]. Commercial jet aircraft sources are active and their relative importance depends on the flight segment and the airframe-engine combination. There are many aircraft components producing noise (flaps, under-carriage, engines, etc.) with different noise characteristics depending, in particular, on operational flight configurations during approach and take-off. Nowadays, the lack of a clear link between the certified noise levels defined by aircraft manufacturers and noise levels measured on the ground generated from aircraft components during operations is well known. The high noise levels and their spectral features have not yet been well established during flight operations. Indeed, at the end of each certification, changes have taken place, due to technological leaps of aviation industries [18, 24]. Identifying the dominant frequencies emitted by aircraft on approach which are responsible for the discomfort and the annoyance of local residents living around airports and the diagnosis of their origin is a major task to be carried out. In spite of the development of new technologies and initiatives to reduce the high noise levels and successive improvement of aircraft certification on the basis of the ICAO convention, the search of the emitted frequencies characterized by their high noise levels is still needed. Frequencies emitted by fan, turbine, compressor, jet noise and aerodynamic noise due to flows around the body of the aircraft cannot be identified in static conditions. They are all dominant and depend on the mode of operation or the engaged landing procedure. Thus, the study of dominant frequencies emitted during operations, and performed in this paper, should allow manufacturers to focus aircraft development on their reduction “in flight”. Another advantage of this research is to reduce the computational time of noise propagation models often conducted in a wide frequency band. In the absence of data from specific studies on emitted frequencies in operation and their impact on the sound quality around airports, this research must be conducted. For a number of reasons, 40% of the used flight paths do not correspond to the theoretical flight plan published before the take-off. Those changes are generally related to operational conditions and are confirmed by radar track information. This argument is in favour of this work.
This paper gives spectral characteristics of aircraft noise during approaches. Measurements protocol of aircraft noise, established by the International Civil Aviation Organization “ICAO”, is strictly respected and applied [12, 13, 14]. Results of this paper contribute to a better understanding of aircraft frequency emissions in operations and their control. First, the paper describes the measurement set up under which aircraft noise signals were recorded and data processed. The second section presents spectral methodology of data processing. The time signals are analyzed and their spectral features are carried out assuming aircraft noises on approach as unsteady states. Doppler Effect has been described and removed from the recorded noise signals with a suitable procedure which steps are detailed and interference patterns shown. The third section gives results and discusses, in particular, the origin of the pure dominating frequencies emitted by aircraft sources in-flight. Comparisons have been provided between the obtained results and those found in the open literature. Finally, we have shown the potential of this experimental work and its future prospects in the validation of the aircraft noise modeling.
2 Experimental set up and analysis
This section describes the measurement set up and conditions under which aircraft noise was recorded and data processed. We used approved procedures recommended by the ICAO [12] applied during acoustic tests and analysis of aircraft noise measurements. The measurements of noise generated by aircraft at approach were carried out in Saint-Exupéry Lyon International Airport for one year according to annex 16 of the ICAO convention. The noise signals were recorded so that we can assess noise exposure following indices based on A weighting (Equivalent sound level «LAeq», Sound Exposure Level «SEL», 10 percentile-exceeded sound level «L10» (the A-weighted sound level occurred at 10% or more of the time of the measurement; 95% in case of L95), «L95», Day-night averaged sound level «LDN», Level Day Evening Night «Lden»,…). Locations for recording aircraft noise in flight are surrounded by flat terrain having no excessive sound absorption characteristics (grass fields cut). No obstructions that could influence the sound field from the aircraft within a conical space above the point on the ground vertically below the microphone exist. The cone being defined by an axis is normal to the ground and is half-angle (80°) from this axis. The type of aircraft was not recorded; it cannot be collected in real-time for each flight since it would require direct access to the flight data recorder.
Reception points under flight path and at lateral locations. Altitude of the 36 L and 18R points: 248 m and 231 m. Altitude of the 36R and 18 L points: 250 m and 238 m. Latitude and longitude of the 36 L point: (45° 42' 39.31" N) and (5° 05' 24.34" E)
Meteorological parameters provided by Meteo France
| Meteorological parameters (per hour) | Value intervals |
|---|---|
| Wind speed (m/s) | 1–3 |
| Average temperature (°C) | 15–35 |
| Cloudiness (octas) | 0–2 |
| Humidity (%) | 35–50 |
| Global radiation (J/cm3) | 240–290 |
The stability of atmospheric conditions was checked and timetabled. Table 1 shows their fluctuations in the intervals where stability criteria are met during measurements.
A SIP 95 sound level meter, a Symphony (01dB Stell©), and a DAT FOSTEX PD-4 (44.1 kHz sampling frequency) were used to record the acoustic data. The measurement systems are inspected every two years and approved by the French National Laboratory for testing in accordance with international standards. The four microphones are positioned to 4 m above the ground to comply with the requirement of free fields. The ground is flat and consists of grass shorter without brush, wood or obstacles. Two calibrations are performed every day. The free-field sensitivity level of the microphone and preamplifier in the reference direction, at frequencies over at least the range of one-third-octave nominal midband frequencies from 50 Hz to 10 kHz inclusive, is within ±1.0 dB of that at the calibration check frequency, and within ±2.0 dB for nominal midband frequencies of 6.3 kHz, 8 kHz and 10 kHz. The output of the analysis system consists of one-third octave band sound pressure levels as a function of time, obtained by processing the noise signals with the following characteristics: a set of 24 one-third octave bands filters [50 Hz–10 kHz]; response and averaging properties in which the output from any one-third octave filter band is squared, averaged and displayed or stored as time-averaged sound pressure levels; the interval between successive sound pressure level samples is 500 ± 5 ms for spectral analysis with or without slow time-weighting; and the sampling frequency is 44.1 kHz. Analysis system operated in real time from 50 Hz through at least 10 kHz inclusive. Ambient noise, including both an acoustical background and electrical noise of the measurement system was recorded for 10 min a day with the system gain set at the levels used for the aircraft noise measurements. The recorded aircraft noise data is acceptable according to international standards, e.g. the ambient noise levels, when analyzed in the same way, are 20 dB below the maximum noise level of the aircraft. The reference interval used for defining noise exposure to the residents of the airport, taking into account human activities, corresponds to the periods of 6–18 h, 18–22 h and 22–6 h. The exclusion criteria of the recorded data are: strike days and special weather conditions (gusty winds, stormy rainfall, atmospheric turbulence…). After each calibration, any level deviation greater than 1 dB lead to the rejection of data for the 24 h involved.
Irregularities which occurred in measured spectra due to interference effects caused by reflection of sound from the ground surface or by perturbations during the propagation of aircraft noise to the microphone have been identified. Corrections have been applied to spectral characteristics which are not related to aircraft noise source. As specified in appendix 2 of Annex 16 of the ICAO convention, narrow band analysis is one recommended procedure for identifying these tones.
According to the measurement specifications, we identified and retained 15460 turbojet aircraft executing approaches of the airport in the same conditions representing 84.5% (+20 T) of the air traffic (15% of the air traffic represents propeller aircraft (3–9 T and +20 T) and 0.5% others (−3 T and 3–9 T)). Because of the harmonic frequencies, propeller aircraft data were excluded from this analysis. The time and frequency signals are analyzed by the commercial DBTrait© software and by specific algorithms developed with Matlab© signal toolbox and C++© software computing spectral features of signals. The calculated parameter are noise levels, statistical indices, aircraft passage duration, spectra and the pure frequencies and frequency bands in the one-third octave characterized by the higher noise levels.
Time-frequency spectrum of three aircraft approaches
The amplitude of the broadband noise in third-octave bands is determined by the average energy that remains in each band after removing all tonal components. An automatic search of maximum levels, pure frequencies and frequency bands were achieved. Aircraft noise varies both in frequency and level during a flight for three main different reasons. First, individual sound generating mechanisms each have a distinct frequency which depends on directivity. Second, owing to the directivity, the different sound component contributions dominate the sound radiation in different directions. Third, the measured noise levels are inclusively affected by Doppler Effect which modifies the frequency contents and the cumulated energy.
3 Spectral methodology
Illustration of emission angles under flight path
The receiver height is neglected. Measurements under the flight path avoid lateral angular corrections.
M Mach number. V w the wind speed. f is the emitted turbojet engine frequency. Geometrical calculation allows the recovery of the pure frequencies of the source. For a given time t and Xj,Then, Open image in new window
and Open image in new window
. For Xj, we have divided the lateral interval into two parts for the purpose of calculation. For Xi∈[0, Xmax] (if Xmax = 8,000 m corresponding to the lateral distance when almost all aircraft are aligned with respect to the axis of the main runway of the airport; Zmax = 419 m), we can write:
, Open image in new window
where:Emission angle behaviour under flight path
In order to obtain the aircraft speed, two methods can be used. Either the aircraft speed is measured by the on-board instruments or assessed. The first method required a device ensuring a perfect data synchronization between on-board and ground instruments which was impossible. The second method, we used, is effective. It is based on frequency measurements and geometrical calculation. In order to obtain V, two conditions were chosen: x large and positive and x large and negative, yielding Open image in new window
close to 0 and π. This results in two equations (Eqs. 5, 6, 7) from which the frequency f is eliminated and the system solved for constant speeds V:
the main engine frequency: Open image in new window
is the observed frequency before the aircraft over-flight and Open image in new window
after. If we consider the receiver height h1 (4 m), h2, relation between the previous variables and angles, f and f d (Eqs. 2, 4, 6, 7) can be easily written using the expression: Open image in new window
(Eq. 3; Fig. 5).Interference between direct and reflected sound waves responsible for the so-called “comb-filter” effect (Lloyd's mirror effect)
, and ∆l the path length difference between the direct and the reflected sound wave; c is the sound speed, fcons and f des are respectively the frequency at which a constructive and destructive interference occurs.Model of frequency interference
As shown in the Fig. 6, the objective was to show that the frequencies which will be obtained in the following sections cannot in any case to be confused with those which correspond to the frequencies resulting from the constructive interference. The effect of destructive interference between direct and reflected sound waves at the microphone is not considered in this work because the unvested frequencies are considered destroyed. A study by Miyara et al. [23] showed that the destructive interference effect could be used in the estimation of the aircraft's altitude. For outdoor experiments without any habitation, this effect does not occur. If we want to take this into account, as part of measures for assessing sound quality, we can use the results of Ferguson and Quinn [9], Schulten [28], and Miyara et al. [23]. They provide the conditions where Doppler patterns and comb filter are superimposed on the spectrogram Other research has been carried out by Lo et al. [22] who developed a model describing the temporal variations of the destructive interference for an aircraft approach. As far as we are concerned, the free field condition is filled and this combined effect neglected.
4 Results and discussion
Spectral analysis showing dominant frequencies
- α
-
the sound absorption coefficient
- ΔLatm
-
attenuation due to atmospheric absorption of sound by the air
- ΔLground
-
attenuation or amplification due to ground or terrain effects
- Δf
-
spectral correction
- Δv
-
attenuation due to the divergence
- ΔD
-
correction for duration
- R
-
the distance between the noise source and the observer (at the reception point)
- Lref
-
sound level at a reference distance Rref (known) from the source (function of the power sitting).
The signs of ΔLatm, ΔLground, Δf and Δv are defined such that they are additive. The aircraft noise level L (Eq. 8) is A-weighted level. Fundamentally, a model would employ one-third octave bands with important tonal components added as spectral lines. Doppler shift for a moving aircraft is directly related to the emission angle and aircraft speed, is simple to incorporate in general when air-to-ground propagation includes geometrical spreading and atmospheric absorption. When we tackle aircraft noise level calculations, if the considered point where we should provide noise levels is not placed beneath the flight path, but in lateral position, corrections have to be done for the excess attenuation by the ground.
As described previously, Doppler Effect explained by shifts of spectral peaks has to be considered when tonal components dominate over the broadband noise. The shifting is calculated by means of narrow band aircraft spectra. In our case, A-weighting jet noise L ref is broad-band in nature. Doppler Effect has then a small influence on the sound exposure; the receiver spectrum in the forward arc is shifted to higher frequencies where the sound absorption increases. In contrast, Doppler convection amplification has a significant role on the directivity during the flight. In this case, it is fundamental that Doppler Effect has to be considered. Correction for duration ΔD means that if the speed of the aircraft changes, duration of the emitted aircraft noise will change also and angular calculation previously given has to be used. Therefore, if the speed of the aircraft deviates from the reference speed, it is necessary to correct the change in duration within each flight path segment.
For L ref (Eq. 8) calculation, we have used a semi-empirical model of noise generated by conventional-velocity-profile jets exhausting from coaxial nozzles [30]. It is known that jet noise consists of three principal components. They are the turbulent mixing noise, the broadband shock associated noise and the screech tones. At the present time, the first approximation has been used herein. It seems to be correct in that step of research because the problem complexity. Many studies have been shown to agree reasonably well with model and full-scale experimental data even at high jet velocities in the region near the jet axis [31, 32, 33, 34] However, there is no known way to predict tone intensity and directivity; even if it is entirely empirical. This is not surprising for the tone intensity is determined by the nonlinearities of the feedback loop.
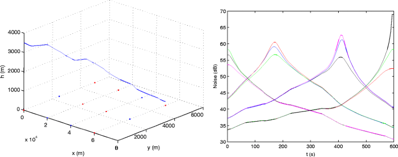
Trajectory coordinates (x, y, h) (left-sided) and the modeled maximum noise levels at twelve reception points (right-sided) at the point certification
In addition, frequential aspect cannot be explored with the existing theoretical models. That shows the interest to perform more experimental works with the aim to fully characterize frequency spectra of commercial aircraft noise during phase approaches.
5 Conclusion
This paper is specifically directed towards the search of the dominant pure frequencies of turbojet aircraft emitted during approaches which are responsible for noise disturbances surrounding airports.
A geometric study of frequency emission has been performed. Doppler corrections have been made and diagnosis of the effects of destructive interference examined. Dominant pure frequencies were observed and their analysis reveals an agreement with theoretical works. Their origin could come from the airframe of the aircraft, which upon landing with an engine rpm reduced to up to 55% can have a higher contribution of up to 10 dB above the noise of the engine. Experimental results presented in this paper could validate and extend calculation methods. They can provide additional useful information placing the results of theoretical models in context because of strong approximations for processing needs. We have used a semi-empirical model predicting the noise generated by conventional-velocity-profile jets exhausting from coaxial nozzles predicting the aircraft noise levels. The obtained noise values confirm that aircraft noise modelling is not sufficient to meet the precision of the processed experimental data for the characterization of frequencies in-flight. In addition, the relative sensitivity of acoustical indices confirms the need for further research concerning air traffic changes, type of aircraft, flight configurations, engines and their locations, EPR, fuel consumption…).
Notes
Acknowledgements
This work is supported by the Rhône–Alpes Region (France) within the “Cluster TTS” framework. The author thanks the Rhône–Alpes Region.
References
- 1.Baraniuk RG, Jones DL (1993) A signal-dependent time-frequency representation: optimal kernel design. IEEE Trans Signal Process 41(4):1589–1602CrossRefGoogle Scholar
- 2.Biscainho LWP, Diniz PSR, Esquef PAA (2001) ARMA processes in sub-bands with application to audio restoration. Proceedings of IEEE International Symposium on Circuits and Systems, Sidney 2 (2001), pp 157–160Google Scholar
- 3.Boashash B (2003) Heuristic Formulation of TFDs. In: Boashash B (ed) Time frequency signal analysis and processing: a comprehensive reference. Elsevier, Oxford, pp 29–57CrossRefGoogle Scholar
- 4.Cohen L (1995) Time-frequency analysis. Prentice Hall, New JerseyGoogle Scholar
- 5.Cremezi C (2000) Etude de la propagation du son dans l’atmosphère: application au bruit des avions en phase d’approche et de décollage. Thèse de DoctoratGoogle Scholar
- 6.Cremezi C and Legros C (2000) Application de la méthode GF-PE à une source élevée en mouvement. In Actes du 5ème congrès français d’acoustique, EPFL, Lausanne (Suisse)Google Scholar
- 7.Czerwinski RN, Jones DL (1995) Adaptive cone-kernel time-frequency analysis. IEEE Trans Signal Process 43(7):1715–1719CrossRefGoogle Scholar
- 8.ECAC (1997) European Civil Aviation Conference. Report on standard method of computing noise contours around civil airports. ECAC.CEAC Doc. 29 (2nd edn)Google Scholar
- 9.Ferguson B, Quinn B (1994) Application of the short-time Fourier transform and the Wigner-Ville distribution to the acoustic localization of aircraft. J Acoust Soc Am 96(2):Part 1CrossRefGoogle Scholar
- 10.Griffin C (1991) A comparison study on the Wigner and Choi-Williams distributions for detection. Proceedings of the Acoustics, Speech, and Signal Processing, 1991. ICASSP-91. IEEE Comput Soc:1485–1488Google Scholar
- 11.Hlawatsch F, Manickam TG, Urbanke RL, Jones W (1995) Smoothed pseudo-Wigner distribution, Choi-Williams distribution, and cone-kernel representation: ambiguity-domain analysis and experimental comparison Source. Signal Process 43:149–168 Elsevier North-Holland, IncCrossRefGoogle Scholar
- 12.ICAO (1988) Recommended method for the calculation of the noise level contours in the vicinity of airports. Circular 205-AN/1/25. International Civil Aviation Organization, MontrealGoogle Scholar
- 13.ICAO (1993) Aircraft Noise. Annex 16 to the Convention on International Civil Aviation. International Civil Aviation Organization, MontrealGoogle Scholar
- 14.ICAO (2004) Environment protection. Vol.1: aircraft noise—specifications for aircarft noise certification, noise monitoring, and noise exposure units for landuse planning. Available on http://www.icao.int/
- 15.Jones DL, Baranuik (1994) A simple scheme for adapting time-frequency representations. IEEE Trans Signal Process 42:3530–3535CrossRefGoogle Scholar
- 16.Jones DL, Baraniuk RG (1995) An adaptive optimal kernel time-frequency representation. IEEE Trans Signal Process 43(10):2361–2371CrossRefGoogle Scholar
- 17.Julliard J (2003) Bruit des turboréacteurs et dispositifs réducteurs. Dans S. Khardi, Journée Spécialisée « Réduction des bruits des avions commerciaux au voisinage des aéroports civils. Problématique, enjeux et perspectives » . Actes n°88, 53–63Google Scholar
- 18.Kannepalli C, Kenzakowski DC, Dash SM (2003) Evaluation Of Some Recent Jet Noise Reduction Concepts. Paper No. AIAA-2003-3313, 9th AIAA/CEAS Aeroacoustics Conference & Exhibit, Hilton Head, SCGoogle Scholar
- 19.Khardi S, Abdallah L (2008) Optimal trajectory reducing noise levels around airport (in progress)Google Scholar
- 20.Kwok HK, Jones DL (2000) Improved instantaneous frequency estimation using an adaptive short-time fourier transform. IEEE Trans Signal Process 48(10):2964–2972MathSciNetCrossRefGoogle Scholar
- 21.Li M (1997) Experimental research for processing of Choi-Williams distributionand Bessel distribution. Proc Int Conf Inf Commun Signal Process ICICS 3:1593–1597CrossRefGoogle Scholar
- 22.Lo KW, Perry SW, Ferguson BG (1999) An image processing approach for aircraft flight parameter estimation using the acoustical Lloydapos; mirror effect. Signal Processing and Its Applications. ISSPA. Proceedings of the Fifth International Symposium on Digital Object Identifier 2:503–506Google Scholar
- 23.Miyara C, Cabanellas S, Mosconi P, Pasch V, Yanitelli M, Rall JC, Vasquez J (2001) The acoustical geometry of aircraft overflights. International Congress and Exhibition on Noise Control Engineering, Hague, pp 27–30Google Scholar
- 24.Oishi T, Nakamura Y (2000) Research on exhaust jet noise reduction technology. Ishikawajima-Harima Giho 40(2):65–67 ISSN 0578-7904. CODEN ISHGAVGoogle Scholar
- 25.Oppenheim AV, Schafer RW (1989) Discrete-time signal processing. Prentice-Hall, Englewood CliffsGoogle Scholar
- 26.Orfanidis SJ (1988) Optimum signal processing, 2nd edn.McGraw-HillGoogle Scholar
- 27.Papandreou A, Boudreaux-Bertels GF (1993) Generalization of the Choi-Williams distribution and the Butterworth distribution for time-frequency analysis. IEEE Trans Signal Process 41(1):463–498CrossRefGoogle Scholar
- 28.Schulten JBHM (1997) Computation of aircraft noise propagation trough the atmospheric boundary layer. National Aerospace Laboratory NLR, AmsterdamGoogle Scholar
- 29.Smith MJT (1989) Aircraft noise. Cambridge University PressGoogle Scholar
- 30.Stone JR, Groesbeck DE, Zola Charles L (1981) An improved prediction method for noise generated by conventional profile coaxial jets. National Aeronautics and Space Administration. In Report NASA-TM-82712, AIAA-1991Google Scholar
- 31.Tam CKW (1995) Computational aeroacoustics: issues and methods. AIAA J 33:1788–1796CrossRefGoogle Scholar
- 32.Tam CKW (1999) Supersonic jet noise. Annu Review Fluid Mech 27:17–43CrossRefGoogle Scholar
- 33.Tam CKW (2001) Noise from high speed jets. Lecture notes. VKI lecture series on advanced in aeroacoustics. In: Anthoine J, Schram C, eds. Lecture series 2001–2002, pp 1, 34Google Scholar
- 34.Tam CKW, Auriault L (1999) Jet mixing noise from fine-scale turbulence. AIAA J 37(2):145–153CrossRefGoogle Scholar
- 35.Zaporozhets OI, Khardi S (2004) Optimization of aircraft trajectories as a basis for noise abatement procedures around the airports. Theoretical considerations and acoustic applications. Les collections de l’INRETS. Rapport INRETS n° 257. 97 pagesGoogle Scholar















