Theoretical Ecology

, Volume 4, Issue 3, pp 289–300 | Cite as

Coupled energy pathways and the resilience of size-structured food webs

  • Julia L. Blanchard
  • Richard Law
  • Matthew D. Castle
  • Simon Jennings
Original paper

Abstract

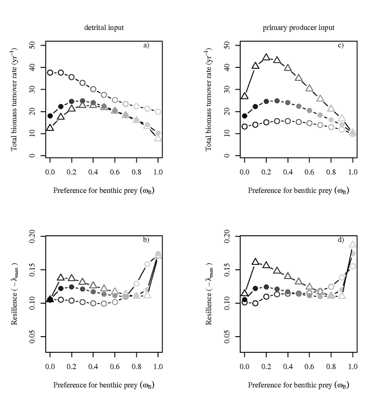
Size-based food-web models, which focus on body size rather than species identity, capture the generalist and transient feeding interactions in most marine ecosystems and are well-supported by data. Here, we develop a size-based model that incorporates dynamic interactions between marine benthic (detritus-based) and pelagic (primary producer based) pathways to investigate how the coupling of these pathways affects food web stability and resilience. All model configurations produced stable steady-state size spectra. Resilience was measured by the return speed obtained from local stability analysis. Return times following large perturbations away from steady-state were also measured. Resilience varied nonlinearly with both predator and detrital coupling, and high resilience came from predators (1) feeding entirely in the slow benthic zone or (2) feeding across the two energy pathways, with most food coming from the fast pelagic pathway. When most of the energy flowed through the pelagic pathway, resilience was positively related to turnover rate. When most of the energy flowed through the benthic pathway, resilience was negatively related to turnover rate. Analysis of the effects of large perturbations revealed that resilience for pelagic ecosystems depended on the nature of the perturbation and the degree of benthic–pelagic coupling. Areas with very little or no benthic–pelagic coupling (e.g. deep seas or highly stratified water columns) may return more quickly following pulses of detrital fallout or primary production but could be much less resilient to the effects of human-induced mortality (harvesting).

Keywords

Benthic–pelagic links Food web dynamics Predator–prey Size spectrum Stability Trophic interactions 

Notes

Acknowledgements

This research was funded by the UK Department of Environment, Food and Rural Affairs project M10-01, Cefas Seedcorn project DP222 and EU IMAGE (FP6 contract-044227). JLB was supported by the Visitors Programme at the NERC Centre for Population Biology, Imperial College, Silwood Park Campus, UK. RL was supported by a Killam Visiting Professorship at the University of Calgary Canada and an Erskine Fellowship at the University of Canterbury, New Zealand. We thank participants of the European Science Foundation Network “Body-size and Ecosystem Dynamics: Integrating pure and applied approaches from aquatic and terrestrial ecology to support an ecosystem approach (SIZEMIC)” for helpful discussions especially Anje-Margriet Neutel. We are grateful for the insightful comments provided by two anonymous referees.

Supplementary material

12080_2010_78_MOESM1_ESM.doc (168 kb)
Text S1 Supplementary methods section (DOC 167 kb)
12080_2010_78_MOESM2_ESM.doc (71 kb)
Table S1 Equations for dynamic coupled size spectrum model (DOC 71 kb)
12080_2010_78_MOESM3_ESM.doc (34 kb)
Table S2 Parameter values and definitions (DOC 34 kb)
12080_2010_78_Fig6_ESM.gif (43 kb)
Fig. S1

The effects of different levels of plankton density and detrital input on turnover rates and dominant eigenvalue results for comparison (GIF 42 kb)

12080_2010_78_MOESM4_ESM.tif (124 kb)
High-resolution image file (TIF 123 kb)
12080_2010_78_Fig7_ESM.gif (42 kb)
Fig. S2

The effects of preferred predator–prey mass ratio and the width of the predator–prey mass ratio on turnover rates and dominant eigenvalue results (GIF 41 kb)

12080_2010_78_MOESM5_ESM.tif (121 kb)
High-resolution image file (TIF 120 kb)
12080_2010_78_Fig8_ESM.gif (48 kb)
Fig. S3

Bottom-up primary producer perturbations. Relative biomass trajectories over time and corresponding resilience as measured by the reciprocal of return time 1/T R for each level of predator preference for benthic prey ω B and each component of the ecosystem: a, b pelagic predators, c, d benthic detritivores and e, f detritus following a 30-day 50% increase in primary producer density. In all plots, the black line corresponds to predators feeding only within the pelagic community (no coupling, ω B = 0). The grey lines show varying the strengths of coupling towards the benthic pathway (the lightest line corresponds to predators only feeding on benthic prey, ω B = 1) (GIF 48 kb)

12080_2010_78_MOESM6_ESM.tif (147 kb)
High-resolution image file (TIF 146 kb)
12080_2010_78_Fig9_ESM.gif (52 kb)
Fig. S4

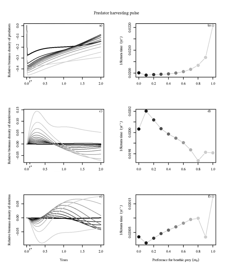
Top-down predator harvesting perturbations. Relative biomass trajectories over time and corresponding resilience as measured by the reciprocal of return time 1/T R for each level of predator preference for benthic prey ω B and each component of the ecosystem: a, b pelagic predators, c, d benthic detritivores and e, f detritus following a 30-day 50% decrease in pelagic predators >10 g. In all plots, the black line corresponds to predators feeding within the pelagic community (no coupling, ω B = 0). The grey lines show varying the strengths of coupling towards the benthic pathway (the lightest line corresponds to predators only feeding on benthic prey, ω B = 1) (GIF 52 kb)

12080_2010_78_MOESM7_ESM.tif (149 kb)
High-resolution image file (TIF 149 kb)
12080_2010_78_Fig10_ESM.gif (46 kb)
Fig. S5

Bottom-up detritus perturbations. Relative biomass trajectories over time and corresponding resilience as measured by the reciprocal of return time 1/T R for each level of predator preference for benthic prey ω B and each component of the ecosystem: a, b pelagic predators, c, d benthic detritivores and e, f detritus following a 30-day 50% increase in detritus density. In all plots, the black line corresponds to predators feeding only within the pelagic community (no coupling, ω B = 0). The grey lines show varying the strengths of coupling towards the benthic pathway (the lightest line corresponds to predators only feeding on benthic prey, ω B = 1) (GIF 45 kb)

12080_2010_78_MOESM8_ESM.tif (146 kb)
High-resolution image file (TIF 145 kb)

References

  1. Allen KR (1971) Relation between production and biomass. J Fish Res Board Can 28:1573–1581CrossRefGoogle Scholar
  2. Allesina S, Pascual M (2008) Network structure, predator-prey motifs, and stability in large food webs. Theor Ecol 1(1):55–64CrossRefGoogle Scholar
  3. Armstrong RA (1999) Stable model structures for representing biogeochemical diversity and size spectra in plankton communities. J Plankton Res 21(3):445–464CrossRefGoogle Scholar
  4. Baird ME, Suthers IM (2007) A size-resolved pelagic ecosystem model. Ecol Model 203(3):185–203CrossRefGoogle Scholar
  5. Barnes C, Bethea DM, Brodeur RD, Spitz J, Ridoux V, Pusineri C, Chase BC, Hunsicker ME, Juanes F, Kellermann A, Lancaster JE, Menard F, Bard FX, Munk P, Pinnegar JK, Scharf FS, Rountree RA, Stergiou KI, Sassa S, Sabates A, Jennings S (2008) Predator and prey body sizes in marine food webs. Ecology 89:881CrossRefGoogle Scholar
  6. Belgrano A, Scharler UM, Dunne J, Ulanowicz RE (2005) Aquatic food webs: an ecosystem approach. Oxford University Press, OxfordGoogle Scholar
  7. Benoît E, Rochet M-J (2004) A continuous model of biomass size spectra governed by predation and the effects of fishing on them. J Theor Biol 226:9–21PubMedCrossRefGoogle Scholar
  8. Bianchi G, Gislason H, Graham K, Hill L, Jin X, Koranteng K, Manickchand-Heileman S, Paya I, Sainsbury K, Sanchez F, Zwanenburg K (2000) Impact of fishing on size composition and diversity of demersal fish communities. ICES J Mar Sci 57:558–571CrossRefGoogle Scholar
  9. Blanchard JL, Jennings S, Law R, Castle MD, McCloghrie P, Rochet M-J, Benoit E (2009) How does abundance scale with body size in coupled size-structured food webs? J Anim Ecol 78:270–280PubMedCrossRefGoogle Scholar
  10. Blumenshine SC, Lodge DM, Hodgson JR (2000) Gradient of fish predation alters body size distributions of lake benthos. Ecology 81:374–386Google Scholar
  11. Boudreau PR, Dickie LM (1992) Biomass spectra of aquatic ecosystems in relation to fisheries yield. Can J Fish Aquat Sci 49:1528–1538CrossRefGoogle Scholar
  12. Brose U, Williams RJ, Martinez ND (2006) Allometric scaling enhances stability in complex food webs. Ecol Lett 9:1228–1236PubMedCrossRefGoogle Scholar
  13. Buesseler KO, Lamborg CH, Boyd PW, Lam PJ, Trull TW, Bidigare RR, Bishop JKB, Casciotti KL, Dehairs F, Elskens M, Honda M, Karl DM, Siegel DA, Silver MW, Steinberg DK, Valdes J, Van Mooy B, Wilson S (2007) Revisiting carbon flux through the ocean's twilight zone. Science 316:567–570PubMedCrossRefGoogle Scholar
  14. Carpenter SR, Kraft CE, Wright R, He X, Soranno PA, Hodgson JR (1992) Resilience and resistance of a lake phosphorus cycle before and after a food web manipulation. Am Nat 140:781–798PubMedCrossRefGoogle Scholar
  15. Cottingham KL, Carpenter SR (1994) Predictive indices of ecosystem resilience in models of north temperate lakes. Ecology 75:2127–2138CrossRefGoogle Scholar
  16. de Ruiter PC, Neutel AM, Moore JC (1995) Energetics, patterns of interaction strengths, and stability in real ecosystems. Science 269:1257–1260PubMedCrossRefGoogle Scholar
  17. DeAngelis DL (1980) Energy flow, nutrient cycling, and ecosystem resilience. Ecology 61:764–771CrossRefGoogle Scholar
  18. DeAngelis DL, Bartell SM, Brenkert AL (1989) Effects of nutrient recycling and food chain length on resilience. Am Nat 134:778–805CrossRefGoogle Scholar
  19. Duplisea DE (1998) Benthic organism biomass size spectra in the Baltic Sea in relation to the sediment environment. Limnol Oceanogr 45(3):558–568CrossRefGoogle Scholar
  20. Edwards HJ, Dytham C, Pitchford JW, Righton D (2007) Prey selection, vertical migrations and the impacts of harvesting upon the population dynamics of a predator–prey system. Bull Math Biol 68:1827–1846CrossRefGoogle Scholar
  21. Greenstreet SPR, Bryant AD, Broekhuizen N, Hall SJ, Heath MR (1997) Seasonal variation in the consumption of food by fish in the North Sea and implications for food web dynamics. ICES J Mar Sci 54:243–266CrossRefGoogle Scholar
  22. Gunderson DR (1997) Trade-off between reproductive effort and adult survival in oviparous and viviparous fishes. Can J Fish Aquat Sci 54(5):990–998CrossRefGoogle Scholar
  23. Jennings S, Pinnegar JK, Polunin NVC, Boon T (2001) Weak cross-species relationships between body size and trophic level belie powerful size-based trophic structuring in fish communities. J Anim Ecol 70:934–944CrossRefGoogle Scholar
  24. Kerr SR, Dickie LM (2001) The biomass spectrum: a predator–prey theory of aquatic production. Columbia University Press, New YorkGoogle Scholar
  25. Law R, Plank MJ, James A, Blanchard JL (2009) Size spectra dynamics from stochastic predation and growth of individuals. Ecology 90(3):802–811PubMedCrossRefGoogle Scholar
  26. Martin JH, Knauer GA, Karl DM, Broenkow WW (1987) VERTEX: carbon cycling in the northeast Pacific. Deep-Sea Res 34:267–285CrossRefGoogle Scholar
  27. Maury O, Faugeras B, Shin Y-J, Poggiale JC, Ari TB, Marsac F (2007) Modeling environmental effects on the size-structured energy flow through marine ecosystems. Part 1: the model. Progr Oceanogr 74(4):479–499CrossRefGoogle Scholar
  28. Maxwell TAD, Jennings S (2006) Predicting abundance-body size relationships in functional and taxonomic subsets of food webs. Oecologia 150:282–290PubMedCrossRefGoogle Scholar
  29. May RM (1972) Will a large complex system be stable? Nature 238:413–414PubMedCrossRefGoogle Scholar
  30. McCann KS, Hastings AG, Huxel R (1998) Weak trophic interactions and the balance of nature. Nature 395:794–798CrossRefGoogle Scholar
  31. McCann KS, Rasmussen JB, Umbanhowar J (2005) The dynamics of spatially coupled food webs. Ecol Lett 8:513–523PubMedCrossRefGoogle Scholar
  32. Moloney CL, Field JG (1991) The size-based dynamics of plankton food webs. I. A simulation model of carbon and nitrogen flows. J Plankton Res 13:1003–1038CrossRefGoogle Scholar
  33. Moore JC, Berlow E, Coleman DC, de Ruiter PC, Dong O, Hastings A, Johnston NC, McCann KS, Melville K, Morin PJ, Nadelhoffer K, Rosemond AD, Post DM, Sabo JL, Scow KS, Vanni MJ, Wall DH (2004) Detritus, trophic dynamics and biodiversity. Ecol Lett 7:584–600CrossRefGoogle Scholar
  34. Neubert MG, Caswell H (1997) Alternatives to resilience for measuring the responses of ecological systems to perturbations. Ecology 78:653–665CrossRefGoogle Scholar
  35. Neutel A-M, Heesterbeek JAP, De Ruiter PC (2002) Stability in real food webs: weak links in long loops. Science 296:1120–1123PubMedCrossRefGoogle Scholar
  36. Neutel AM, Heesterbeek JAP, van de Koppel J, Hoenderboom G, Vos A, Kaldeway C, Berendse F, de Ruiter PC (2007) Reconciling complexity with stability in naturally assembling food webs. Nature 449:599–602PubMedCrossRefGoogle Scholar
  37. Odum EP (1969) The strategy of ecosystem development. Science 164:262–279PubMedCrossRefGoogle Scholar
  38. O’Gorman EJ, Emmerson MC (2009) Perturbations to trophic interactions and the stability of complex food webs. PNAS 106:13393–13398PubMedCrossRefGoogle Scholar
  39. Petchey O, Beckerman AP, Riede J, Warren PH (2008) Size, foraging and food web structure. PNAS 105(11):4191–4196PubMedCrossRefGoogle Scholar
  40. Pimm SL, Lawton JH (1977) Number of trophic levels in ecological communities. Nature 268:329–331CrossRefGoogle Scholar
  41. Pinnegar JK, Trenkel VM, Tidd AN, Dawson WA, Du Buit MH (2003) Does diet in Celtic Sea fishes reflect prey availability? J Fish Biol 63(Supplement A):197–212CrossRefGoogle Scholar
  42. Pitchford JW, Brindley J (1999) Iron limitation, grazing pressure and oceanic high nutrient-low chlorophyll (HNLC) regions. J Plankton Res 21(3):525–547CrossRefGoogle Scholar
  43. Post DM, Conners ME, Goldberg DS (2000) Prey preference by a top predator and the stability of linked food chains. Ecology 81:8–14CrossRefGoogle Scholar
  44. Press WH, Teukolsky SA, Vetterling WT, Flannery BP (1992) Numerical recipes—the art of scientific computing, 2nd edn. Cambridge University Press, New YorkGoogle Scholar
  45. Rooney N, McCann K, Gellner G, Moore JC (2006) Structural asymmetry and the stability of diverse food webs. Nature 442:266–269CrossRefGoogle Scholar
  46. Saiz-Salinas JI, Ramos A (1999) Biomass size-spectra of macrobenthic assemblages along water depth in Antarctica. Mar Ecol Prog Ser 178:221–227CrossRefGoogle Scholar
  47. Silvert W, Platt T (1980) Dynamic energy flow model of the particle size distribution in pelagic ecosystems. In: Kerfoot W (ed) Evolution and ecology of zooplankton communities. University Press of New England, Illanover, pp 754–763Google Scholar
  48. Sterner RW, Bajpai A, Adams T (1997) The enigma of food chain length: absence of theoretical evidence for dynamic constraints. Ecology 78:2258–2262CrossRefGoogle Scholar
  49. Stock CA, Powell TM, Levin SA (2008) Bottom-up and top-down forcing in a simple size-structured plankton dynamics model. J Mar Syst 74:134–152CrossRefGoogle Scholar
  50. Takimoto G (2003) Adaptive plasticity in ontogenetic niche shifts stabilizes consumer-resource dynamics. Am Nat 162:93–109Google Scholar
  51. Van der Veer HW, Cardoso JFMF, Van der Meer J (2006) Estimation of DEB parameters for various North Atlantic bivalve species. J Sea Res 56:107–124CrossRefGoogle Scholar
  52. Van der Zanden MJ, Vadeboncoeur Y (2002) Fishes as integrators of benthic and pelagic food chains in lakes. Ecology 83:2152–2161CrossRefGoogle Scholar
  53. Walters AW, Post DM (2008) An experimental disturbance alters fish size structure but not food chain length in streams. Ecology 89(12):3261–3267. doi: 10.1890/08-0273.1 PubMedCrossRefGoogle Scholar
  54. Zhou M, Huntley M (1997) Population dynamics theory of plankton based on biomass spectra. Mar Ecol Prog Ser 159:61–73CrossRefGoogle Scholar

Copyright information

© Springer Science+Business Media B.V. 2010

Authors and Affiliations

  • Julia L. Blanchard
    • 1
    • 4
  • Richard Law
    • 2
  • Matthew D. Castle
    • 3
  • Simon Jennings
    • 1
  1. 1.Centre for Environment, Fisheries and Aquaculture ScienceLowestoft LaboratoryLowestoftUK
  2. 2.Biology DepartmentUniversity of YorkYorkUK
  3. 3.Department of Plant SciencesUniversity of CambridgeCambridgeUK
  4. 4.Division of BiologyImperial College LondonAscotUK

Personalised recommendations