The Influence of Selected Osmotic Dehydration and Pretreatment Parameters on Dry Matter and Polyphenol Content in Highbush Blueberry (Vaccinium corymbosum L.) Fruits
- 2.6k Downloads
- 14 Citations
Abstract
The paper presents an assessment of the influence of selected highbush blueberry pretreatment methods and parameters on the process of osmotic dehydration conducted in 65 °Brix sucrose solution for 5 to 240 min at 30–70 °C. The pretreatment methods used included: fruit immersion in boiling water (15 s) and in 0.5 % NaOH solution (15 s at 95 °C), exposure to ultrasound at atmospheric pressure (vibration frequency of 35 ± 5 kHz, 500 W, for 15 min.) and at low pressure (0.92 kg cm−1), and enzymatic processing; pectinase (enzyme activity of 46,000 PGU/mL; 0.6 mL/90 g of fruits; 30 min at approx. 22 °C) and lipase (enzyme activity of 750 PGU/mL; 0.7 mL/90 g of fruits; 30 min at approx. 22 °C) were used. Dehydration was also conducted in the presence of pectinolytic enzymes. The dehydrated material was analyzed in terms of the content of dry matter, total polyphenols, and particular polyphenols using high performance liquid chromatography. It was observed that dehydration was much more intensive at 60 and 70 °C, but such temperatures led to substantial losses of phenolic compounds (by 15–30 % after 2-h dehydration) and unfavorable changes in the texture of the final product. A promising method of pretreatment is fruit immersion in solutions containing pectinolytic and lipolytic enzymes, which increase dry matter content by 26 % (after 1 h of dehydration at 30 °C) with a low loss of phenolic compounds (4 %). Among the identified anthocyanins, the greatest retention during dehydration at various temperatures was displayed by petunidin-3-galactoside (over 80 % after 1 h of dehydration) and petunidin-3-glucoside (over 78 %).
Keywords
Osmotic dehydration Pretreatment Highbush blueberry PolyphenolsIntroduction
Highbush blueberry (Vaccinium corymbosum L.) fruits have a unique aromatic taste and a wealth of valuable nutrients (Mazza 2005; Skupień 2006; Ochmian et al. 2009). The nutritional qualities of the berries are attributed to the presence of phenolic compounds (Joseph et al. 2005; Yi et al. 2006; Zafra-Stone et al. 2007; Krikorian et al. 2010). Albeit not essential for human life, flavonoids may act as a health-improving factor, if consumed over a long period of time. These compounds exhibit antioxidant activity, thus being supportive to the natural defenses of the human body and decreasing the risk of developing diseases of civilization (Pietta 2000; Heim et al. 2002; Petti and Scully 2009). Clinical studies confirm that the biological activity of natural antioxidants is higher than that of corresponding pharmacological supplements (Wang et al. 1996; Manach et al. 2004; Pokorný 2007; Perron and Brumaghim 2009). Highbush blueberries are a rich source of anthocyanins and contain monoglycosides (glucosides, galactosides, and arabinosides) of delphinidin, cyanidin, petunidin, peonidin, and malvidin, as well as their acyl derivatives (Gao and Mazza 1994; Kalt et al. 1999; Wu and Prior 2005; Krupa and Tomala 2007; Barnes et al. 2009). The most abundant phenolic acid is chlorogenic acid (Cho et al. 2004; Taruscio et al. 2004; Wang et al. 2008); other acids include hydroxybenzoic acids (gentisic, gallic, protocatechuic, and salicylic acids) and hydroxycinnamic acids (m-coumaric, o-coumaric, and p-coumaric) occurring in the form of esters or glycosides (Zadernowski et al. 2005). Polyphenols characteristic of the highbush blueberry include flavonols, represented mostly by quercetin and its derivatives (Cho et al. 2005, 2004; Zheng and Wang 2003). The presence of proanthocyanidins has also been detected (Gu et al. 2003; 2004).
Due to the seasonality of highbush blueberry fruits, fresh berries are available only for a few months a year. One of the methods of extending the postharvest life of blueberries is osmotic dehydration, which also makes it possible to modify the composition of the raw material. The process consists in immersing raw material of cellular structure in a hypertonic solution (Behsnilian and Spiess 2006). During the process, the water present in the tissues is removed to the solution and mass is transferred between the solution and tissue components. Results obtained by Saurel et al. (1994a) indicate that the gradient of osmotic pressure created between the osmotic solution and the vacuolar sap of the fresh material subjected to dehydration is the major driving force of the process at low temperatures and short processing times (under 50 °C and up to 30 min for apples). Water and substances from the sap are transported through the semipermeable cell membrane of the biological material. The state of the membrane may change from partial to full permeability, which depends on the process conditions (Torreggiani and Bertolo 2001). According to Saurel et al. (1994a), at higher temperatures and long process times transfers are controlled by diffusion phenomena. Thus, inadequate dehydration parameters may lead to unfavorable changes in the dehydrated material, including the loss of semipermeability of cell membranes and substantial losses of valuable nutrients (Chiralt and Talens 2005; Falade and Igbeka 2007) as well as high sugar impregnation, which increases the caloric value of the product. During dehydration of frozen fruits, where penetration of the fruit tissue by osmotic substance is more intensive as the structure of cellular material is more damaged (Ohnihisi et al. 2003), the dehydration principle is also based on an overall diffusion mechanism (Saurel et al. 1994b).
A factor that hampers mass transfer in the process of osmotic dehydration is the fruit epidermis. Due to its low permeability, it constitutes a barrier to the osmotic solution, water, and substances dissolved in vacuolar sap. Consequently, in many cases, it is necessary to pretreat the raw material. The various pretreatment methods proposed in the literature include: ultrasound, lower hydrostatic pressure, steaming, immersion in alkaline or salt solutions, and exposure to a high-intensity electric field. Rodrigues et al. (2009) used ultrasound in the experiments on sapota fruits. Samples were peeled, cut into slices, immersed in water, and subjected to ultrasonic waves for 10–30 min. Fernandes et al. (2009) evaluated the effect of ultrasound on pineapple tissue (near triangular shaped samples were pretreated under the above-mentioned conditions). Ultrasound was also tested on banana, genipap, jambo, melon, papaya, and pinha (Fernandes and Rodrigues 2008). In the experiments by Mújica-Paz et al. (2003), vacuum was used at the first stage of osmotic dehydration (10 min) of mango, apple, and melon. Vacuum was also used by Bórquez et al. (2010). Defrozen raspberries were osmo-dehydrated initially at low pressure (for 8 min) and then at ambient pressure (4 h). Grabowski et al. (2007) performed a chemical pretreatment. Cranberries were dipped into 0.5–2.0 % NaOH solution for 3 min at 20 °C; 3 % sodium oleate and ethyl oleate were also tested. Additionally, different thermal pretreatments (3 min at 100 °C) were evaluated. High-intensity electric field (0.2–1.6 kV/cm) was applied by Rastogi et al. (1999) before osmotic dehydration of carrots. Most of the abovementioned pretreatments led to the increase in the mass transfer during osmotic dehydration, albeit in different degrees.
The objective of this work was to examine the influence of the temperature and duration of the dehydration process as well as the methods of pretreatment on polyphenol content in highbush blueberry fruits.
Materials and Methods
Materials
This study examined frozen highbush blueberry fruits of the cultivar “Bluecrop” (in the consumer maturity phase; pH = 3.47; dry matter content was 19.3 g/100 g; average mass of fresh fruit 1.9 g ± 0.3 g) harvested in late July and early August 2010 from a plantation located in Konstantynów Łódzki, Poland. The fruits were stored at −18 °C.
Chemicals and Standards
Methanol, acetone, and formic acid were purchased from J.T. Baker (Witko, Poland) Ultrapure water (Millipore System) was used to prepare all solutions. Commercial standards of delphinidin-3-O-glucoside, cyanidin-3-O-galactoside, cyanidin-3-O-glucoside were purchased from Extrasynthèse (Genay, France). Folin-Ciocalteu’s phenol reagent was obtained from POCH s.a. (Gliwice, Poland) and (−)-epikatechin standard was purchased from Sigma Aldrich (Steinheim, Germany). The enzymes PectinexYeld Mash, Palatase 750-L were provided by Novozymes (Bagsvaerd, Denmark), and Rapidase C-80 Max was supplied by DSM Food Specialties—Beverage Ingredients (Delft, Netherlands).
Osmotic Dehydration Without Pretreatment
The frozen fruits were dehydrated in 65 °Brix sucrose solution. Samples of 13.5 ± 1.0 g (approx. six berries) were weighed into plastic containers with screw-on lids. The solution was added to the containers immediately before the experiment, and then the sucrose solution was heated up to the dehydration temperature. The weight ratio of the raw material to the solution was 1:4. The process of osmotic dehydration (OD) was conducted for 5, 15, 30, 60, 90, 120, 180, and 240 min at 30, 40, 50, 60, and 70 °C under atmospheric pressure (the average time required to reach the desired temperature was 60 min following the dipping of frozen fruits). Every experiment was done in duplicate. Continuous shaking was applied throughout osmotic dehydration (200 cycles/min). After the set time of dehydration, the fruits were separated from the osmotic solution by means of a sieve. They were subsequently immersed in water and dried with filter paper. The dehydrated material was analyzed in terms of the content of dry matter, total polyphenols, and individual polyphenols using high performance liquid chromatography (HPLC).
Pretreatment of Fruits Prior to Osmotic Dehydration
Immersion in Boiling Water
Samples of 13.5 ± 1.0 g of the fruits (kept at approx. 22 °C for 15 min after taking out from a freezer) were placed on sieves and immersed in boiling water for 15 s. Subsequently, the fruits were cooled down by immersion in cold water.
Immersion in Hot NaOH solution
Samples of 13.5 ± 1.0 g of the fruits (kept at approx. 22 °C for 15 min after taking out from a freezer) were placed on sieves and immersed in 0.5 % solution of NaOH for 15 s at 95 °C. Subsequently, the fruits were cooled down by immersion in cold water.
Ultrasound Treatment
Plastic containers with 13.5 ± 1.0 g of sample material: fruits (kept at approx. 22 °C for 15 min after taking out from a freezer) and solution at a ratio of 1:4 were placed in an ultrasonic cleaner (Inter Sonic; 2,000 mL, vibration frequency of 35 ± 5 kHz, 500 W) for 15 min.
Ultrasound and Low Pressure Treatment
Samples of 13.5 ± 1.0 g of the fruits (kept at approx. 22 °C for 15 min after taking out from a freezer) and osmotic solution (at a ratio of 1:4) were placed in 150 mL vacuum flasks. Subsequently, the flasks were sealed tight and connected to a vacuum pump (0.92 kg cm−1). After 15 min, the flasks were disconnected from the vacuum pump and exposed to ultrasound (Inter Sonic; 2,000 mL, vibration frequency of 35 ± 5 kHz, 500 W) for 15 min.
Treatment with Pectinolytic and Lipolytic Enzymes
First, 90 ± 1 g of the fruits (kept at approx. 22 °C for 15 min after taking out from a freezer) was weighed into a 600 mL beaker, after which 360 mL of water and 0.6 mL of Pectinex Yield Mash preparation (enzyme activity of 46,000 PGU/mL) were added, and the beaker was left to stand for 30 min at approx. 22 °C (pH amounted to 4.2 ± 0.2). The fruits were then separated from the solution and washed with water three times. Subsequently, 13.5 ± 1 g fruit samples were weighed into containers with screw-on lids and 65 % sucrose solution was added.
The same procedure was used for the lipolytic preparation Palatase 750-L (0.7 mL, enzyme activity of 750 PGU/mL). Prior to the addition of lipase, the water (with fruits) was brought to pH 6.5 ± 0.5 with 0.1 M NaOH.
Furthermore, in another variant, the fruits were first subjected to treatment with lipolytic enzymes and then pectinolytic enzymes, in accordance with the above procedures.
Osmotic Dehydration Following Pretreatment
Osmotic dehydration was carried out at 30 °C. The other conditions of the process as well as the steps taken after its completion were as specified in point Osmotic Dehydration Without Pretreatment.
Osmotic Dehydration in the Presence of Pectinolytic Enzymes
Samples of 13.5 ± 1.0 of raw material (kept at approx. 22 °C for 15 min after taking out from a freezer) were placed on a sieve and immersed in boiling water for 15 s. Subsequently, they were placed in plastic containers with screw-on lids, to which 65 °Brix sucrose solution was added (at a fruit to syrup ratio of 1:4 w/w). The sucrose solution had been brought to pH 3.5 ± 0.5 prior to addition. A pectinolytic enzyme was added to every container. The following enzymatic preparations were used: Pectinex Yield Mash (Novozymes) and Rapidase C-80 Max (DSM); 0.1 mL of the preparations was added per 60 g of the osmotic solution. The remaining dehydration conditions were as in Osmotic Dehydration Without Pretreatment.
Phenolic Extraction
After dehydration, each sample (including all fruits from a container) was ground under liquid nitrogen with a grinder (A11B, IKA, Germany). Subsequently, 2.0 ± 0.5 g of a sample was weighed and extracted five times over 15 min with a solution containing MeOH, H2O and HCOOH (50:48:2) by decanting the supernatant to 25 mL volumetric flasks. The flasks were filled to volume with the extraction solution.
Determination of Total Polyphenol Content
First, 0.5 mL of the extract obtained as specified in Phenolic Extraction, 0.25 mL of Folin–Ciocalteu reagent, and 2.5 mL of 20 % Na2CO3 were placed in 25 mL volumetric flasks. Then, the flasks were filled to the mark with distilled water, and the contents were mixed and incubated at room temperature for 1 h. The absorbance of the solutions was measured at a wavelength of 720 nm. Total polyphenol content was expressed as (−)-epicatechin equivalents (Singleton and Rossi1965).
Determination of Anthocyanin Content with the HPLC Method
Chromatographic analysis was performed using a Knauer HPLC chromatograph with Phenomenex Gemini 5u C18 110A columns [150 × 4.60 mm] with a Phenomenex Security Guard Cartridge system [4 × 3.0 mm] and a DAD detector at 40 °C and a flow rate of 1 ml min−1; phase A: H2O/HCOOH (9:1, v/v) and phase B: ACN/H2O/HCOOH (95:4:1, v/v). The gradient program was as follows: 0–0.6 min, 12 % (v/v) B; 0.6–16 min, 12–30 % (v/v) B; 16–20.5 min 30–100 % (v/v) B; 20.5–22 min, 100 % (v/v) B; 22–25 min, 100–12 % (v/v) B, 25–35 min, 12 % (v/v) B. The injection volume was 20 μL. Data were collected using the Eurochrom 2000 software (Knauer, Berlin, Germany). Separation was performed on extract obtained as specified in Phenolic Extraction.
The total phenolics were measured by the method described by Singleton and Rossi 1965 with some modification. Standards obtained from Extrasynthèse (Geny, France) and Sigma-Aldrich, UV–vis data, and LC-MS data, as well as literature data (Gao and Mazza 1994; Kalt et al. 1999; Häkkinen and Törrönen 2000; Wu and Prior 2005; Castrejón et al. 2008; Lohachoompol et al. 2008; You et al. 2011), were used for the identification of anthocyanins. Quantitative results of the determinations are given as cyanidin-3-glucoside equivalents.
LC-ESI-MS/MS Analysis
The frozen fruits were extracted as specified in Phenolic Extraction. Then, the samples were separated using a Knauer System (Determination of Anthocyanin Content with the HPLC Method) equipped with fraction collector FOXY R1 (Teledyne ISCO Lincoln, NE, USA). Peaks were collected from ten repeated HPLC separations of extract. The obtained samples were diluted (1:3) with distilled water. The samples were passed through the SPE columns (STRATA X, Phenomenex, UK) that were pre-conditioned with 1 mL 100 % MeOH and 1 mL H2O. The retained compounds were eluted using 1 mL of 100 % MeOH. These solutions were then subjected to LC-ESI-MS/MS (LTQ VETOS, Thermo Scientific, Waltham, MA, USA). The samples were directly injected into MS detector. Analyses utilized the positive ion mode. The source parameters were as follows: ion spray voltage, 3.00 kV; capillary temperature, 325 °C; and sheath gas and auxiliary gas, 30 and 10 units/min, respectively. To generate MS/MS data, the precursor ions were by helium gas collision in the ion trap by optimizing the collision energy in order to obtain an intensity of the precursor ion close to 10 % of the relative scale of the spectrum.
Determination of Dry Matter Content
A weighing bottle with a glass rod and 5 ± 1 g of sand was placed in a dryer at 105 ± 2 °C for 1 h until a constant weight was obtained. Subsequently, the bottle was cooled down in a desiccator and weighed. Then, 2 ± 0.5 g of sample material (after grinding, see “Phenolic Extraction”) was weighed into the bottle, mixed with the sand, and weighed. After weighing, the bottle containing the sample material was dried to constant weight in a vacuum dryer (90.0 kPa) at 60 ± 2 °C for 10 h. Finally, the bottle was cooled down in a desiccator and weighed.
Calculation of Osmotic Parameters
- m 0
-
weight of sample before osmotic dehydration [grams]
- m k
-
weight of sample after osmotic dehydration [grams]
- s 0
-
solids content before osmotic dehydration [grams of dry matter per gram]
- s k
-
solids content after osmotic dehydration [grams of dry matter per gram]
Statistical Analysis
ANOVA analysis was conducted using STATISTICA software to evaluate differences between treatments (by Duncan’s test).
Results and Discussion
Changes of Dry Matter Content During Fruit Dehydration Without Pretreatment
Changes in dry matter content (a), water loss (b), and solids gain (c) in highbush blueberry fruits during osmotic dehydration (OD) in 65 °Brix sucrose solution at 1:4 fruit to syrup ratio at different temperatures (30, 40, 50, 60, and 70 °C). In the tables attached, the same letter in different cells within a given column indicates a lack of statistical differences (α = 0.05) between the results at particular processing times
The presented results show that osmotic dehydration at 30–50 °C is time consuming and does not deliver an adequate degree of dehydration. Therefore, further research focused on finding a pretreatment method that would ensure better mass transfer.
Changes in Dry Matter Content in Pretreated Fruits
Changes in dry matter content (a), water loss (b), and solids gain (c) in highbush blueberry fruits during osmotic dehydration at 30 °C: without pretreatment (OD-30 °C); preceded by pretreatment in hot water (HW+OD-30 °C); preceded by pretreatment in hot water and in hot NaOH at 100 °C (HW+NaOH+OD-30 °C). In the tables attached, the same letter in different cells within a given column indicates a lack of statistical differences (α = 0.05) between the results at particular processing times
Interesting pretreatment methods include the use of ultrasound and low pressure. The action of acoustic waves (ultrasounds) on plant tissue leads to a series of contractions and removal of water, resulting in an effect similar to squeezing a sponge. This treatment method induces the formation of microscopic channels and improves the capillary flow of osmotic solution to intercellular spaces in the material subjected to dehydration (Fernandes et al. 2009). Furthermore, it has been shown that the process of osmotic dehydration with sonification facilitates water diffusion during convective drying. Similar effects were reported by Fernandes and Rodrigues (2011) in the process of drying pineapples, Malay apples, and soapberries.
Literature data also confirm that dehydration under low pressure proceeds faster as compared to samples dehydrated under atmospheric pressure. Low pressure pretreatment makes it possible to remove the gas present in the pores of the raw material, which leads to an increased surface of mass transfer and facilitates further dehydration under atmospheric pressure (Rastogi et al. 2002). This method decreases the time of dehydration, thus reducing energy consumption in further technological processes (Deng and Zhao 2008; Janowicz et al. 2008).
Changes in dry matter content (a), water loss (b), and solids gain (c) in highbush blueberry fruits during osmotic dehydration at 30 °C: without pretreatment (OD-30 °C); preceded by pretreatment with ultrasound (US+OD-30 °C); preceded by pretreatment with ultrasound and under low pressure (US+V+OD-30 °C). In the tables attached, the same letter in different cells within a given column indicates a lack of statistical differences (α = 0.05) between the results at particular processing times
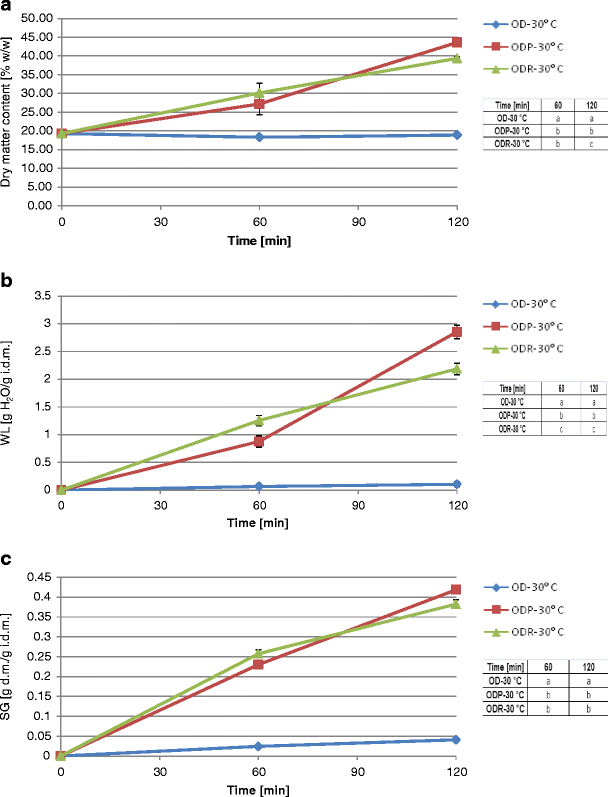
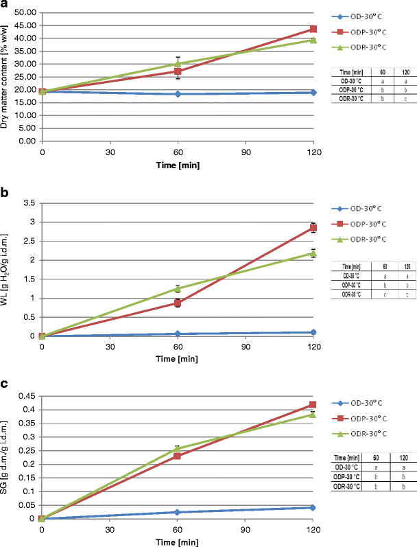
Changes in dry matter content (a), water loss (b), and solids gain (c) in highbush blueberry fruits during osmotic dehydration at 30 °C (OD-30 °C); in the presence of Pectinex Yield Mash enzyme (ODP-30 °C); and in the presence of Rapidase C-80 Max enzyme (ODR-30 °C). In the tables attached, the same letter in different cells within a given column indicates a lack of statistical differences (α = 0.05) between the results at particular processing times
Changes in dry matter content (a), water loss (b), and solids gain (c) in highbush blueberry fruits during osmotic dehydration at 30 °C: without pretreatment (OD-30 °C); preceded by pretreatment by immersion in a water bath containing: pectinolytic enzyme (P+OD-30 °C); lipolytic enzyme (L+OD-30 °C); pectinolytic enzyme and following a water bath containing lipolytic enzyme (P+L+OD-30 °C). In the tables attached, the same letter in different cells within a given column indicates a lack of statistical differences (α = 0.05) between the results at particular processing times
The Influence of Pretreatment and Osmotic Dehydration on Polyphenol Content in Blueberries
Changes in total polyphenol content in highbush blueberry fruits during osmotic dehydration (OD) in 65 °Brix sucrose solution (without pretreatment) at different temperatures (30, 40, 50, 60, and 70 °C). In the tables attached, the same letter in different cells within a given column indicates a lack of statistical differences (α = 0.05) between the results at particular processing times
Total polyphenols in the whole amount of fruits subjected to processing (before dehydration), in the whole amount of processed fruits (after dehydration), and in the whole amount of syrup after dehydration
| Before dehydration | After dehydration | Fruits + syrup [mg] | ||
|---|---|---|---|---|
| Time [min] | Fruits [mg] | Fruits [mg] | Syrup [mg] | |
| 5 | 49.53 ± 0.38 | 49.61 ± 1.30 | nd | 49.61 ± 1.30 |
| 15 | 49.20 ± 0.47 | 48.31 ± 1.35 | nd | 48.31 ± 1.35 |
| 30 | 49.88 ± 0.35 | 49.37 ± 1.23 | nd | 49.37 ± 1.23 |
| 60 | 48.04 ± 0.47 | 48.67 ± 0.93 | nd | 48.67 ± 0.93 |
| 90 | 49.13 ± 0.85 | 48.73 ± 1.10 | nd | 48.73 ± 1.10 |
| 120 | 49.06 ± 0.47 | 48.38 ± 1.81 | 0.11 ± 0.02 | 48.49 ± 1.84 |
| 180 | 48.60 ± 0.05 | 48.43 ± 0.98 | 0.13 ± 0.05 | 48.55 ± 0.93 |
| 240 | 49.26 ± 0.81 | 48.11 ± 1.64 | 0.27 ± 0.01 | 48.38 ± 1.50 |
| OD-40 °C | ||||
| 5 | 48.01 ± 1.08 | 47.36 ± 1.73 | nd | 47.36 ± 1.73 |
| 15 | 47.60 ± 1.43 | 46.40 ± 2.19 | 1.54 ± 0.10 | 47.93 ± 2.29 |
| 30 | 50.43 ± 2.92 | 48.64 ± 1.86 | 1.26 ± 0.11 | 49.89 ± 1.97 |
| 60 | 51.65 ± 0.49 | 47.44 ± 3.31 | 0.92 ± 0.10 | 48.36 ± 3.21 |
| 90 | 51.56 ± 0.51 | 49.49 ± 0.92 | 1.18 ± 0.57 | 50.67 ± 0.34 |
| 120 | 50.51 ± 2.18 | 47.46 ± 1.70 | 2.07 ± 0.29 | 49.52 ± 1.99 |
| 180 | 52.00 ± 0.61 | 49.22 ± 3.69 | 1.61 ± 0.34 | 50.83 ± 4.03 |
| 240 | 49.07 ± 3.52 | 46.51 ± 3.75 | 1.76 ± 0.01 | 48.27 ± 3.76 |
| OD-50 °C | ||||
| 5 | 49.98 ± 0.05 | 49.71 ± 1.68 | nd | 49.71 ± 1.68 |
| 15 | 48.63 ± 1.05 | 45.31 ± 2.33 | nd | 45.31 ± 2.33 |
| 30 | 48.56 ± 0.68 | 42.88 ± 4.77 | 3.30 ± 0.84 | 46.18 ± 3.93 |
| 60 | 48.26 ± 0.37 | 45.22 ± 1.96 | 2.19 ± 0.50 | 47.40 ± 0.46 |
| 90 | 47.74 ± 1.30 | 44.05 ± 2.22 | 2.86 ± 0.70 | 46.91 ± 3.92 |
| 120 | 48.11 ± 0.50 | 44.35 ± 0.78 | 2.03 ± 0.53 | 46.38 ± 0.24 |
| 180 | 48.41 ± 1.47 | 40.92 ± 0.31 | 6.57 ± 1.42 | 47.48 ± 1.73 |
| 240 | 48.79 ± 0.28 | 39.42 ± 0.81 | 6.76 ± 1.05 | 46.19 ± 2.24 |
| OD-60 °C | ||||
| 5 | 47.81 ± 0.90 | 48.47 ± 1.66 | nd | 48.47 ± 1.66 |
| 15 | 48.62 ± 0.47 | 46.11 ± 2.89 | nd | 46.11 ± 2.89 |
| 30 | 49.13 ± 0.98 | 47.51 ± 2.60 | 2.57 ± 0.37 | 50.07 ± 2.97 |
| 60 | 48.32 ± 0.29 | 41.28 ± 0.83 | 2.53 ± 1.15 | 43.81 ± 1.98 |
| 90 | 48.23 ± 0.24 | 38.72 ± 1.80 | 3.97 ± 0.44 | 44.52 ± 1.23 |
| 120 | 49.62 ± 0.79 | 41.86 ± 1.47 | 5.61 ± 0.34 | 47.47 ± 1.12 |
| 180 | 48.98 ± 0.48 | 42.24 ± 2.04 | 7.72 ± 0.02 | 49.96 ± 2.06 |
| 240 | 49.28 ± 0.40 | 42.21 ± 0.08 | 8.61 ± 0.11 | 50.81 ± 0.19 |
| OD-70 °C | ||||
| 5 | 48.33 ± 0.56 | 47.01 ± 2.43 | 1.29 ± 0.42 | 48.30 ± 2.85 |
| 15 | 47.76 ± 0.52 | 45.21 ± 2.69 | 2.39 ± 0.04 | 47.61 ± 2.73 |
| 30 | 46.90 ± 0.59 | 40.55 ± 2.44 | 4.90 ± 0.33 | 45.44 ± 2.11 |
| 60 | 47.68 ± 0.48 | 37.95 ± 3.00 | 8.23 ± 0.04 | 46.19 ± 2.96 |
| 90 | 47.05 ± 1.39 | 35.17 ± 0.42 | 13.05 ± 0.66 | 48.23 ± 0.23 |
| 120 | 47.09 ± 0.03 | 33.16 ± 0.39 | 13.92 ± 2.12 | 47.08 ± 1.73 |
| 180 | 47.14 ± 0.45 | 27.73 ± 1.96 | 21.14 ± 1.84 | 48.87 ± 0.13 |
| 240 | 48.05 ± 0.38 | 21.90 ± 1.17 | 26.28 ± 1.11 | 48.19 ± 2.28 |
What is interesting is that a comparison of total polyphenols in the whole system (fruits + syrup) before and after dehydration indicates that, even at higher temperatures, blueberry polyphenols were characterized by a relatively high stability (Table 1). After 4 h of dehydration at 30–70 °C, the loss of polyphenols caused by degradation was 5.3 % at the most.
Changes in total polyphenol content in osmotically dehydrated fruits: a during dehydration in the presence of pectinolytic enzymes: Pectinex Yield Mash (ODP-30 °C), Rapidase C-80 Max (ODR-30 °C), b during dehydration preceded by pretreatment with pectinolytic enzyme (P+OD-30 °C); c) during dehydration preceded by pretreatment with lipolytic and pectinolytic enzymes (P+L+OD-30 °C). In the tables attached, the same letter in different cells within a given column indicates a lack of statistical differences (α = 0.05) between the results at particular processing times
Total polyphenols in the whole amount of fruits subjected to processing (before dehydration), in the whole amount of processed fruits (after dehydration), and in the whole amount of syrup after dehydration
| Before dehydration | After dehydration | Fruits+syrup [mg] | ||
|---|---|---|---|---|
| Time [min] | Fruits [mg] | Fruits [mg] | Syrup [mg] | |
| 60 | 54.02 ± 0.46 | 47.23 ± 1.64 | 2.71 ± 0.25 | 49.95 ± 1.89 |
| 120 | 54.84 ± 0.91 | 30.20 ± 0.22 | 24.13 ± 0.75 | 54.33 ± 0.96 |
| ODR-30 °C | ||||
| 60 | 53.36 ± 0.34 | 49.62 ± 1.95 | 3.02 ± 0.85 | 52.64 ± 1.11 |
| 120 | 54.30 ± 0.17 | 24.26 ± 2.60 | 29.12 ± 0.50 | 53.38 ± 3.11 |
| P+OD-30 °C | ||||
| 60 | 53.12 ± 0.45 | 51.06 ± 0.40 | 1.53 ± 0.24 | 52.59 ± 0.16 |
| 120 | 52.03 ± 0.38 | 50.62 ± 0.56 | 2.30 ± 0.25 | 52.92 ± 0.80 |
| L+P+OD-30 °C | ||||
| 60 | 53.18 ± 0.38 | 51.40 ± 0.60 | 1.95 ± 0.43 | 53.35 ± 0.17 |
| 120 | 53.74 ± 0.58 | 50.62 ± 0.51 | 3.20 ± 0.39 | 53.82 ± 0.91 |
Considering the above results, pretreatment with pectinolytic and lipolytic enzymes may have practical implications, as it enables the intensification of the dehydration–impregnation process without inducing substantial losses in phenolic compounds while preserving the acceptable shape of the fruits (no softening of the fruits was observed). The considerable increase in solids gain after using both enzymes increases possibilities for the fortification of osmo-dried products with desirable substances (for example oligosaccharides; Matusek et al. 2008) from a hypertonic solution.
Identification of anthocyanins in blueberry fruits using mass spectroscopy
| Peak | Anthocyanin | t R (min) | [M]+ (m/z) | MS/MS (m/z) |
|---|---|---|---|---|
| 1 | Delphinidin-3-O-galactoside | 3.7 | 465 | 303 |
| 2 | Delphinidin-3-O-glucoside | 4.1 | 465 | 303 |
| 3 | Cyanidin-3-O-galactoside, | 4.8 | 449 | 287 |
| 4 | Cyanidin-3-O-glucoside | 5.3 | 449 | 287 |
| 5 | Petunidin-3-O-galactoside, | 5.8 | 479 | 287 |
| 6 | Petunidin-3-O-glucoside | 6.5 | 479 | 317 |
| 7 | Petunidin-3-O-arabinoside | 7.5 | 449 | 317 |
| Peonidin-3-O-galactoside | 463 | 301 | ||
| 8 | Peonidin-3-O-glucoside, | 8.2 | 463 | 301 |
| 9 | Malvidin-3-O-galactoside | 8,6 | 493 | 331 |
| 10 | Malvidin-3-O-glucoside | 9.5 | 493 | 331 |
| 11 | Malvidin-3-O-arabinoside | 10.6 | 463 | 331 |
| 12 | Malvidin + pentose | 14.1 | 463 | 331 |
| 13 | Malvidin + acetoyl + hexose (I) | 14.8 | 535 | 331 |
| 14 | Malvidin + acetoyl + hexose (II) | 15.5 | 535 | 331 |
| 15 | Malvidin + acetoyl + hexose (III) | 18.5 | 535 | 331 |
HPLC chromatogram of blueberry fruits with detection at 520 nm. Compounds: [1] delphinidin-3-galactoside, [2] delphinidin-3-glucoside, [3] cyanidin-3-galactoside, delphinidin-3-arabinoside, [4] cyanidin-3-glucoside, [5] petunidin-3-galactoside, cyanidin-3-arabinoside, [6] petunidin-3-glucoside, [7] peonidin-3-galactoside and petunidin-3-arabinoside, [8] peonidin-3-glucoside, malvidin-3-galactoside, [9] malvidin-3-galactoside, [10] malvidin-3-glucoside, [11] malvidin-3-arabinoside, [12] malvidin-3-O-pentoside, [13] malvidin + acetoyl + hexose (I), [14] malvidin + acetoyl + hexose (II), [15] malvidin + acetoyl + hexose (III)
The content of selected anthocyanins in highbush blueberry fruits after osmotic dehydration (OD) at different temperatures (30, 40, 50, 60, and70 °C) in 65 °Brix sucrose solution for 1 h without pretreatment or pretreated by immersion in a water bath containing lipase (30 min) and pectinase (30 min)—dehydration at 30 °C in 65 °Brix sucrose solution (P+L+OD-30 °C)
| Compound | Fresh [mg/100 g i.w.] | OD-30 °C [mg/100 g i.w.] | OD-40 °C [mg/100 g i. w.] | OD-50 °C [mg/100 g i.w.] | OD-60 °C [mg/100 g i. w.] | OD-70 °C [mg/100 g i.w.] | L+P+OD-30 °C [mg/100 g i. w.] |
|---|---|---|---|---|---|---|---|
| Delphinidin-3-galactoside | 15.71 ± 1.31 | 9.29 ± 0.18 | 10.22 ± 1.30 | 7.83 ± 1.31 | 8.94 ± 0.43 | 8.94 ± 1.20 | 10.04 ± 0.49 |
| (59.1) | (65.0) | (49.8) | (56.9) | (56.9) | (63.9) | ||
| Delphinidin-3-glucoside | 8.52 ± 0.37 | 6.65 ± 0.13 | 7.30 ± 1.05 | 6.87 ± 1.79 | 6.83 ± 0.11 | 6.62 ± 0.83 | 7.13 ± 0.70 |
| (78.0) | (85.8) | (80.7) | (80.2) | (77.6) | (83.7) | ||
| Cyanidin-3-galactoside | 17.43 ± 1.12 | 12.42 ± 0.24 | 12.61 ± 1.51 | 10.97 ± 2.10 | 11.27 ± 0.46 | 11.87 ± 1.11 | 12.38 ± 0.25 |
| (71.3) | (72.4) | (63.0) | (64.7) | (68.1) | (71.1) | ||
| Cyanidin-3-glucoside | 1.44 ± 0.11 | 1.26 ± 0.02 | 1.28 ± 0.20 | 1.21 ± 0.29 | 1.29 ± 0.04 | 0.86 ± 0.04 | 1.14 ± 0.07 |
| (87.3) | (88.6) | (83.9) | (89.6) | (59.5) | (79.0) | ||
| Petunidin-3-galactoside | 7.78 ± 0.10 | 7.46 ± 0.14 | 7.06 ± 0.56 | 6.50 ± 0.80 | 6.68 ± 0.27 | 6.24 ± 0.19 | 7.21 ± 0.24 |
| (95.9) | (90.7) | (83.6) | (85.9) | (80.2) | (92.7) | ||
| Petunidin-3-glucoside | 6.47 ± 0.03 | 6.48 ± 0.12 | 5.92 ± 0.59 | 5.76 ± 1.01 | 6.11 ± 0.28 | 5.09 ± 0.68 | 6.25 ± 0.57 |
| (100.1) | (91.5) | (89.0) | (94.4) | (78.7) | (96.6) | ||
| Peonidin-3-glucoside | 1.48 ± 0.02 | 1.26 ± 0.02 | 0.87 ± 0.09 | 0.78 ± 0.22 | 0.74 ± 0.05 | 0.90 ± 0.17 | 1.08 ± 0.02 |
| (84.9) | (59.1) | (53.0) | (49.7) | (60.7) | (72.77) | ||
| Malvidin-3-galactoside | 19.23 ± 1.07 | 13.99 ± 0.27 | 13.59 ± 0.81 | 12.47 ± 1.79 | 15.14 ± 0.73 | 12.73 ± 2.46 | 14.12 ± 1.73 |
| (72.7) | (70.65) | (64.84) | (78.7) | (66.2) | (73.4) | ||
| Malvidin-3-glucoside | 13.62 ± 0.72 | 10.02 ± 0.19 | 10.88 ± 0.30 | 10.11 ± 1.54 | 11.63 ± 0.08 | 10.26 ± 1.25 | 10.72 ± 1.12 |
| (73.5) | (79.9) | (74.2) | (85.3) | (75.4) | (78.7) | ||
| Malvidin-3-O-arabinoside | 20.87 ± 0.41 | 16.42 ± 0.31 | 15.25 ± 0.16 | 14.96 ± 2.23 | 17.44 ± 0.67 | 14.73 ± 2.31 | 16.95 ± 0.62 |
| 78.69 | (73.1) | (71.7) | (83.5) | (70.6) | (81.2) | ||
| Malvidin + acetoyl + hexose (III) | 4.68 ± 0.33 | 3.16 ± 0.06 | 3.09 ± 0.13 | 3.10 ± 0.59 | 3.65 ± 0.52 | 2.82 ± 0.17 | 3.37 ± 0.26 |
| (67.6) | 66.24 | (66.3) | (78.2) | (60.4) | (72.1) |
Amounts of selected polyphenols: in the whole amount of fruits subjected to processing (before dehydration), in the whole amount of processed fruits (after dehydration), and in the whole amount of syrup after dehydration
| Before dehydration | After dehydration | Fruits + syrup [mg] | ||
|---|---|---|---|---|
| Time [min] | Fruits [mg] | Fruits [mg] | Syrup [mg] | |
| Delphinidin-3-O-galactoside | ||||
| OD-30 °C | 1.72 ± 0.01 | 1.64 ± 0.08 | nd | 1.71 ± 0.12 |
| OD-40 °C | 1.79 ± 0.02 | 1.67 ± 0.17 | nd | 1.67 ± 0.17 |
| OD-50 °C | 1.67 ± 0.01 | 1.43 ± 0.02 | 0.20 ± 0.00 | 1.64 ± 0.02 |
| OD-60 °C | 1.68 ± 0.01 | 1.40 ± 0.20 | 0.20 ± 0.00 | 1.61 ± 0.20 |
| OD-70 °C | 1.65 ± 0.02 | 1.21 ± 0.17 | 0.35 ± 0.00 | 1.56 ± 0.22 |
| L+P-OD-30 °C | 1.84 ± 0.01 | 1.51 ± 0.06 | 0.22 ± 0.00 | 1.73 ± 0.07 |
| Cyanidin-3-O-galactoside | ||||
| OD-30 °C | 2.06 ± 0.02 | 1.77 ± 0.03 | 0.17 ± 0.01 | 1.94 ± 0.04 |
| OD-40 °C | 2.14 ± 0.02 | 1.81 ± 0.05 | 0.15 ± 0.00 | 1.96 ± 0.04 |
| OD-50 °C | 1.80 ± 0.02 | 1.50 ± 0.00 | 0.25 ± 0.00 | 1.74 ± 0.00 |
| OD-60 °C | 2.01 ± 0.01 | 1.54 ± 0.00 | 0.31 ± 0.00 | 1.85 ± 0.01 |
| OD-70 °C | 1.98 ± 0.02 | 1.61 ± 0.05 | 0.79 ± 0.00 | 2.00 ± 0.51 |
| L+P-OD-30 °C | 2.21 ± 0.02 | 1.91 ± 0.05 | 0.31 ± 0.00 | 2.07 ± 0.17 |
| Petunidin-3-O-galactoside | ||||
| OD-30 °C | 1.09 ± 0.01 | 0.99 ± 0.02 | 0.03 ± 0.00 | 1.02 ± 0.02 |
| OD-40 °C | 1.14 ± 0.01 | 1.09 ± 0.03 | 0.03 ± 0.00 | 1.12 ± 0.03 |
| OD-50 °C | 1.06 ± 0.01 | 0.78 ± 0.00 | 0.06 ± 0.00 | 0.84 ± 0.00 |
| OD-60 °C | 1.06 ± 0.01 | 0.92 ± 0.00 | 0.07 ± 0.00 | 0.99 ± 0.00 |
| OD-70 °C | 1.05 ± 0.01 | 0.84 ± 0.03 | 0.34 ± 0.01 | 1.01 ± 0.21 |
| L+P-OD-30 °C | 1.17 ± 0.01 | 1.05 ± 0.03 | 0.09 ± 0.00 | 1.09 ± 0.04 |
| Malvidin-3-O-arabinoside | ||||
| OD-30 °C | 2.25 ± 0.02 | 2.15 ± 0.03 | nd | 2.15 ± 0.03 |
| OD-40 °C | 2.35 ± 0.02 | 2.39 ± 0.07 | nd | 2.39 ± 0.07 |
| OD-50 °C | 2.20 ± 0.02 | 2.03 ± 0.02 | 0.22 ± 0.01 | 2.25 ± 0.03 |
| OD-60 °C | 2.20 ± 0.01 | 1.97 ± 0.03 | 0.25 ± 0.01 | 2.22 ± 0.02 |
| OD-70 °C | 2.17 ± 0.02 | 1.77 ± 0.03 | 0.39 ± 0.03 | 2.16 ± 0.06 |
| L+P-OD-30 °C | 2.42 ± 0.02 | 2.12 ± 0.05 | 0.21 ± 0.03 | 2.33 ± 0.03 |
Conclusions
The factors influencing osmotic dehydration of highbush blueberry fruits include time and temperature, as well as the fruit pretreatment method. At 30–50 °C, dehydration is not very effective, while the application of higher temperatures leads to substantial losses of phenolic compounds in the dehydrated material (30 % after 2 h of dehydration at 70 °C). Initial immersion of fruits in pectinolytic and lipolytic enzymes leads to a greater increase of dry matter content (26.1 %) with a phenolic retention of 96 % and with the retention of individual anthocyanins amounting to at least 64 % after 1 h of dehydration at 30 °C.
Notes
Open Access
This article is distributed under the terms of the Creative Commons Attribution License which permits any use, distribution, and reproduction in any medium, provided the original author(s) and the source are credited.
References
- Barnes, J. S., Nguyen, H. P., Shen, S., & Schug, K. A. (2009). General method for extraction of blueberry anthocyanins and identification using high performance liquid chromatography–electrospray ionization-ion trap-time of flight-mass spectrometry. Journal of Chromatography, 1216, 4728–4735.CrossRefGoogle Scholar
- Behsnilian, D., & Spiess, W. E. L. (2006). Osmotic dehydration of fruits and vegetable. IUFoST, 1857–1869.Google Scholar
- Bórquez, R. M., Canales, E. R., & Redon, J. P. (2010). Osmotic dehydration of raspberries with vacuum pretreatment followed by microwave-vacuum drying. Journal of Food Engineering, 99, 121–127.CrossRefGoogle Scholar
- Castrejón, A. D. R., Eichholz, I., Rohn, S., Kroh, L. W., & Huyskens-Keil, S. (2008). Phenolic profile and antioxidant activity of highbush blueberry (Vacciniumcorymbosum L.) during fruit maturation and ripening. Food Chemistry, 109, 564–572.CrossRefGoogle Scholar
- Chiralt, A., & Talens, P. (2005). Physical and chemical changes induced by osmotic dehydrationin plant tissues. Journal of Food Engineering, 67, 167–177.CrossRefGoogle Scholar
- Cho, M. J., Howard, L., Prior, R. L., & Clark, J. (2004). Flavonoid glycosides and antioxidant capacity of various blackberry, blueberry and red grape genotypes determined by high-performance liquid chromatography/mass spectrometry. Journal of the Science of Food and Agriculture, 84, 1771–1782.CrossRefGoogle Scholar
- Cho, M. J., Howard, L., Prior, R. L., & Clark, J. (2005). Flavonol glycosides and antioxidant capacity of various blackberry and blueberry genotypes determined by high-performance liquid chromatography/mass spectrometry. Journal of the Science of Food and Agriculture, 85, 2149–2158.CrossRefGoogle Scholar
- Connor, A. M., Luby, J. J., & Tong, C. B. S. (2002). Genotypic and environmental variation in antioxidant activity, total phenolic content and anthocyanin content among blueberry cultivars. American Society for Horticultural Science, 127(1), 89–97.Google Scholar
- Deng, Y., & Zhao, Y. (2008). Effects of pulsed-vacuum and ultrasound on the osmodehydration kinetics and microstructure of apples (Fuji). Journal of Food Engineering, 85(1), 84–93.CrossRefGoogle Scholar
- Devic, E., Guyot, S., Daudin, J. D., & Bonazzi, C. (2010). Effect of temperature and cultivar on polyphenol retention and mass transfer during osmotic dehydration of apples. Journal of Agricultural and Food Chemistry, 58(1), 606–614.CrossRefGoogle Scholar
- Falade, K. O., & Igbeka, J. I. (2007). Osmotic dehydration of tropical fruitsand vegetables. Food Reviews International, 23, 373–405.CrossRefGoogle Scholar
- Fernandes, F. A. N., & Rodrigues, S. (2008). Application of ultrasound and ultrasound-assisted osmotic dehydration in drying of fruits. Drying Technology, 26, 1509–1516.CrossRefGoogle Scholar
- Fernandes, F. A. N., & Rodrigues S. (2011). Ultrasound application as pre-treatment for drying of fruits. In P. S. Taoukis, et al. (Eds), Proceedings of the International Congress on Engineering and Food, vol III (pp. 1987–1989). Athens, Greece: Cosmosware.Google Scholar
- Fernandes, F. A. N., Gallăo, M. I., & Rodrigues, S. (2009). Effect of osmosis and ultrasound on pineapple cell tissue structure during dehydration. Journal of Food Engineering, 90, 186–190.CrossRefGoogle Scholar
- Gao, L., & Mazza, G. (1994). Quantitation and distribution of simple and acylatedanthocyanins and other phenolics in blueberries. Journal of Food Science, 59, 1057–1059.CrossRefGoogle Scholar
- Grabowski, S., Marcotte, M., Quan, D., Taherian, A. R., Zareifard, M. R., Poirier, M., et al. (2007). Kinetics and quality aspects of Canadian blueberries and cranberries dried by osmo-convective method. Drying Technology, 25, 367–374.CrossRefGoogle Scholar
- Gu, L., Kelm, M. A., Hammerstone, J. F., Beecher, G., Holden, J., Haytowitz, D., et al. (2003). Screening of foods containing proanthocyanidins and their structural characterization using LC-MS/MS and thiolytic degradation. Journal of Agricultural and Food Chemistry, 51, 7513–7521.CrossRefGoogle Scholar
- Gu, L., Kelm, M. A., Hammerstone, J. F., Beecher, G., Holden, J., Haytowitz, D., et al. (2004). Concentrations of proanthocyanidins in common foods and estimations of normal consumption. The Journal of Nutrition, 134, 613–617.Google Scholar
- Häkkinen, S. H., & Törrönen, A. R. (2000). Content of favonols and selected phenolic acids in strawberries and Vaccinium species: influence of cultivar, cultivation site and technique. Food Research International, 33, 517–524.CrossRefGoogle Scholar
- Heim, K. E., Tagliaferro, A. R., & Bobilya, D. J. (2002). Flavonoid antioxidants: chemistry, metabolism and structure–activity relationships. The Journal of Nutritional Biochemistry, 13(10), 572–584.CrossRefGoogle Scholar
- Janowicz, M., Domian, E., Lenart, A., & Wójcik, M. (2008). Effect of pressure during osmotic dehydration on the course of convective drying of apple tissue. Acta Agrophysica, 12(3), 675–688.Google Scholar
- Joseph, J. A., Shukitt-Hale, B., & Casadesus, G. (2005). Reversing the deleterious effects of aging on neuronal communication and behavior: beneficial properties of fruit polyphenolic compounds. American Society for Clinical Nutrition, 81, 313–316.Google Scholar
- Kalt, W., McDonald, J. E., Ricker, R. D., & Lu, X. (1999). Anthocyanin content and profile within and among blueberry species. Canadian Journal of Plant Science, 79, 617–623.CrossRefGoogle Scholar
- Krikorian, R., Shidler, M. D., Nash, T. A., Kalt, W., Vinqvist-Tymchuck, M. R., Shukitt-Hale, B., et al. (2010). Blueberry supplementation improves memory in older adults. Journal of Agricultural and Food Chemistry, 58, 3996–4000.CrossRefGoogle Scholar
- Krupa, T., & Tomala, K. (2007). Antioxidant capacity, anthocyanin content profile in “Bluecrop” blueberry fruit. Vegetable Crops Research Bulletin, 66, 129–141.CrossRefGoogle Scholar
- Łata, B., Trąpczyńska, A., & Mike, A. (2005). Effect of cultivar and harvest date on thiols, ascorbate and phenolic compounds content in blueberries. Acta Scientiarum Polonorum, Hortorum Cultus, 4(1), 163–171.Google Scholar
- Lewicki, P. P., Kowalska, H., & Lenart, A. (1998). Effect of temperature on mass transfer during osmotic dehydration of plant tissue. Proc. of Industrial Seminar, Industrial Aapplication of Osmotic Dehydration Treatments of Food, Bertinoro, 44–50.Google Scholar
- Lohachoompol, V., Mulholland, M., Srzednicki, G., & Craske, J. (2008). Determination of anthocyanins in various cultivars of highbush and rabbiteye blueberries. Food Chemistry, 111, 249–254.CrossRefGoogle Scholar
- Manach, C., Scalbert, A., Morand, C., Rémésy, C., & Jiménez, L. (2004). Polyphenols: food sources and bioavailability. American Society for Clinical Nutrition, 79, 727–747.Google Scholar
- Matusek, A., Czukor, B., & Merész, P. (2008). Comparison of sucrose and fructo-oligosaccharides as osmotic agents in apple. Innovative Food Science and Emerging Technologies, 9, 365–373.CrossRefGoogle Scholar
- Matuska, M., Lenart, A., & Lazarides, N. (2006). On the use of edible coatings to monitor osmotic dehydration kinetics for minimal solids uptake. Journal of Food Engineering, 72, 85–91.CrossRefGoogle Scholar
- Mazza, G. (2005). Compositional and functional properties of saskatoon berry and blueberry. International Journal of Fruit Science, 5(3), 101–119.CrossRefGoogle Scholar
- Mújica-Paz, H., Valdez-Fragoso, A., López-Malo, A., Palou, E., & Welti-Chanes, J. (2003). Impregnation and osmotic dehydration of some fruits: effect of the vacuum pressure and syrup concentration. Journal of Food Engineering, 57, 305–314.CrossRefGoogle Scholar
- Nsonzi, F., & Ramaswamy, H. S. (1998). Osmotic dehydration kinetic of blueberries. Drying Technology, 16(3–5), 725–741.CrossRefGoogle Scholar
- Ochmian, I., Grajkowski, J., Mikiciuk, G., Ostrowska, K., & Chełpiński, P. (2009). Mineral composition of highbush blueberry leaves and fruits depending on substrate type used for cultivation. Jouranal of Elementology, 14(2), 509–516.Google Scholar
- Ohnihisi, S., Fujii, T., & Miyawaki, O. (2003). Freezing injury and rheological properties of agricultural products. Food Science and Technology Research, 9, 367–371.CrossRefGoogle Scholar
- Perron, N. R., & Brumaghim, J. L. (2009). A review of the antioxidant mechanisms of polyphenol compounds related to iron binding. Cell Biochemistry and Biophysics, 53, 75–100.CrossRefGoogle Scholar
- Petti, S., & Scully, C. (2009). Polyphenols, oral health and disease: a review. Journal of Dentistry, 37, 413–423.CrossRefGoogle Scholar
- Pietta, P. G. (2000). Flavonoids as antioxidants. Journal of Natural Products, 63, 1035–1042.CrossRefGoogle Scholar
- Pokorný, J. (2007). Are natural antioxidants better—and safer—than synthetic antioxidants? European Journal of Lipid Science and Technology, 109, 629–642.CrossRefGoogle Scholar
- Rastogi, N. K., Eshtiaghi, M. N., & Knorr, D. (1999). Accelerated mass transfer during osmotic dehydration of high intensity electrical field pulse pretreated carrots. Journal of Food Science, 64(6), 1020–1023.CrossRefGoogle Scholar
- Rastogi, N. K., Raghavarao, K. S. M. S., Niranjan, K., & Knorr, D. (2002). Recent developments in osmotic dehydration: methods to enhance mass transfer. Trends in Food Science and Technology, 13, 48–59.CrossRefGoogle Scholar
- Riihinen, K., Jaakola, L., Kärenlampi, S., & Hohtola, A. (2008). Organ-specific distribution of phenolic compounds in bilberry (Vacciniummyrtillus) and ‘northblue’ blueberry (Vaccinium corymbosum x V. Angustifolium). Food Chemistry, 110(1), 156–160.CrossRefGoogle Scholar
- Rodrigues, S., Gomes, M. C. F., Gallão, M. I., & Fernandes, F. A. N. (2009). Effect of ultrasound-assisted osmotic dehydration on cell structure of sapotas. Journal of the Science of Food and Agriculture, 89, 665–670.CrossRefGoogle Scholar
- Różek, A., Garcia-Pérez, J. V., López, F., Güell, C., & Ferrando, M. (2010). Infusion of grape phenolics into fruits and vegetables by osmotic treatment: phenolic stability during air drying. Journal of Food Engineering, 99, 142–150.CrossRefGoogle Scholar
- Saurel, R., Raoult-Wack, A.-L., Rios, G., & Guilbert, S. (1994a). Mass transfer phenomena during osmotic dehydration of apple I. Fresh plant tissue. International Journal of Food Science and Technology, 29, 531–542.Google Scholar
- Saurel, R., Raoult-Wack, A.-L., Rios, G., & Guilbert, S. (1994b). Mass transfer phenomena during osmotic dehydration of apple II. Frozen plant tissue. International Journal of Food Science and Technology, 29, 543–550.Google Scholar
- Singleton, V. L., & Rossi, J. A. (1965). Colorimetry of total phenolics with phosphomolybolic–phosphotungstic acid reagents. American Journal of Enology and Viticulture, 16, 144–158.Google Scholar
- Skupień, K. (2006). Chemical composition of selected cultivars of highbush blueberry fruit (Vacciniumcorymbosum L.). Folia Horticulturae, 18(2), 47–56.Google Scholar
- Skurtys, O., Velásquez, P., Henriquez, O., Matiacevich, S., Enrione, J., & Osorio, F. (2011). Wetting behavior of chitosan solutions on blueberry epicarp with or without epicuticular waxes. Food Science and Technology, 44(6), 1449–1457.Google Scholar
- Taruscio, T. G., Barney, D. L., & Exon, J. (2004). Content and profile of flavanoid and phenolic acid compounds in conjunction with the antioxidant capacity for a variety of northwest Vacciniumberries. Journal of Agricultural and Food Chemistry, 52, 3169–3176.CrossRefGoogle Scholar
- Torreggiani, D., & Bertolo, G. (2001). Osmotic pre-treatments in fruit processing: chemical, physical, and structural effects. Journal of Food Engineering, 49, 247–253.CrossRefGoogle Scholar
- Wang, H., Cao, G., & Prior, R. L. (1996). Total antioxidant capacity of fruits. Journal of Agricultural and Food Chemistry, 44, 701–705.CrossRefGoogle Scholar
- Wang, S. Y., Chen, C. T., Sciarappa, W., Wang, C. Y., & Camp, M. J. (2008). Fruit quality, antioxidant capacity, and flavonoid content of organically and conventionally grownblueberries. Journal of Agricultural and Food Chemistry, 56, 5788–5794.CrossRefGoogle Scholar
- Wu, X., & Prior, R. L. (2005). Systematic identification and characterization of anthocyanins by HPLC-ESI-MS/MS in common foods in the United States: fruits and berries. Journal of Agricultural and Food Chemistry, 53, 2589–2599.CrossRefGoogle Scholar
- Yi, W., Akoh, C. C., Fischer, J., & Krewer, G. (2006). Effects of phenolic compounds in blueberries and muscadine grapes on HepG2 cell viability and apoptosis. Food Research International, 39, 628–638.CrossRefGoogle Scholar
- You, Q., Wang, B., Chen, F., Huang, Z., Wang, X., & Luo, P. G. (2011). Comparison of anthocyanins and phenolics in organically and conventionally grown blueberries in selected cultivars. Food Chemistry, 125, 201–208.CrossRefGoogle Scholar
- Zadernowski, R., Naczk, M., & Nesterowicz, J. (2005). Phenolic acid profiles in some small berries. Journal of Agricultural and Food Chemistry, 53, 2118–2124.CrossRefGoogle Scholar
- Zafra-Stone, S., Yasmin, T., Bagchi, M., Chatterjee, A., Vinson, J. A., & Debasis, B. (2007). Berry anthocyanins as novel antioxidants in human health and disease prevention. Molecular Nutrition & Food Research, 51, 675–683.CrossRefGoogle Scholar
- Zheng, W., & Wang, S. Y. (2003). Oxygen radical absorbing capacity of phenolics in blueberries, cranberries, chokeberries, and lingonberries. Journal of Agricultural and Food Chemistry, 51, 502–509.CrossRefGoogle Scholar







