Convergent and divergent thinking in task modification: a case of Korean prospective mathematics teachers’ exploration
Abstract
This study investigated how 38 secondary mathematics prospective teachers modified textbook tasks for convergent and divergent thinking while learning to teach mathematics during university coursework. The coursework focused prospective teachers’ attention on their analyses of textbook tasks in terms of potential affordances and constraints for creativity education and implementation of textbook task modification and micro-teaching. Prospective teachers were asked to consider studies from general perspectives on creativity education, studies on enhancing creativity by increasing or maintaining levels of cognitive demands in tasks, and studies about encouraging creativity thinking by facing and dealing with ambiguity or pathologies and misconceptions when modifying textbook tasks and micro-teaching. Findings indicated that prospective teachers had different types of textbook task modification for creativity education that fell into four categories: no meaningful change, blind variability, orthodoxy, and creativity. In addition, prospective teachers actively linked theory and practice centered on textbook tasks and textbook task modification for creativity education and the citations to which they referred varied according to the task quadrant into which their textbook task modification was categorized.
Keywords
Task modification Convergent thinking Divergent thinking Creativity Secondary prospective teachers Four-quadrant model1 Introduction
Creativity is listed as one of the essential twenty-first century skills (Coil 2013, 2014; Piirto 2011) and acknowledged as vital to individual and social success (Kaufman 2006; Beghetto and Kaufman 2013; Beghetto et al. 2014; Beghetto and Sriraman 2017). Although creativity is appreciated in education, how creativity is addressed in mathematics curricula varies from country to country. In some countries, such as Korea, Singapore, and the UK, creativity is explicitly addressed in the mathematics curricula (Lee 2015; Tan and Gopinathan 2000; Shaheen 2010). In other countries, such as United States and Australia, creativity is not explicitly highlighted in the mathematics curricula but elements related to creativity, such as fluency, flexibility, and novelty in problem solving or conceptual understanding, are pursued (Coil 2013). Researchers in different parts of the world have indicated that due to an examination-driven environment, teachers feel burdened when asked to apply creativity education to their own classes or apply it only superficially even though they sympathize with the idea (Craft 2005; Hayes 2004; Maisuria 2005; Zawojewski and McCarthy 2007).
In addition to the examination-centric education issue, mathematics teachers’ reluctance or superficial implementation of creative teaching has been identified as being related to a lack of profound understanding of mathematics (Leikin et al. 2013; Lev-Zamir and Leikin 2011), teachers’ insufficient knowledge and experience in task design or task modification for teaching creativity (Breen and O’Shea 2010; Perkins 1985; Leung and Silver 1997; Haylock 1997; Hershkowitz et al. 2017), and a lack of awareness and negative disposition towards creativity (Beghetto and Sriraman 2017; Craft 2005). In addition, avoidance of teaching creativity has been shown to be related to conflict between teaching creativity and teaching skills (Torrance 1987; Coil 2014) and paradoxes that manifest in teacher’s goals versus their actions in the classroom (Beghetto and Sriraman 2017). Therefore, it is important to promote teachers’ profound knowledge in mathematics, competence in task design or task modification for nurturing creativity, awareness and positive disposition towards creativity education, and capability of combining teaching creativity and teaching skills. The purpose of the study reported herein was to describe how secondary prospective mathematics teachers were able to deepen their understanding of mathematical creativity and pedagogy in order to teach creativity through task modification experiences while participating in a mathematics teaching methods course. The research questions in this study are the following:
- 1.
How do secondary mathematics prospective teachers modify textbook tasks for convergent and divergent thinking during university coursework and micro-teaching?
- 2.
How do secondary mathematics prospective teachers use relevant research studies to justify their TTMs and to implement the tasks produced from the TTM for micro-teaching?
2 Theoretical background
2.1 Creativity as a combination of divergent thinking and convergent thinking
Even though there is debate about definitions of creativity in mathematics (Mann 2006; Liljedahl and Sriraman 2006; Sriraman et al. 2011), in general, creativity can be viewed as the confluence of divergent thinking (DT; Guilford 1950), and convergent thinking (CT) (Csikszentmihalyi 1999; Cropley 2006; Tan and Sriraman 2017). Sternberg and Lubart (1999) presented CT as “task constraints” that make an idea or product creative. Without task constraints, an idea or product cannot be acknowledged and appreciated using existing knowledge. In general, DT is related to creating variability, and CT is associated with exploring variability. Cropley (2006) argued that there are risks we need to think about when DT and CT are implemented. Without DT, we cannot produce changes, and as a result we have the risk of stagnation. With DT, there are three possibilities: no CT, CT with rejection, and CT and acceptance (see Fig. 1). DT without CT is related to the risk of “recklessness,” which can result in disastrous change. It is rare, but when DT without CT turns out to be effective, we can call it luck. With this useful categorization, Cropley (2006) put emphasis on the role of CT as follows.
Results of differing combinations of DT and CT (Cropley 2006, p. 400)
Therefore, not only does lack of knowledge reduce the possibility of generation of variability in the first place, but even where variability is generated, lack of exploration (convergent thinking) raises the possibility of reckless variability and exposes the system in question to the risk of disastrous change or overconfidence (p. 399).
In case of DT accompanied by CT, results can differ. As depicted in Fig. 1, if a correct decision is made, then effective novelty occurs, which is ideal. If a correct decision is rejected, then it can be regarded as the risk of resignation (see Fig. 1). These possibilities can apply towards mathematics learning very well. First, no DT, i.e., no variability in mathematics learning, is associated with learning using memorization tasks that involve producing previously learned facts, rules, formulae, or definitions (Stein et al. 1996). When learning using memorization tasks, learners are not engaged in exploration of mathematics but are under teachers’ orthodoxy. As a result, learners are at risk of being placed in learning stagnation, as shown in the first case in Fig. 1. Second, when learners are open to DT but are not well guided in exploration of the products of their DT, they produce new but meaningless ideas (i.e., disastrous change). Despite a lack of exploration of the products of DT, a few learners may have effective new mathematical ideas (e.g., finding a solution for a mathematical problem with luck, as described in Verschaffel et al. 1999), but this creativity is the result of luck rather than mathematical understanding. This experience leads learners to over-confidence (see Fig. 1). Third, there are occasions in which learners’ creative mathematical ideas resulting from DT are rejected by teachers for some reason (e.g., time limits or teachers’ lack of relevant knowledge or sensitivity). Teachers’ rejection of mathematically creative learners’ ideas as instructional tools may lead to losing the chance for learners to get insights into mathematical concepts and procedures. Shriki (2010) argues that this loss is due to teachers’ insufficient knowledge about creativity. Fourth, there are possibilities where variability is accompanied by exploration that yield only ineffective novelty (e.g., Cankoy 2014; Kirschner et al. 2006). All these possibilities need to be considered by mathematics teachers when planning and implementing task modification for nurturing creativity.
2.2 Task analysis guide for teaching creativity
To prepare creative education in mathematics classrooms, teachers have to modify textbook tasks. However, a number of studies have shown that teachers tend to depend largely on the curricular materials or textbooks in their classrooms (Baker et al. 2010; Hughes et al. 2009; Doyle 1983; Remillard 1999; Grouws et al. 2013; Choe and Hwang 2004, 2005; Palsdottir and Sriraman 2017) rather than conducting textbook task modification (TTM). This tendency is related to the fact that teachers select instructional tasks based on lists of skills and concepts they have to cover (Hiebert et al. 1997). Few mathematics teachers design new tasks or adapt the tasks from textbooks to be appropriate for a high-level cognitive approach (Stein et al. 1996; Smith 2000; Stigler and Hiebert 2004; Remillard 1999). Tasks with low-level cognitive demands do not give learners opportunities for creative learning. Instead, they involve producing learned facts, rules, formulae, or definitions by asking for exact reproduction of what has already been learned. Also, they are focused on producing correct answers rather than developing novel concepts or representations (Stein et al. 1996). These tasks need to be modified if teachers want them to be used to foster creativity.
Textbook tasks that have not been designed specifically to teach creativity can be transformed to do so. Zaslavsky (1995), for example, showed how to modify standard tasks that have only one correct answer into open-ended tasks with desirable learning opportunities. The standard task asking the number of intersection points of the parabola \(y={x^2}+4x+5\) and the straight line \(y=2x+5\) involves little opportunity for creative thinking. As Zaslavsky (1995) analyzed, even though learners can obtain the answer to the problem by observing the graphs of the two given functions using graphical technologies, they are requested to solve the problem by solving a system of two equations to get one correct solution. In contrast, a slightly altered version of the problem gives learners the opportunity to create variability and explore what they created (see Table 1). The modified task invites learners to find not only one specific answer but more solutions, to pose more questions, and to try various strategies. It engages learners in creative learning that leads to new questions, investigations, and generalizations. These are facets of mathematical thinking that are directly related to creativity (Sriraman 2005).
A standard task and a modified task (Zaslavsky 1995, p. 15)
| A standard task | A modified task |
|---|---|
| How many intersection points does the parabola \(y={x^2}+4x+5\) have with the straight line \(y=2x+5\)? | Find an equation of a straight line that has two intersection points with the parabola \(y={x^2}+4x+5\) |
We can compare the two tasks in Zaslavsky (1995) in terms of their potential for creativity education. The standard task involves CT in that learners are requested to explore its meaning and determine how to find the intersection points of the parabola and the straight line. However, the standard task does not have enough opportunities for DT since not enough variability can be created. In contrast, the modified task has the potential to encourage learners think about diverse relationships between a parabola and a straight line. Different types of straight lines can be explored as learners look for lines satisfying the given condition. For example, lines parallel to the \(x\)-axis can be considered that result in a general family of lines: \(y=c,c>1.\) Another set of lines passing though the vertex of the parabola can be found: \(y=m(x+2)+1\,{\text{where}}\,m \ne 0.\) We get a third group of lines that are obtained by translating the second group of lines upward by t: \(y=[m(x+2)+1]+t\,{\text{where}}\,m \ne 0,\quad t \geqslant 0.\) In this way the modified task has a much greater potential for DT and CT and, therefore, for creativity education. With DT and CT being the main components of creativity, we can think of a quadrant model to evaluate TTM, in which four types of TTM can be positioned (see Fig. 2). As analyzed above, the modified task in Zaslavsky (1995) is an example of the creativity quadrant, since it integrated DT and CT in the modified prompt.
The four-quadrant model for evaluating TTM
The blind variability quadrant is high in elements of DT but low in elements of CT. The task in this quadrant may request learners to produce multiple answers, to shift perspective, to be unconventional, and to see new possibilities but does not pay much attention to the possible underlying mathematical logic and possible connections to previous learned knowledge or relevant information through the exploration of these. This kind of novelty pursued in a task is called pseudocreativity (Cattell and Butcher 1968) or effortless creativity if it is still effective (Cropley 2006). In contrast, the orthodoxy quadrant is low in elements of DT but high in elements of CT. A task with high CT and low DT usually generates orthodoxy since it often sticks to being exact and correct based on a narrow range of pre-existing knowledge. The ideal task in the creativity quadrant is high in elements of both DT and CT. This is called effortful creativity in the sense that pre-existing knowledge plays principal roles in successful generation of variability (Cropley 2006).
3 Methodology
In order to examine how prospective teachers (PTs) analyze and modify textbook tasks, worksheets and self-reports from, interviews with, and discussions among 38 secondary PTs who were enrolled in a mathematics teaching methods course were analyzed. The intent was to describe how the PTs interpreted and modified textbook tasks as they were learning to educate creativity in mathematics.
3.1 Participants and settings
Thirty-eight secondary PTs enrolled in a 3-month secondary teacher education program taught by the researcher at a university volunteered to participate in this study. Thirty-two were majoring in mathematics education and six were minoring in mathematics while majoring science education. All took more than three university mathematics courses in calculus, modern algebra, linear algebra, real analysis, or geometry and 35 took a course in theories in mathematics education before taking the teaching method course. Participants were required to take a 15-week session whose key activities were: (1) reflecting on their learning with textbook tasks, (2) analyzing textbook tasks from a creativity education perspective, (3) comparing textbook tasks with sample modified tasks that have more potential for creativity education, (4) trying and sharing TTMs within groups (six groups) and with the whole class, and (5) micro-teaching and self-reporting about their reflections.
As a part of the course, learners were required to complete two assignments related to TTM. One assignment asked PTs to choose a task system, meaning a task set with a common topic related in the form of analogies (Harten and Steinbring 1985; cited in Krainer 1993), from textbooks and attempt a TTM (see “Appendix” for example). The reason for choosing a task system rather than an isolated task is to avoid teachers possibly misunderstanding that creative education is a kind of extra job that needs to be done after teaching some learning content. This study argues that mathematical creativity can and should be taught in daily practice using minor or major modification of textbook task systems. A typical task system in Korean mathematics textbooks has the following components and sequence (see Fig. 3): A warm-up task usually engages learners in thinking of a mathematical concept or procedure in an everyday context in everyday language followed by explanation of the concept or the procedure in mathematical language. A worked-out example encourages learners to understand and practice mathematical concepts or procedures in a representative situation followed by exercise(s) similar to the worked-out example. A problem-solving task usually requests higher-order thinking such as mathematical reasoning and mathematical modelling. A review is intended to give learners the chance to summarize what they previously learned (see “Appendix” for a sample task system selected by one PT).
Components and a sequence of a typical task system
PTs were asked to choose a task system that they wish to investigate and modify. They were then asked to understand the general context of the tasks (Stage 1) and to investigate their mathematical and pedagogical aspects for creative education in relation to potentials and constraints for DT and CT (Stage 2). In Stage 3, PTs tried to enact TTMs in micro-teaching settings. The last stage was for reflecting on TTM and micro-teaching with the tasks that resulted from the TTMs (Stage 4). At all stages, PTs were asked to relate DT and CT with main activities such as analyzing mathematical and pedagogical aspects of either the textbook tasks or the modified tasks (see Table 2).
Main activities and relations with DT and CT at each stage
| Stage | Main activity | Relation with DT | Relation with CT |
|---|---|---|---|
| Stage 1 | Understand general context of tasks | To seek novelty? To see the known in a new light? To shift perspective? To take risks? To extend existing knowledge? To see new possibilities? Open-ended? Ill-structured? To produce multiple solutions? To use mathematical ideas and representations unconventionally? | To recall facts? To apply existing knowledge? To be logical and accurate? To produce a correct answer? To be sophisticated? Structured? To recognize familiar mathematical facts and representations? To follow algorithms and principles? |
| Stage 2 | Analyze mathematical and pedagogical aspects | ||
| Stage 3 | Try to enact TTM | ||
| Stage 4 | Reflect |
3.2 Data collection and analysis
Copies of the participant’s coursework, audio-taped discussions, and two self-reports to gather information related to PTs’ understanding of and experiences with using TTM for creativity education. Coursework materials and self-reports included: (1) a written comparative analysis of the sample textbook tasks and the modified tasks, (2) an analysis and modification of a task system, and (3) an analysis of a micro-teaching example with the task system as the product of the individual teacher’s TTM. Participants had discussions during their coursework in which they were asked questions that elicited their views and experiences about mathematics and the teaching and learning of it. Participants were also asked which ideas of the TTMs shared by other groups they planned to use and the roles they expected these modified tasks might play in their own TTM. Micro-teaching was planned and enacted with small groups of learners (one to four). Some of participants administered discussion-based interviews with the learners to understand their involvement in the modified tasks. Descriptive data to characterize the PTs’ thoughts about textbook tasks and TTM for creativity education experiences were collected and then these data were used to understand more about why they enacted TTM in the ways they did.
4 The results of PTs’ TTM
The creativity reflected in the revised tasks in the PTs’ first report based on the TTM results is shown in Table 3. In addition, the creativity reflected in the tasks used in micro-teaching is classified according to the same criteria as shown in Table 3.
Number of tasks at each quadrant in TTMs and in micro-teaching
| Task potential of each quadrant | Number of tasks in TTMs | Number of tasks in micro-teaching |
|---|---|---|
| No meaningful change | 88 (37.6%) | 32 (26.4%) |
| Blind variability | 36 (15.4%) | 21 (17.4%) |
| Orthodoxy | 54 (23.1%) | 45 (37.2%) |
| Creativity | 56 (23.9%) | 23 (19.0%) |
| Total | 234 (100%) | 121 (100%) |
A total of 234 tasks were included in the first report, of which 37.6% did not make significant changes. Blind variability, that is, a DT perspective that did not include enough CT chances, was revealed in 15.4%. Twenty-three point 1% of the tasks provided CT opportunities but not enough DT. When classifying the tasks included in the second report, which was a micro-teaching result report, by the same criteria, the number of tasks with high CT but not enough DT, which are dependent on teacher-led tasks, increased significantly from 23.1 to 37.2%. In contrast, the number of tasks with high DT potential only increased slightly from 15.4 to 17.4%. The number of tasks for micro-teaching that did not make a meaningful change decreased to 26.4% and the number of tasks with creativity potential was 19.0%, which was lower than that of the first report. In the following, we examine the detailed characteristics by the four types of tasks as products of TTMs. Each of these categories are further discussed.
4.1 No meaningful change
Tasks without meaningful modifications were identified in 37.6% in the first reports and 26.4% in the micro-teaching reports. The tasks in this category were exercises, problem-solving tasks, and worked-out examples. PTs felt that exercises should be presented in their textbook form because learners need to practice what they have learned through exercises to be well-prepared for taking exams. This interpretation also applies to worked-out examples, except a few PTs explored TTM for worked-out examples to increase creative education chances. In contrast, PTs did not generally modify problem-solving tasks since they felt that the tasks already had potential opportunity for DT and CT as well as conjecturing, thinking, and communication. No meaningful change therefore does not necessarily mean there are no chances for creativity education, even though there were possibilities to present a problem-solving context to enhance creativity education.
Until now, I have analyzed the function unit of the Mathematics II textbook in terms of the suitability for creativity education. As a result, I saw that there was a shortage of explanation, in particular in the explicit definition of a newly introduced concept, and I have suggested alternative ways of supplementing the contents and changing the order of introduction. The textbook does not give enough challenge to high-achieving learners, so I have presented additional challenging tasks for them. I tried TTM by introducing concepts linking them with the real world, making tasks easier for learners using visual representations, and modifying tasks to have better chances for creativity education. My analysis of textbook tasks shows that textbook tasks are not completely satisfying but overall seems to be of value in creating tasks for mathematical creativity education.
Despite fully discussing the role and necessity of DT and CT, a number of the PTs still felt that textbooks have the potential for creativity education in their current forms. They were concerned with bridging the gap between concepts and concept descriptions, showing their interest in enhancing CT rather than or without DT. PTs often did TTMs to add some information or opportunities to help higher-level learners to extend their learning. This tendency to fully respect or stick closely to textbooks may be a predictor that in their future practices as in-service teachers they will be reluctant to implement TTM for creativity education.
4.2 Blind variability
Choose pictures (for example, flower, heart, cat, or hourglass) and draw them on the grid using inequalities regions. Show your peers what you drew and explain how you drew them.
The task encourages learners to choose and draw a variety of pictures that engage DT. However, learners in Grade 10 do not have a great enough degree of freedom in choosing and drawing pictures on the grid since their previous learning only covered linear and quadratic equations. Even though learners could draw a picture such as flower using linear and quadratic equations there is a risk that learners may not explore inequalities or inequalities regions. Learners may enjoy drawing pictures using visual-representation tools provided by a graphing calculator or graphing software without any understanding or explorations of equations, inequalities, and inequalities regions. Indeed, the variability that was created by learners was not related to meaningful creation of mathematics in the micro-teaching due to lack of necessary knowledge for connecting pictures, equations, and inequalities regions. Opposite to the expectations, the learners spent most time mainly on selecting and drawing pictures in the micro-teaching.
As with this task, there were tasks modified by PTs with DT but not enough CT. This was mainly caused by misunderstanding that creativity is only about producing changes or by difficulties that PTs had in integrating DT and CT into a task. Blind variability was observed in cases where tasks requested learners (1) to explain or describe mathematical ideas, terms, representations, and solution methods in everyday language without linking them with relevant mathematics and (2) to explore mathematical objects without proper exploration of them, as seen in the case mentioned above.
4.3 Orthodoxy
PT1: What I learned at school was skills to solve problem sets. What I was interested in was how to get answers to known problems. I did not learn and did not need to learn why and how to be creative with my own thoughts. So I feel that reflecting creativity in tasks is a very vague and difficult job to do when modifying textbook tasks.
PT2: so do I. A certain amount needs to be taught within limited time, and many learners lack fundamentals so they need my help. From this point of view, the most important to considerations in TTM are the issues of insufficient explanations, lack of proper links with pre-existing knowledge, and lack of generalization. I think we need to aware that there are a considerable number of gaps to be filled out in the textbook tasks.
As mentioned above, lack of learning experience in creativity education hinders PTs’ engagement of learners in creating variability. Multiple aspects of CT such as intimate linking with previous concepts, applying efficient strategies, and accumulating information were considered when PTs conducted TTM. These aspects of CT necessarily depend on authority, such as a teacher’s perspective or the correct answers. Learners have little freedom to choose the representation systems, mathematical ideas, and mathematical procedures they employ in these cases. CT without DT is often similar to tasks for mastery learning (Zimmerman and Dibenedetto 2008) or tasks developed under the theory of variation (Runesson 2005). Figure 4 shows an example taken from the tasks in the first self-reports by the participants.
An example task categorized as orthodoxy
We can see useful strategies for solving the task such as tree diagrams, addition principle or multiplication principle, and one-to-one correspondences are explicitly introduced in the task so that learners can recognize effective paths to the solutions by achieving accuracy and correctness. Sticking to a narrow range of obviously relevant information on combinatorial problems (Cropley 2006, p. 392), learners may easily grasp the mathematical idea behind the problem context. Opportunities these kinds of tasks provide learners are related to CT rather than DT. Indeed, the majority of PTs said giving learners clues is necessary because the content they are working on is new and unfamiliar to them. Participants in the study considered orthodoxy indispensable and even essential in order to help learners grasp the material.
4.4 Creativity
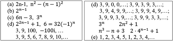
Twenty-three point nine percent of the modified tasks were classified as suitable for creativity education, while tasks for micro-teaching falling into the same category were slightly less at 19%. There were two types of tasks in this quadrant: those beginning with CT followed by DT (convergent-divergent model [CDM]; Foster 2015) and those with DT first followed by CT [divergent-convergent model (DCM)]. In the CDM, the starting question is often a rather focused one that scaffolds learners to recall what they had previously learned. Subsequent tasks then seek to open the possibilities by removal or addition of conditions. The initial convergent phase is intended to be accessible by relating to learners’ previous knowledge and interests to the context. The later divergent phase asks learners to extend the idea, concept, representation, and algorithm that were investigated by CT by giving open-ended and challenging prompts. In contrast, in the DCM, the starting question asks learners to create various ideas, concepts, representations, and algorithms. The later phase requests learners to explore what they have produced. The intention of having the convergent phase after the divergent phase is to be more accurate, logical, and conventional. Some PTs developed the ability to do TTM using these two models. For example, the following task modified by a PT is about a sequence of natural numbers begins with CT and moves to DT. The starting questions (a) and (b) are convergent in that they help learners to recall how to find the nth term of an arithmetic sequence and a geometric sequence, respectively. The purpose of the questions below is to review the formulae for the nth terms of these two kinds of sequences.
- a.
What is the nth term of the sequence 1, 3, 5, 7, 9, …? Explain why.
- b.
What is the nth term of the sequence 1, 2, 4, 8, 16, …? Explain why. Then divergent prompts are introduced as follows:
- c.
What is the nth term of the sequence in which the first two terms are 3 and 9? Explain why.
- d.
Find as many as possible sequences that have 3 and 9 as their first two terms.
- e.
Is there a sequence that has 1, 2, 3, 4, 5 as its first five terms that is not an arithmetic sequence?
- f.
Is there a sequence that has 1 and 2 as its first two terms that is neither a geometric sequence nor an arithmetic sequence?
Prompt (c) is intended to be more open so that learners can create variability as they wish. Some may create an arithmetic sequence and some may produce a geometric sequence. In (d), learners have chances to think about other kinds of sequences that have 3 and 9 as their first two terms instead of arithmetic and geometric sequences. Prompts (e) and (f) have additional constraints, but these constraints can help learners go deeper into sequences by becoming aware of the underlying structures of sequences by considering all possibilities.
The task provides opportunities for inquiry into sequences and nth terms of sequences by opening up variability and inviting exploration of that variability. It is noteworthy that there are potential learning chances in making conjectures and looking for justifications for the conjectures, as shown in the following responses in Fig. 5, as well as for higher order mathematical thinking by relaxing conditions on the sequences.
Students’ responses in the micro-teaching
5 PTs’ justification of their own TTMs for creativity education
In line with researchers’ suggestions of using theory in teacher education (for example, Beghetto and Sriraman 2017; Schoenfeld and Kilpatrick 2008; Tsamir 2008), research studies in three categories were given to PTs: (1) general perspectives on creativity education focusing on studies about creative people, creative processes, creative products, and confluence perspectives (e.g., Csikszentmihalyi 1999, 2014; Kaufman and Sternberg 2006; Sternberg 2003); (2) studies on enhancing creativity by increasing or maintaining levels of cognitive demands in tasks (e.g., Stein et al. 1996; Hughes et al. 2009); and (3) studies about encouraging creative thinking by facing and dealing with ambiguity or pathologies and misconceptions (e.g., Amit and Gilat 2012; Sriraman 2005, 2006, 2009; Sriraman and Dickman 2017). All the literature reviewed was actively quoted by PTs when justifying their TTM and micro-teaching in the two reports. In their reports, the PTs who cited literature in two or three categories tended to incorporate DT and CT more appropriately than those who cited research studies in only one of the three categories when justifying their TTM or micro-teaching. Interestingly, each category of literature seemed to have different influences on PTs’ TTM and micro-teaching. For example, all but one of the PTs whose TTM or micro-teaching resulted in tasks that were classified as blind variability cited mainly previous studies of the first category. The one exception cited mainly literature in the first and the second categories, but the resulting tasks were still categorized as blind variability. While PTs reviewed literature on general perspectives on creativity, they began to attend to creative personality, creative process, creative product, and confluence theories. They focused on how to build an environment in which learners are actively engaged in raising questions, ideas, and ways of inquiry. Therefore, the modified tasks tended to include opportunities for brain-storming.
All but two of the PTs who completed TTM that resulted in tasks that were classified as orthodoxy considered mainly studies of the third category. The introductory parts of their tasks appealed to learners by posing something vague or counterintuitive. The PTs who implemented TTM in this way expected learners to seek a solution actively but seemed worried that learners may have needed a detailed guide to put them on the right track within the limited time. Most of the PTs who developed the tasks in this category referred to the term guided re-invention (Freudenthal 1991) either in discussions or in self-reports and included prompts with some clues to solutions. However, the PTs interpreted “guided” rather narrowly in that instead of giving learners active investigation opportunities, the PTs tended to give easy-to-understand questions so that learners could follow easily. For tasks that fell into the creativity quadrant, studies of at least two categories were cited. This is an important distinction, because the combined use of several research constructs that were relevant to more than one category led PTs to implement TTM in a way that better balanced the integration of CT and DT.
Although a correlation between the tendency to use research studies to justify TTMs and the categories of the tasks that were modified was not drawn from the quantitative data, the explicit tendencies mentioned above provide evidence that relevant previous studies can play a role in teacher development for creativity education. In particular, it is noteworthy that PTs used previous studies when making decisions about whether to modify textbook tasks or not as well as when designing new prompts for considering DT and CT in a balanced way. This connection with theoretical perspectives can help PTs consolidate their transformative abilities for creativity education instead of practicing just a few task examples that might not be able to be transferred to other situations.
6 Discussion and conclusion
This study investigated how 38 secondary mathematics PTs modified textbook tasks for creativity education while learning to teach mathematics during university coursework. The coursework focused PTs’ attention on their analyses of textbook tasks in terms of potential affordances and constraints for creativity education and implementation of TTM and micro-teaching. PTs were asked to consider studies from general perspectives on creativity education, studies on enhancing creativity by increasing or maintaining levels of cognitive demands in tasks, and studies about encouraging creativity thinking by facing and dealing with ambiguity or pathologies and misconceptions when implementing TTM and micro-teaching. Findings indicated that PTs had various types of TTM for creativity education that fell into a range of four categories: no meaningful change, blind variability, orthodoxy, and creativity. In addition, PTs actively linked theory and practice centered on textbook tasks and TTM for creativity education and the citations to which they referred varied according to the task quadrant into which their TTM was categorized.
The PTs whose TTMs resulted mainly in tasks in the no meaningful change category interpreted textbook tasks as having potential opportunities for creativity education. In particular, the PTs regarded problem-solving tasks from textbooks as being appropriate for creativity education and other tasks as being necessary for teaching basic concepts and skills. Although the PTs were exposed to cognitively challenging tasks that integrated DT and CT as other studies suggested (e.g., Hiebert and Wearne 1993; Stein and Lane 1996), during the coursework they tended to regard problem-solving tasks as being enough for creativity education because these tasks are cognitively challenging. This attitude stems from the task systems in the Korean textbooks being rather fixed in components and sequence (see Fig. 3), with creativity education being separately pursued in one or two tasks, such as problem-solving tasks. This indicates that Korean mathematics textbook should be diversified in the direction of giving more varied types of task systems. Moreover, the results indicate that exposure to cognitively challenging tasks that integrate DT and CT is not enough to prepare PTs to adapt textbooks for and implement creativity education. One interesting result was that that the percentage of tasks in the no meaningful change category for micro-teaching (26.4%) was lower than in the first TTM (37.6%). This indicates that micro-teaching was helped PTs to be aware of the necessity of changing textbook tasks to integrate DT and CT. Teaching methods coursework for PTs often does not include opportunities to understand students’ reactions and apply the traditional “application-of-theory” approach (Korthagen and Kessels 1999; van; Akker and Nieveen 2017), meaning that PTs are involved mainly in learning methods of designing tasks and lessons without implementation of those tasks. This study explored an alternative approach to a teaching methods course that was effective in changing PTs’ disposition to creativity education. This shows, therefore, that PTs’ TTM should be reflected on and improved based on students’ reactions as has been done in other practices in teaching, which a conclusion that has been widely acknowledged in task-design studies (Watson and Ohtani 2015).
The PTs who performed TTM that resulted in task categorized as blind variability tended to be concerned with students’ low motivation in mathematics learning. As a result, they came up with tasks in student-friendly contexts that are rather open in terms, representations, strategies, and solutions so that learners can easily be involved in DT. Because the contexts are very open, variability is naturally created, but there is not a sophisticated enough plan to invite students to explore them (see the example in Sect. 4.2). Meta-cognitive shift (Brousseau 2006) is to be expected and should be handled when using the tasks in the blind variability category due to the nature of openness of the tasks. In other words, what learners are doing might not be related to the main activities but rather may be something that is inappropriate to the task. The example discussed in Sect. 4.2 showed this phenomenon: The learners may remain at the stage of selecting and drawing pictures without moving to inquiry into inequalities regions. The PTs who modified textbook tasks that were categorized as blind variability cited studies in the general perspectives on creativity education category when justifying their TTMs in the reports. Therefore, encouraging the PTs to consider research studies in the second or third categories as well as involving reflections on how the learners moved their attention to selecting and drawing pictures instead of inquiry into inequalities regions might be helpful in improvement of their TTMs. It seems.
The third group of PTs was those whose TTM resulted in tasks categorized as orthodoxy. These PTs were concerned about slow learners, possible misconceptions, lack of explanations in the textbooks, and vague meanings of mathematical terms and procedures. These PTs’ citations were mainly studies in the third category as discussed in the findings, and they valued easy-to-understand types of tasks so that learners could maintain their learning. These PTs need to learn or experience how learners can create their own ideas, representations, and procedures when appropriately designed opportunities are given. Studies in the first and the second categories where varieties of creativity such as mini-c, little-c, and relative creativity are considered (Beghetto et al. 2014; Leikin 2009; Sriraman et al. 2011) could be helpful to these PTs. Tasks in the orthodoxy category comprised 23.1% of the tasks in the first TTMs and 37.2% in the micro-teaching. The percentage of tasks in this category was already high in the TTMs, but it increased in micro-teaching. A possible explanation may be that because the PTs were concerned about learning difficulties more when designing the lesson than when they were designing the task, they created tasks related to CT more for micro-teaching. If this is the case, then we can understand why teachers feel burdened by implementing creativity education in their own classrooms and how to encourage them to change their negative attitudes and their approaches to creativity education in their own classrooms.
The PTs who modified textbook tasks that were categorized as creativity used two models: CDM and DCM. They succeeded in integrating DT and CT in the tasks so that learners could have opportunities for both creating variability and exploring variability. TTM by CDM began with easy-to-understand questions that are enticing, as Foster (2015) has suggested, and moved to extended investigation with more open-ended prompts as discussed in the findings. In contrast, TTM using DCM started with open questions inviting learners to brainstorm how they could paraphrase or represent what was given, used metaphor and imagination, and moved to the convergent phase by linking mathematical concepts or logic, conventional representations, and algorithms. The PTs moved past blind variability or orthodoxy by utilizing either CDM or DCM while paying attention to and evaluating task affordances and constraints based on the literature in at least two of the categories. It is important to note that the PTs did not add any pre-designed tasks for creativity education to their repertoire but developed their own sense and capacity for creativity education in mathematics. Because the PTs acknowledged and justified why and how they made changes to any particular textbook tasks using relevant evidence or studies, they were also able to improvise with the tasks when necessary.
This study contributes to a body of professional development research that has utilized TTM and micro-teaching to provide evidence of enhancements in PTs’ awareness and capacity for creativity education in mathematics during university coursework. The current investigation utilized a tool for analyzing the tasks PTs designed using TTM (i.e., the four-quadrant model) that provided categorized data as an indicator of creativity education potential and served as a meaningful instrument for distinguishing tasks according to the degree to which they reflected DT and CT. In particular, because CT is related to deriving the single correct answer to a question, it seemed to be overlooked when creativity is considered in mathematics education. However, it turned out to be most effective in TTM for creativity education where CT is integrated either in the beginning for enticing (Foster 2015) or in the ending for elaborating as discussed in Sect. 4.4. This study also contributes to research on the use of research studies as a reference for TTM and reflection on it (Tsamir 2008). As pointed by numerous researchers of creativity, there are contradictions within the school system, curriculum and teachers views on how to foster creativity in their classrooms (Beghetto and Sriraman 2017). Future research on the efficacy of the four-quadrant model should include a follow-up assessment of the improvement and maintenance of PTs’ TTM and implementation of creativity tasks, a replication of the results of the study with in-service teachers, and the establishment of the link between teachers’ awareness and capacity and students’ mathematical creativity. Such studies will go a long way towards making creativity a vital ingredient of a teacher’s training with tremendous implications for their own classrooms.
Notes
Acknowledgements
This work was supported by the National Research Foundation of Korea Grant funded by the Korean Government (NRF-2011-812-B00087).
References
- Amit, M., & Gilat, T. (2012). Reflecting upon ambiguous situations as a way of developing students’ mathematical creativity. In 36th Conference of the International Group for the Psychology of Mathematics Education (pp. 19–26).Google Scholar
- Baker, D., Knipe, H., Collins, J., Leon, J., Cummings, E., Blair, C., & Gamson, D. (2010). One hundred years of elementary school mathematics in the United States: A content analysis and cognitive assessment of textbooks from 1900 to 2000. Journal for Research in Mathematics Education, 383–423.Google Scholar
- Beghetto, R.A., & Kaufman, J.C. (2013). Fundamentals of creativity. Educational Leadership, 70(5), 10–15.Google Scholar
- Beghetto, R. A., Kaufman, J. C., & Baer, J. (2014). Teaching for creativity in the common core classroom. Teachers College Press.Google Scholar
- Beghetto, R.A., & Sriraman, B. (2017). Creative contradictions in education: Cross disciplinary paradoxes and perspectives. Switzerland: Springer International Publishing.CrossRefGoogle Scholar
- Breen, S., & O’Shea, A. (2010). Mathematical thinking and task design. Irish Mathematical Society Bulletin, 66, 39–49.Google Scholar
- Brousseau, G. (2006). Theory of didactical situations in mathematics: Didactique des mathématiques, 1970–1990 (Vol. 19). Springer, Berlin.Google Scholar
- Cankoy, O. (2014). Interlocked problem posing and children’s problem posing performance in free structured situations. International Journal of Science & Mathematics Education, 12(1), 219–238.CrossRefGoogle Scholar
- Cattell, R.B., & Butcher, H.J. (1968). The prediction of achievement and creativity. HJ. Oxford: Bobbs-Merrill.Google Scholar
- Choe, S.-H., & Hwang, H.-J. (2004). A study on implementation of the seventh mathematics curriculum at the elementary school level. School Mathematics, 6(2), 213–233. (Korean).Google Scholar
- Choe, S.-H., & Hwang, H.-J. (2005). A study on the seventh national curriculum at the secondary school level. School Mathematics, 7(2), 193–219. (Korean).Google Scholar
- Coil, C. (2013). The application of common core state standards to foster creativity and curiosity. In J. B. Jones & L. J. Flint (Eds.), The creative imperative: School librarians and teachers cultivating curiosity together (pp. 151–164). California: ABC-CLIO.Google Scholar
- Coil, C. (2014). Creativity in an assessment driven environment. Knowledge Quest, 42(5), 48–53.Google Scholar
- Craft, A. (2005). Creativity in schools: Tensions and dilemmas. London: Psychology Press.CrossRefGoogle Scholar
- Cropley, A. (2006). In praise of convergent thinking. Creativity research journal, 18(3), 391–404.CrossRefGoogle Scholar
- Csikszentmihalyi, M. (1999). Implications of a systems perspective for the study of creativity. In R.J. Sternberg (Ed.), Handbook of creativity (pp. 313–335). Cambridge: Cambridge University Press.Google Scholar
- Csikszentmihalyi, M. (2014). Society, culture, and person: A systems view of creativity. The systems model of creativity. (pp. 47–61). Springer Netherlands.Google Scholar
- Doyle, W. (1983). Academic work. Review of Educational Research, 53(2), 159–199.CrossRefGoogle Scholar
- Foster, C. (2015). The Convergent–Divergent model: an opportunity for teacher–learner development through principled task design. Educational Designer, 2(8), 1–25.Google Scholar
- Freudenthal, H. (1991). Revisiting mathematics education. Dordrecht: Kluwer.Google Scholar
- Grouws, D.A., Tarr, J.E., Chávez, Ó., Sears, R., Soria, V.M., & Taylan, R.D. (2013). Curriculum and implementation effects on high school students’ mathematics learning from curricula representing subject-specific and integrated content organizations. Journal for Research in Mathematics Education, 44(2), 416–463.CrossRefGoogle Scholar
- Guilford, J. P. (1950). Creativity. American Psychologist, 5, 444–454.CrossRefGoogle Scholar
- Harten, G., & Steinbring, H. (1985). Aufgabensysteme im Stochastikunterricht, Occasional paper, 71. Germany: IDM Bielefeld.Google Scholar
- Hayes, D. (2004). Understanding creativity and its implications for schools. Improving Schools, 7(3), 279–286.CrossRefGoogle Scholar
- Haylock, D. (1997). Recognizing mathematical creativity in schoolchildren. ZDM—The International Journal on Mathematics Education, 29(3), 68–74.CrossRefGoogle Scholar
- Hershkowitz, R., Tabach, M., & Dreyfus, T. (2017). Creative reasoning and shifts of knowledge in the mathematics classroom. ZDM—The International Journal on Mathematics Education, 49(1), 25–36.CrossRefGoogle Scholar
- Hiebert, J., Carpenter, T. P., Fennema, E., Fuson, K., Human, P., Murray, H., Olivier, A., & Wearne, D. (1997). Making mathematics problematic: A rejoinder to Prawat and Smith. Educational Researcher, 26(2), 24–26.Google Scholar
- Hiebert, J., & Wearne, D. (1993). Instructional tasks, classroom discourse, and students’ learning in second-grade arithmetic. American Educational Research Journal, 30(2), 393–425.CrossRefGoogle Scholar
- Hughes, E.K., Smith, M.S., Hogel, M., & Boston, M.D. (2009). Case stories: Supporting teacher reflection and collaboration on the implementation of cognitively challenging mathematical tasks. Inquiry into Mathematics Teacher Education, 71–84.Google Scholar
- Kaufman, J.C. (2006). Self-reported differences in creativity by ethnicity and gender. Applied Cognitive Psychology, 20(8), 1065–1082.CrossRefGoogle Scholar
- Kaufman, J.C., & Sternberg, R.J. (Eds.), (2006). The international handbook of creativity. Cambridge: Cambridge University Press.Google Scholar
- Kirschner, P.A., Sweller, J., & Clark, R.E. (2006). Why minimal guidance during instruction does not work: An analysis of the failure of constructivist, discovery, problem-based, experiential, and inquiry-based teaching. Educational Psychologist, 41(2), 75–86.CrossRefGoogle Scholar
- Korthagen, F.A., & Kessels, J.P. (1999). Linking theory and practice: Changing the pedagogy of teacher education. Educational Researcher, 28(4), 4–17.CrossRefGoogle Scholar
- Krainer, K. (1993). Powerful tasks: A contribution to a high level of acting and reflecting in mathematics instruction. Educational Studies in Mathematics, 24(1), 65–93.CrossRefGoogle Scholar
- Lee, K.H. (2015). Mathematical creativity. Seoul: Kyungmoonsa. (Korean).Google Scholar
- Leikin, R. (2009). Exploring mathematical creativity using multiple solution tasks. Creativity in Mathematics and the Education of Gifted Students, 9, 129–145.Google Scholar
- Leikin, R., Subotnik, R., Pitta-Pantazi, D., Singer, F.M., & Pelczer, I. (2013). Teachers’ views on creativity in mathematics education: an international survey. ZDM—The International Journal on Mathematics Education, 45(2), 309–324.CrossRefGoogle Scholar
- Leung, S. S., & Silver, E. A. (1997). The role of task format, mathematics knowledge, and creative thinking on the arithmetic problem posing of prospective elementary school teachers. Mathematics Education Research Journal, 9(1), 5–24.CrossRefGoogle Scholar
- Lev-Zamir, H., & Leikin, R. (2011). Creative mathematics teaching in the eye of the beholder: focusing on teachers’ conceptions. Research in Mathematics Education, 13(1), 17–32.CrossRefGoogle Scholar
- Liljedahl, P., & Sriraman, B. (2006). Musings on mathematical creativity. For the Learning of Mathematics, 26(1), 17–19.Google Scholar
- Maisuria, A. (2005). The turbulent times of creativity in the national curriculum. Policy Futures in Education, 3(2), 141–152.CrossRefGoogle Scholar
- Mann, E.L. (2006). Creativity: The essence of mathematics. Journal for the Education of the Gifted, 30(2), 236–260.CrossRefGoogle Scholar
- Palsdottir, G., & Sriraman, B. (2017). Teachers views on modeling as a creative mathematical activity. In R. Leikin & B. Sriraman (Eds.), Creativity and Giftedness: Interdisciplinary perspectives from mathematics and beyond (pp. 47–55). Switzerland: Springer International Publishing.CrossRefGoogle Scholar
- Perkins, D. N. (1985). Creativity by design. In A. L. Costa (Ed.), Developing minds: A resource book for teaching thinking (pp. 172–174). Alexandria, VA: Association for Supervision and Curriculum Development.Google Scholar
- Piirto, J. (2011). Creativity for 21st century skills. Dordrecht: Springer Science and Business Media.CrossRefGoogle Scholar
- Remillard, J.T. (1999). Curriculum materials in mathematics education reform: A framework for examining teachers’ curriculum development. Curriculum Inquiry, 29(3), 315–342.CrossRefGoogle Scholar
- Runesson, U. (2005). Beyond discourse and interaction. Variation: a critical aspect for teaching and learning mathematics. Cambridge journal of education, 35(1), 69–87.CrossRefGoogle Scholar
- Schoenfeld, A. H., & Kilpatrick, J. (2008). Toward a theory of proficiency in teaching mathematics. In D. Tirosh & T. Wood (Eds.), The mathematics teacher educator as a developing professional (pp. 321–354). Rotterdam: Sense Publishers.Google Scholar
- Shaheen, R. (2010). Creativity and education. Creative Education, 1(03), 166–169.CrossRefGoogle Scholar
- Shriki, A. (2010). Working like real mathematicians: Developing prospective teachers’ awareness of mathematical creativity through generating new concepts. Educational Studies in Mathematics, 73(2), 159–179.CrossRefGoogle Scholar
- Smith, M.S. (2000). Balancing old and new: An experienced middle school teacher’s learning in the context of mathematics instructional reform. The Elementary School Journal, 100(4), 351–375.CrossRefGoogle Scholar
- Sriraman, B. (2005). Are giftedness & creativity synonyms in mathematics? An analysis of constructs within the professional and school realms. The Journal of Secondary Gifted Education, 17, 20–36.CrossRefGoogle Scholar
- Sriraman, B. (2006). An ode to Imre Lakatos: quasi-thought experiments to bridge the ideal and actual mathematics classrooms. Interchange, 37(1–2), 151–178.CrossRefGoogle Scholar
- Sriraman, B. (2009). The characteristics of mathematical creativity. ZDM—The International Journal on Mathematics Education, 41(1&2), 19–34.Google Scholar
- Sriraman, B., & Dickman, B. (2017). Mathematical pathologies as pathways into creativity. ZDM—The International Journal on Mathematics Education, 49(1), 137–145.CrossRefGoogle Scholar
- Sriraman, B., Yaftian, N., & Lee, K. (2011). Mathematical creativity and mathematics education. In B. Sriraman & K. Lee (Eds.), The Elements of Creativity and Giftedness in Mathematics (pp. 119–130). The Netherlands: Sense Publishers.CrossRefGoogle Scholar
- Stein, M.K., Grover, B.W., & Henningsen, M. (1996). Building student capacity for mathematical thinking and reasoning: An analysis of mathematical tasks used in reform classrooms. American Educational Research Journal, 33(2), 455–488.CrossRefGoogle Scholar
- Stein, M.K., & Lane, S. (1996). Instructional tasks and the development of student capacity to think and reason: An analysis of the relationship between teaching and learning in a reform mathematics project. Educational Research and Evaluation, 2(1), 50–80.CrossRefGoogle Scholar
- Sternberg, R.J. (2003). Wisdom, intelligence, and creativity synthesized. Cambridge: Cambridge University Press.CrossRefGoogle Scholar
- Sternberg, R.J., & Lubart, T.I. (1999). The concept of creativity: Prospects and paradigms. In R. J. Sternberg (Ed.), Handbook of creativity (pp. 3–15). Cambridge: Cambridge University Press.Google Scholar
- Stigler, J.W., & Hiebert, J. (2004). Improving mathematics teaching. Educational Leadership, 61(5), 12–17.Google Scholar
- Tan, A. G., & Sriraman, B. (2017). Convergence in creativity development for mathematical capacity. In R. Leikin & B. Sriraman (Eds.), Creativity and giftedness: Interdisciplinary perspectives from mathematics and beyond (pp. 117–134). Switzerland: Springer International Publishing.CrossRefGoogle Scholar
- Tan, J., & Gopinathan, S. (2000). Education reform in Singapore: Towards greater creativity and innovation? NIRA Review, 7(3), 5–10.Google Scholar
- Torrance, E. P. (1987). Teaching for creativity. In S.G. Isaksen (Ed.), Frontiers of creativity research: Beyond the basics (pp. 189–215). Buffalo: Bearly Limited.Google Scholar
- Tsamir, P. (2008). Using theories as tools in mathematics teacher education. In B. Jaworski & T. L. Wood (Eds.), The mathematics teacher educator as a developing professional (pp. 211–234). Rotterdam: Sense Publishers.Google Scholar
- Van Akker, J., & Nieveen, N. (2017). The role of teachers in design research in education. In S. Doff & R. Komoss (Eds.), Making change happen (pp. 75–86). Wiesbaden: Springer Fachmedien.CrossRefGoogle Scholar
- Verschaffel, L., De Corte, E., Lasure, S., Van Vaerenbergh, G., Bogaerts, H., & Ratinckx, E. (1999). Learning to solve mathematical application problems: A design experiment with fifth graders. Mathematical Thinking and Learning, 1(3), 195–229.CrossRefGoogle Scholar
- Watson, A., & Ohtani, M. (Eds.). (2015). Task design in mathematics education: An ICMI study 22. Switzerland: Springer.Google Scholar
- Zaslavsky, O. (1995). Open-ended tasks as a trigger for mathematics teachers’ professional development. For the Learning of Mathematics, 15(3), 15–20.Google Scholar
- Zawojewski, J.S., & McCarthy, L. (2007). Numeracy in Practice. Principal Leadership, 7(5), 32–37.Google Scholar
- Zimmerman, B.J., & Dibenedetto, M.K. (2008). Mastery learning and assessment: Implications for students and teachers in an era of high-stakes testing. Psychology in the Schools, 45(3), 206–216.CrossRefGoogle Scholar
Copyright information
Open AccessThis article is distributed under the terms of the Creative Commons Attribution 4.0 International License (http://creativecommons.org/licenses/by/4.0/), which permits unrestricted use, distribution, and reproduction in any medium, provided you give appropriate credit to the original author(s) and the source, provide a link to the Creative Commons license, and indicate if changes were made.




