Abstract
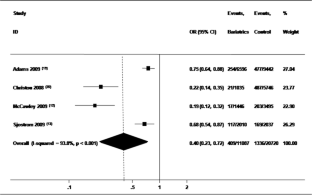
Obesity is linked to the development of cancer. Previous studies have suggested that there is a relationship between bariatric surgery and reduced cancer risk. Data sources were from Medline, Embase, and Cochrane Library. From 951 references, 13 studies met the inclusion criteria (54,257 participants). In controlled studies, bariatric surgery was associated with a reduction in the risk of cancer. The cancer incidence density rate was 1.06 cases per 1000 person-years within the surgery groups. In the meta-regression, we found an inverse relationship between the presurgical body mass index and cancer incidence after surgery (beta coefficient −0.2, P < 0.05). Bariatric surgery is associated with reduced cancer risk in morbidly obese people. However, considering the heterogeneity among the studies, conclusions should be drawn with care.
This is a preview of subscription content, access via your institution.



References
- 1.
Flegal KM, Carroll MD, Ogden CL, et al. Prevalence and trends in obesity among US adults, 1999-2008. JAMA : J Am Med Assoc. 2010;303(3):235–41. Epub 2010/01/15.
- 2.
Rokholm B, Baker JL, Sorensen TI. The levelling off of the obesity epidemic since the year 1999—a review of evidence and perspectives. Obes Rev: Off J Int Assoc Study Obes. 2010;11(12):835–46. Epub 2010/10/27.
- 3.
May AL, Freedman D, Sherry B, Blanck HM. Obesity—United States, 1999-2010. Morbidity and mortality weekly report Surveillance summaries (Washington, DC : 2002). 2013;62 Suppl 3:120-8. Epub 2013/11/23.
- 4.
Samanic C, Chow WH, Gridley G, et al. Relation of body mass index to cancer risk in 362,552 Swedish men. Cancer Causes Control. 2006;17(7):901–9.
- 5.
Parekh N, Chandran U, Bandera EV. Obesity in cancer survival. Annu Rev Nutr. 2012;32:311–42. Epub 2012/05/01.
- 6.
Kaidar-Person O, Bar-Sela G, Person B. The two major epidemics of the twenty-first century: obesity and cancer. Obes Surg. 2011;21(11):1792–7. Epub 2011/08/16.
- 7.
Calle EE, Kaaks R. Overweight, obesity and cancer: epidemiological evidence and proposed mechanisms. Nat Rev Cancer. 2004;4(8):579–91.
- 8.
Eckel RH. Clinical practice. Nonsurgical management of obesity in adults. N Engl J Med. 2008;358(18):1941–50.
- 9.
Colquitt JL, Picot J, Loveman E, et al. Surgery for obesity. Cochrane Database Syst Rev. 2009;2, CD003641.
- 10.
Christou NV, Sampalis JS, Liberman M, et al. Surgery decreases long-term mortality, morbidity, and health care use in morbidly obese patients. Ann Surg. 2004;240(3):416–23. discussion 23–4; Epub 2004/08/21.
- 11.
Sjostrom L. Bariatric surgery and reduction in morbidity and mortality: experiences from the SOS study. Int J Obes (Lond) (2005). 2008;32 Suppl 7:S93–7.
- 12.
McCawley GM, Ferriss JS, Geffel D, et al. Cancer in obese women: potential protective impact of bariatric surgery. J Am Coll Surg. 2009;208(6):1093–8. Epub 2009/05/30.
- 13.
Sjostrom L, Gummesson A, Sjostrom CD, et al. Effects of bariatric surgery on cancer incidence in obese patients in Sweden (Swedish Obese Subjects Study): a prospective, controlled intervention trial. Lancet Oncol. 2009;10(7):653–62. Epub 2009/06/27.
- 14.
Adams TD, Gress RE, Smith SC, et al. Long-term mortality after gastric bypass surgery. N Engl J Med. 2007;357(8):753–61. Epub 2007/08/24.
- 15.
Stroup DF, Berlin JA, Morton SC, et al. Meta-analysis of observational studies in epidemiology: a proposal for reporting. Meta-analysis of Observational Studies in Epidemiology (MOOSE) group. JAMA : J Am Med Assoc. 2000;283(15):2008–12.
- 16.
Wells GA, Shea B, O’Connell D, Peterson J, Welch V, Losos M, et al. The Newcastle-Ottawa Scale (NOS) for assessing the quality if nonrandomized studies in meta-analyses. Available from URL: http://www.ohri.ca/programs/clinical_epidemiology/oxford.asp[cited 2013 Feb 05] [updated 02/05/2013; cited 2013 Feb 05, 2013]; Available from: http://www.ohri.ca/programs/clinical_epidemiology/oxford.asp.
- 17.
Higgins JP, Thompson SG. Quantifying heterogeneity in a meta-analysis. Stat Med. 2002;21(11):1539–58.
- 18.
Higgins JP, Thompson SG, Deeks JJ, et al. Measuring inconsistency in meta-analyses. BMJ. 2003;327(7414):557–60. Epub 2003/09/06.
- 19.
Adams TD, Stroup AM, Gress RE, et al. Cancer incidence and mortality after gastric bypass surgery. Obesity. 2009;17(4):796–802.
- 20.
Christou NV, Lieberman M, Sampalis F, et al. Bariatric surgery reduces cancer risk in morbidly obese patients. Surg Obes Relat Dis: Off J Am Soc Bariatric Surg. 2008;4(6):691–5. Epub 2008/11/26.
- 21.
Clough A, Layani L, Shah A, et al. Laparoscopic gastric banding in over 60s. Obes Surg. 2011;21(1):10–7. Epub 2010/05/22.
- 22.
Forsell P, Hellers G. The Swedish Adjustable Gastric Banding (SAGB) for morbid obesity: 9 year experience and a 4-year follow-up of patients operated with a new adjustable band. Obes Surg. 1997;7(4):345–51. Epub 1997/08/01.
- 23.
Gagne DJ, Papasavas PK, Maalouf M, et al. Obesity surgery and malignancy: our experience after 1500 cases. Surg Obes Relat Dis: Off J Am Soc Bariatric Surg. 2009;5(2):160–4. Epub 2008/10/14.
- 24.
Gusenoff JA, Koltz PF, O'Malley WJ, et al. Breast cancer and bariatric surgery: temporal relationships of diagnosis, treatment, and reconstruction. Plast Reconstr Surg. 2009;124(4):1025–32. Epub 2009/11/26.
- 25.
Marsk R, Freedman J, Tynelius P, et al. Antiobesity surgery in Sweden from 1980 to 2005: a population-based study with a focus on mortality. Ann Surg. 2008;248(5):777–81. Epub 2008/10/25.
- 26.
Ostlund MP, Lu Y, Lagergren J. Risk of obesity-related cancer after obesity surgery in a population-based cohort study. Ann Surg. 2010;252(6):972–6. Epub 2010/06/24.
- 27.
Sjostrom L, Narbro K, Sjostrom CD, et al. Effects of bariatric surgery on mortality in Swedish obese subjects. N Engl J Med. 2007;357(8):741–52. Epub 2007/08/24.
- 28.
Srikanth MS, Fox SR, Oh KH, et al. Renal cell carcinoma following bariatric surgery. Obes Surg. 2005;15(8):1165–70. Epub 2005/10/04.
- 29.
Steffen R, Potoczna N, Bieri N, et al. Successful multi-intervention treatment of severe obesity: a 7-year prospective study with 96 % follow-up. Obes Surg. 2009;19(1):3–12. Epub 2008/09/17.
- 30.
Sugerman HJ, Sugerman EL, Wolfe L, et al. Risks and benefits of gastric bypass in morbidly obese patients with severe venous stasis disease. Ann Surg. 2001;234(1):41–6. Epub 2001/07/20.
- 31.
Sultan S, Gupta D, Parikh M, et al. Five-year outcomes of patients with type 2 diabetes who underwent laparoscopic adjustable gastric banding. Surg Obes Relat Dis: Off J Am Soc Bariatric Surg. 2010;6(4):373–6. Epub 2010/07/16.
- 32.
Neovius M, Narbro K, Keating C, et al. Health care use during 20 years following bariatric surgery. JAMA : J Am Med Assoc. 2012;308(11):1132–41. Epub 2012/09/20.
- 33.
Derogar M, Hull MA, Kant P, et al. Increased risk of colorectal cancer after obesity surgery. Ann Surg. 2013;258(6):983–8. Epub 2013/03/09.
- 34.
Burza MA, Pirazzi C, Maglio C, et al. PNPLA3 I148M (rs738409) genetic variant is associated with hepatocellular carcinoma in obese individuals. Dig liver Dis : Off J Ital Soc Gastroenterol Ital Assoc Study Liver. 2012;44(12):1037–41. Epub 2012/06/19.
- 35.
Maglio C, Ericson U, Burza MA, et al. The IRS1 rs2943641 variant and risk of future cancer among morbidly obese individuals. J Clin Endocrinol Metab. 2013;98(4):E785–9. Epub 2013/02/19.
- 36.
Rapp K, Schroeder J, Klenk J, et al. Obesity and incidence of cancer: a large cohort study of over 145,000 adults in Austria. Br J Cancer. 2005;93(9):1062–7. Epub 2005/10/20.
- 37.
Lukanova A, Bjor O, Kaaks R, et al. Body mass index and cancer: results from the Northern Sweden Health and Disease Cohort. Int J Cancer J int Cancer. 2006;118(2):458–66. Epub 2005/07/29.
- 38.
Renehan AG, Tyson M, Egger M, et al. Body-mass index and incidence of cancer: a systematic review and meta-analysis of prospective observational studies. Lancet. 2008;371(9612):569–78. Epub 2008/02/19.
- 39.
Birks S, Peeters A, Backholer K, et al. A systematic review of the impact of weight loss on cancer incidence and mortality. Obes Rev: Off J Int Assoc Study Obes. 2012;13(10):868–91. Epub 2012/06/08.
- 40.
Topol EJ, Bousser MG, Fox KA, et al. Rimonabant for prevention of cardiovascular events (CRESCENDO): a randomised, multicentre, placebo-controlled trial. Lancet. 2010;376(9740):517–23. Epub 2010/08/17.
- 41.
James WP, Caterson ID, Coutinho W, et al. Effect of sibutramine on cardiovascular outcomes in overweight and obese subjects. N Engl J Med. 2010;363(10):905–17. Epub 2010/09/08.
- 42.
Franco M, Bilal U, Ordunez P, et al. Population-wide weight loss and regain in relation to diabetes burden and cardiovascular mortality in Cuba 1980-2010: repeated cross sectional surveys and ecological comparison of secular trends. BMJ. 2013;346:f1515. Epub 2013/04/11.
- 43.
DeMaria EJ, Pate V, Warthen M, et al. Baseline data from American Society for Metabolic and Bariatric Surgery-designated bariatric surgery centers of excellence using the bariatric outcomes longitudinal database. Surgery Obes Relat Dis: Off J Am Soc Bariatric Surg. 2010;6(4):347–55. Epub 2010/02/24.
- 44.
Jemal A, Siegel R, Xu J, et al. Cancer statistics, 2010. CA: Cancer J Clin. 2010;60(5):277–300. Epub 2010/07/09.
- 45.
Bastard JP, Maachi M, Lagathu C, et al. Recent advances in the relationship between obesity, inflammation, and insulin resistance. Eur Cytokine Netw. 2006;17(1):4–12. Epub 2006/04/15.
- 46.
de Visser KE, Eichten A, Coussens LM. Paradoxical roles of the immune system during cancer development. Nat Rev Cancer. 2006;6(1):24–37. Epub 2006/01/07.
- 47.
Modesitt SC, Huang B, Shelton BJ, et al. Endometrial cancer in Kentucky: the impact of age, smoking status, and rural residence. Gynecol Oncol. 2006;103(1):300–6. Epub 2006/04/25.
- 48.
Coussens LM, Werb Z. Inflammation and cancer. Nature. 2002;420(6917):860–7. Epub 2002/12/20.
- 49.
Ashrafian H, Ahmed K, Rowland SP, et al. Metabolic surgery and cancer: protective effects of bariatric procedures. Cancer. 2011;117(9):1788–99. Epub 2011/04/22.
- 50.
Parker ED, Folsom AR. Intentional weight loss and incidence of obesity-related cancers: the Iowa Women's Health Study. Int J Obes Relat Metab Disord: J Int Assoc Study Obes. 2003;27(12):1447–52. Epub 2003/11/25.
- 51.
Esposito K, Chiodini P, Colao A, et al. Metabolic syndrome and risk of cancer: a systematic review and meta-analysis. Diabetes Care. 2012;35(11):2402–11. Epub 2012/10/25.
- 52.
Unick JL, Beavers D, Jakicic JM, et al. Effectiveness of lifestyle interventions for individuals with severe obesity and type 2 diabetes: results from the Look AHEAD trial. Diabetes Care. 2011;34(10):2152–7. Epub 2011/08/13.
Acknowledgments
This study was supported by a grant from The Brazilian Federal Agency for Support and Evaluation of Graduate Education (CAPES). We thank Dr. Lars Sjostrom, who provided complementary data from his study. We also thank Dr. Rodrigo Ribeiro, who helped with our statistical analyses.
Conflict of Interest
The authors have no potential conflicts of interest, including specific financial interests or relationships and affiliations relevant to the subject matter or materials disclosed in the manuscript.
Author information
Affiliations
Corresponding author
Electronic Supplementary Material
Below is the link to the electronic supplementary material.
ESM 1
(DOCX 12 kb)
Rights and permissions
About this article
Cite this article
Casagrande, D.S., Rosa, D.D., Umpierre, D. et al. Incidence of Cancer Following Bariatric Surgery: Systematic Review and Meta-analysis. OBES SURG 24, 1499–1509 (2014). https://doi.org/10.1007/s11695-014-1276-0
Published:
Issue Date:
Keywords
- Cancer
- Morbid obesity
- Bariatric surgery
- Gastric bypass