Changed land management policy and the emergence of a novel forest ecosystem in South Korea: landscape dynamics in Pohang over 90 years
- 508 Downloads
Abstract
Ecosystem management in South Korea dramatically changed in the early 1970s, shifting from historical utilization of natural resources to a strong management system that included forest promotion and restoration. The socio-economic and biological context underpinning this effort and the ecological consequences of this new policy have not been studied in South Korea. We analyzed landscape dynamics over a 90-year period (1918–2005), with particular attention to forest soil erosion, by using historical map and satellite images in Pohang. Our analysis revealed a dramatic increase in total vegetation cover (from 10,006.9 ha in 1918 to 17,868.7 ha in 2005) and an increase in the developed area. Meanwhile, the amount of barren mountainous area declined, shrub vegetation almost completely disappeared from the given area, and the salt marsh in the estuary completely disappeared. Mean soil loss declined from 12.6 ton ha−1 year−1 in 1973 to 0.2 ton ha−1 year−1 in 2005. A gradual landscape simplification occurred during the 90-year period. Socio-economic changes were the most important factor contributing to forest growth in South Korea. Various biological factors, including the absence of apex consumers due to their local extinction in the late 20th century, likely accounted for the rapid landscape transition. The new land management policy in South Korea resulted in the emergence of a forest ecosystem that is novel to this region and differs markedly from the historical environment, with a changed spatial arrangement of landscape elements and species assemblages.
Keywords
Forest restoration Human management Landscape dynamics Novel ecosystem Quercus serrataIntroduction
Major changes occurred in natural resources management policy in South Korea in the early 1970s, shifting from traditional utilization to strong conservation alongside nationwide forest promotion efforts. South Korea’s success in promoting change from a landscape of degraded shrubs and herbaceous vegetation and bare ground to forest was praised by the international community (Lee and Suh 2005). The negative impacts of human land utilization included reductions in diversity across large areas, altered landscape appearance, and reduced natural resources. Thus, it was necessary to undertake restoration at a landscape and ecosystem level (Hobbs et al. 2007). The restoration effort took into consideration the characteristics of the target area, a detailed species introduction plan, and the local people (Cho et al. 2016).
The landscape of South Korea has been changed and dominated by anthropogenic activities, making natural areas and processes are rare. There are various perspectives on the condition and dynamics of ecosystems in South Korea (i.e., the degree to which the ecosystems are degraded or altered; see Hobbs 2016). As mentioned, the landscape was degraded by overexploitation in the early and middle 20th century (Lee and Suh 2005). The historical landscape included forests, grasslands, shrub vegetation, and wildlife populations that supported apex consumers such as tiger, wolf, and fox (NIBR 2013; Ulsan Daegok Museum 2016; Kim 2017). A mixed vegetation landscape was sustained during the Joseon Dynasty (1392–1896) and Daehan-Jeguk Empire (1897–1910) but was almost completely converted into forest by the change in natural resources management policy in the 1970s. Grass and shrublands mainly created by slash-and-burn farming in low-elevation areas were managed by local people, providing essential food, fuel, and opportunities to raise livestock during the Joseon Dynasty period (Kang 2013; Kim 2017).
The changes in the land mosaic are the result of complex, multiple processes and are critically important to the species that inhabit this area (Brozović et al. 1997). Landscape change is caused both by natural processes and by artificial interventions, including cultural activities and management. For populous countries such as South Korea, the land management goal dictates the change in the landscape structure, the spatial arrangement of landscape elements, and species composition and interactions in the regional ecosystem. Landscapes are the scale at which people and their surrounding environments interact, and thus the composition and configuration of a landscape both profoundly affect, and are affected by, human activities (Wu 2013). Therefore, it is necessary to understand the historical landscape and its dynamics in order to interpret changes in the regional ecosystem and human interactions (White and Walker 1997).
Although the forest promotion policy was successful in South Korea, the ecological consequences of this policy have not been presented in a balanced way. By analyzing landscape dynamics over the course of 90 years and viewing Pohang as a representative area in which the forest promotion policy was successful, we provide a new understanding of the socio-economic and biological background contributing to forest promotion success and its ecological significance in South Korea.
Materials and methods
Study area
The biggest single forest restoration and promotion project by South Korean government to date is the Young-il Soil Erosion Control Project in Pohang (4,538 ha). It was designed to control the degraded mountain area and to facilitate the establishment of vegetation, starting in 1972, and the project was sustained by the central government until 1977 (Gyeongsangbuk-do 1999). Because of overexploitation of natural resources caused by human population growth in the local area, the government reached the conclusion that vegetation recovery by natural processes alone in Pohang was impossible (Gyeongsangbuk-do 1999; Cho 2005a). In particular, the severe dryness of the soil and bedrock after weathering exfoliated the mudstone became the major barrier against successional processes.
Pohang is located in the Southeastern Korean Peninsula
The study area is classified as a warm temperate forest zone, specifically a warm-temperate summer-green broadleaved forest area (Kim and Lee 2006). Oak (Quercus mongolica and Q. serrata) forest dominates the ridges and slopes, while Korean red pine (Pinus densiflora) and Q. variabilis forest occupies rocky and steep habitats. Various artificial forests (Alnus firma, Robinia pseudoacacia, Pinus thunbergii, and P. rigida) cover lower and hilly areas.
During the restoration period, various introduced tree species (A. firma, A. sibirica, P. rigida, and R. pseudoacacia), a native tree species (P. thunbergii), a shrub (Lespedeza bicolor), and herbaceous plants (Arundinella hirta, Themeda triandra, and Cymbopogon tortilis) were planted or sowed on slopes that were stabilized by terracing, after which they were fertilized at three-year intervals (Gyeongsangbuk-do 1999).
Landscape dynamics analysis
To quantify the effect of the restoration project at the landscape level, we clarified landscape change over the course of 90 years by interpreting a topographical map from 1918 scaled at 1:50,000 (published by the Japanese Government-General of the Joseon Dynasty) and four satellite images taken in 1973, 1987, 1995, and 2005. To apply modern analysis to the map, we divided the land cover using a digitizing method according to the symbols representing nine land cover classes: broadleaved forest, coniferous forest, low vegetation, barren mountainous area, developed area, water body, rice paddy, field, and salt field. The five separately constructed digital polygon maps were compiled into a master vector data layer and converted to grid form (pixel size 30 m × 30 m).
Satellite image interpretation was carried out by applying several GIS programs (ERDAS IMAGINE 8.6, Arcview 3.2, Arcgis 8.3, and IDRISI Andes). The earliest image (1973) was from Landsat MSS (Multispectral Scanner, 80 m × 80 m resolution) data, and images from 1987, 1995, and 2005 were from Landsat TM (Thematic Mapper, 30 m × 30 m resolution) data. All images were taken in June. The phenology in those four images was similar to each other. Images were geometrically corrected by TM projection on 1:25,000-scale national topographic maps. The 1973 image was resampled to a 30 m × 30 m pixel size to correct the resolution among the satellite images and to conduct change detection analysis.
The land cover data of each image was produced using an unsupervised classification method. We extracted each land cover class by comparing already-classified images with original images and combined them into a single grid file using the ‘over’ function of Arcgis 8.3. We calculated the change in each individual land cover class during the 90-year period based on the total changed area during each period as follows: Total changed area = (AreaΔ 1918–1973) + (AreaΔ 1973–1987) + (AreaΔ 1987–1995) + (Area 1995–2005). The cumulative net area changed was estimated from the area gained minus the area lost. This procedure was conducted by Land Change Modeler in IDRISI Andes 15.0.
Landscape diversity was analyzed by applying Shannon’s diversity index (H′) (Shannon 1948) and landscape element rank-abundance curves, similar to the species rank-abundance curve (Magurran 2004). The area of each landscape element was used to calculate diversity. Before analysis, coniferous and summer-green broadleaved forests were combined as a single element (forest), and field and paddy fields were combined (field).
Soil erosion control analysis
In addition to performing quantitative landscape analysis, we assessed the functional aspect of the restoration project by modeling surface soil erosion volume using the Revised Universal Soil Loss Equation (RUSLE) model (Renard et al. 1997) for 1973 and 2005. RUSLE can be used to compute soil loss in areas where significant overland flow occurs, but it is not designed for use with lands where no overland flow occurs, such as undisturbed forest lands (Dissmeyer and Foster 1980; USDA National Soil Erosion Research Laboratory 1995; Soil and Water Conservation Society 1995).
Results
Landscape dynamics after restoration
Land cover changes from 1918 to 2005 in Pohang, a region that shows representative landscape change in South Korea. Shrub vegetation, including shrub and herbaceous land, was converted into forest during the period of strong forest promotion (1970s–1980s) in South Korea. Our analysis detected a rapid expansion of the developed area and consequent landscape fragmentation during this time. (Color figure online)
Configuration of land cover class by area and percentage of the total study area from 1918 to 2005 in Pohang
| Land cover class | 1918 | 1973 | 1987 | 1995 | 2005 | |||||
|---|---|---|---|---|---|---|---|---|---|---|
| Area (ha) | % | Area (ha) | % | Area (ha) | % | Area (ha) | % | Area (ha) | % | |
| Coniferous forest | 2577.5 | 7.0 | 5242.1 | 14.2 | 7401.6 | 20.1 | 8294.0 | 22.5 | 7509.9 | 20.4 |
| Broadleaved forest | 51.0 | 0.1 | 4258.4 | 11.6 | 4944.9 | 13.4 | 8548.0 | 23.2 | 9470.3 | 25.7 |
| Shrub vegetation | 7378.4 | 20.1 | 7441.7 | 20.2 | 6356.0 | 17.3 | 1281.8 | 3.5 | 888.6 | 2.4 |
| Subtotal | 10006.9 | 27.2 | 16942.2 | 46.0 | 18702.5 | 50.8 | 18123.8 | 49.3 | 17868.7 | 48.6 |
| Barren mountainous area | 11784.9 | 32.0 | 3087.9 | 8.4 | 706.6 | 1.9 | 340.4 | 0.9 | – | – |
| Developed area | 2388.7 | 6.5 | 2471.5 | 6.7 | 5239.4 | 14.2 | 8813.1 | 24.0 | 10544.8 | 28.7 |
| Body of water | 361.0 | 1.0 | 627.5 | 1.7 | 598.5 | 1.6 | 525.9 | 1.4 | 504.7 | 1.4 |
| Rice paddy | 9537.0 | 25.9 | 13579.2 | 36.9 | 11181.4 | 30.4 | 5913.6 | 16.1 | 4662.7 | 12.7 |
| Field | 2626.2 | 7.1 | 85.2 | 0.2 | 365.2 | 1.0 | 3076.7 | 8.4 | 3212.6 | 8.7 |
| Salt field | 88.8 | 0.2 | – | – | – | – | – | – | – | – |
| Total | 36793.5 | 100.0 | 36793.5 | 100.0 | 36793.5 | 100.0 | 36793.5 | 100.0 | 36793.5 | 100.0 |
Population growth and expansion of roads in recent years in Pohang
Area lost and gained (i.e., gross change) according to land cover class from 1973 to 2005 in Pohang. Barren mountainous area, areas of shrub vegetation, and rice paddies declined a great deal in area, but forest vegetation such as coniferous and broadleaved forest increased
Cumulative net area of land changed, according to land cover class, from 1918 to 2005 in the study area. A steeper line indicates a higher rate of change, and a flatter line indicates a lower rate of change
Landscape diversity after restoration
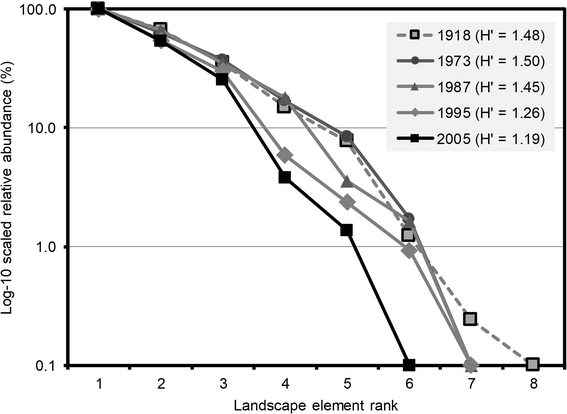
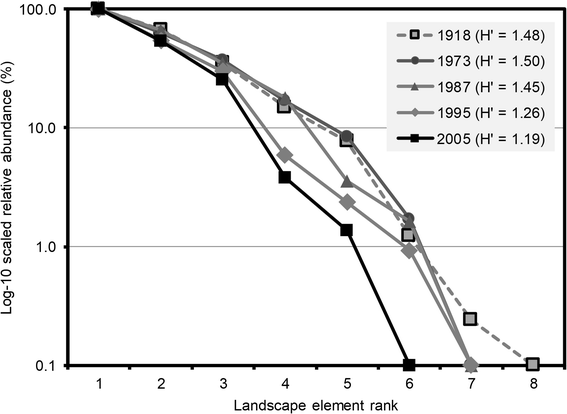
Shannon’s diversity index (H′) and landscape element rank-abundance curves based on the area covered by various landscape elements over the course of 90 years in Pohang. Landscape simplification due to the change in landscape management goals and urbanization gradually progressed for the past 90 years
Change in annual soil loss
Change in annual amounts of soil loss (ton ha−1 year−1) in the study area between 1973 and 2005. Forest restoration exerted a rapid control effect on mountain soil loss. Disturbance due to forest fire was a temporal agent in soil loss increment in 1995. (Color figure online)
Change in mean annual soil loss based on RUSLE modeling between 1973 and 2005
| Soil loss class (ton ha−1 year−1) | 1973 | 1987 | 1995 | 2005 | ||||
|---|---|---|---|---|---|---|---|---|
| Area (ha) | % | Area (ha) | % | Area (ha) | % | Area (ha) | % | |
| None | ||||||||
| 0 | 16408.0 | 44.6 | 18060.4 | 49.1 | 20146.0 | 54.8 | 21205.9 | 57.6 |
| Rare | ||||||||
| 0–1 | 12725.4 | 34.6 | 12372.9 | 33.6 | 13399.5 | 36.4 | 12774.6 | 34.7 |
| Relatively rare | ||||||||
| 1–10 | 5932.0 | 16.1 | 3000.5 | 8.2 | 1851.2 | 5.0 | 1773.8 | 4.8 |
| Moderate | ||||||||
| 10–100 | 778.8 | 2.1 | 3074.4 | 8.4 | 1198.0 | 3.3 | 991.8 | 2.7 |
| Relatively severe | ||||||||
| 100–1,000 | 919.3 | 2.5 | 256.3 | 0.7 | 170.2 | 0.5 | 47.3 | 0.1 |
| Severe | ||||||||
| > 1,000 | 29.9 | 0.1 | 28.7 | 0.1 | 28.6 | 0.1 | – | – |
| Total | 36793.5 | 100.0 | 36793.1 | 100.0 | 36793.5 | 100.0 | 36793.5 | 100.0 |
Discussion
To meet the ecosystem management goal set in the 1970s in South Korea, shrub and herbaceous vegetation and barren mountainous area were converted into forest through massive plantation activities and strong restrictions on natural resource utilization by the local people. The forest promotion and restoration efforts, which combined artificial assistance with ecological processes, were strikingly effective in increasing forest cover and controlling forest soil erosion at various specific plantations. The policy change regarding natural resources management brought not only a simplification of landscape diversity but also altered habitats and changed species interactions.
Landscape dynamics
A strong landscape management policy and changes in socio-economic context in the 1970s resulted in a successful forest promotion and restoration effort in South Korea. The expansion of nature protection awareness among the general public, as well as industrialization and urbanization, which included a fuel revolution that favored gas over wood fuel, were the relevant socio-economic factors. Those factors led to an abrupt decline in the demand for natural resources such as fuel wood and grasses for livestock (Nakagoshi 1995; Naveh 1998; Hong et al. 2000; Lee and You 2001). At the same time, there was a nationwide movement to convert barren mountainous areas and shrub vegetation into forest through artificial plantation.
The expansion of forest cover occurred over a relatively short period due to active human intervention. As mentioned by Forman (1995), the direct and indirect effects of human activities on the surrounding landscape persist for decades or centuries, and various consequences emerge in a given land mosaic over time, such as landscape fragmentation and altered spatial arrangement of ecosystem structure. Herbaceous and shrub vegetation and the area of bare ground at lower elevation areas were almost completely replaced by plantation forest. The change also caused various ecological interactions among species to change. Simple forest will continue to dominate the vegetation landscape in South Korea until there is a novel major shift in ecosystem management policy.
The developed area, including industrial complexes and residential areas, also rapidly increased (Figs. 2, 3). One of the consequences of urbanization is that the development of the city encroaches upon agricultural land. Conversion of agricultural areas from conventional rice paddies and fields to modernized operations using greenhouses was a significant change in Asian countries (Cho 2005b; Li et al. 2005; Tan et al. 2005). The increase in urbanized area corresponds to regional population growth, which increases the need for industrial and residential areas and roads. The increased increment of the urbanized area was consistent with increases in modern agricultural fields and broadleaved forest cover in given landscape. In the past, agricultural landscape elements functioned as a buffer zone, preventing natural landscape elements from becoming isolated by diminishing the strong contrast between vegetated areas and urbanized areas. Conversion of traditional agriculture approaches (rice paddies) to modern ones (greenhouses), however, removed multifunctional characteristics of cultural agriculture (Lee and You 2001; Lankoski 2003).
The forest promotion project in South Korea was established and carried out fundamentally to prevent soil erosion. In fact, the project succeeded so effectively that the area where erosion was “relatively severe” or “severe” decreased from 2.6% in 1973 to 0.1% in 2005 (Table 2). Intensive degradation of mountainous areas continued until the early 1970s. In mountainous areas, a dramatic change occurred as the denuded area transitioned to vegetated area between 1973 and 1987 (Fig. 7, Table 1). As mentioned, successive introduction of carefully chosen plant communities, nitrogen-fixing plants, and early seral grasses was responsible for the effective control of denuded mountain areas.
Importance of anthropogenic efforts to restore the landscape
The key to the success of the South Korean forest restoration project was the commitment of the national government and local communities (Lee and Suh 2005). Careful planning, including diagnostic evaluation of the target area, site preparation through terracing on steep slopes, and selection of a site-specific plant assemblage, was also important (Cho et al. 2016). Furthermore, intensive post-planting activities were conducted, including periodical fertilization and weeding in the early years of the restoration project. The success of the restoration required a correct diagnosis of ecosystem damage, identification of thresholds and correct methodologies, determination of the important system characteristics in determining ecosystem recovery, and understanding to what extent restoration measures were required to overcome threshold and hysteresis effects (Hobbs et al. 2007). In South Korea, the initial site amendments, such as terracing for site stability, as well as reasonable species introduction and post-planting activities, determined the initial restoration trajectories.
Over the course of 30 years (1972–2005), eroded mountainous areas and shrub vegetation changed to forest land. The planted species became successfully established at the target site because the manager selected the correct tree and herbaceous species for various conditions. Introduced species such as A. firma and R. pseudoacacia were required in order to tolerate the conditions of the sites and to improve the infertile substrates and sandstone. Pioneer and nitrogen-fixing species were used because they can establish in resource-poor soils, accumulate soil-formation materials and nutrients, and obtain nutrients from the air (Lugo 1992).
The initial stage of forest restoration requires active human intervention, and cannot rely on abiotic and biotic forces alone (Burke and Mitchell 2007). During the forest promotion project in South Korea, local people were restricted from gathering fuel from forest land. The energy revolution, which promoted the use of briquettes and gas at that time, contributed to the success of the prohibition policy. The lowland areas around the mountains had traditionally been utilized for residential and agricultural uses and were a source of fuel, timber, non-timber products, and more. These cultural and historical practices hindered initial restoration efforts. The challenges were overcome partly by providing an income subsidy to local people who participated in field activities and helped with seedling production in nurseries (Gyeongsangbuk-do 1999).
Biological context and emergence of a novel ecosystem
During the early 20th century, the vegetation of South Korea gradually changed from the agricultural crops emphasized in the Joseon Dynasty (1392–1896), due to population growth (Kim 2017). In the past, the landscape was severely degraded and disturbed due to the Korean War (1950–1953). However, early seral vegetation that was part of herbaceous and shrub ecosystems in mountainous areas was sustained by human activities for a hundred years. A diversity of habitats is very important in order to support a complete food web and species interactions within the ecosystem (Estes et al. 2011; Ripple et al. 2014). Until the middle of the 20th century, large carnivores such as tiger, wolf, and leopard were still present as apex consumers and were exercising a regulatory effect on other species, although their populations were very small and there were areas in which they were locally extinct (NIBR 2013; Ulsan Daegok Museum 2016; Kim 2017). The local extinction of apex consumers due to hunting to enable agricultural expansion in the Joseon Dynasty period and the consequent shrinking of wildlife populations, including those of herbivores, in the mid- and late 20th century, were likely the hidden biological factors that allowed rapid establishment of the forest-dominated landscape in South Korea. Reduced herbivore presence can facilitate vegetation succession by allowing vegetation to become abundant (see Estes et al. 2011). Thus, human influences were responsible for changed and newly emerging vegetation–animal interactions and species assemblages in South Korea. In order to understand the history of this landscape, it is important to consider the local extinction of species as well as, more importantly, the complete extinction of species from the assemblage and subsequent loss of their interactions in the region.
A change in ecosystem management policy brought a complex and significantly altered spatial arrangement and biological interactions to the landscape. Most of the restored forest area in South Korea was not historically forest land. The present plantation forest in South Korea was shrub and herbaceous vegetation for a hundred years, due to historical policy and land utilization, until the policy change. The present landscape structure (Table 1) and landscape-level diversity (Fig. 6) as revealed by our analysis show the alteration to the historical Korean ecosystem. This altered landscape and related biotic composition as a result of human activities in ecosystems is a global phenomenon (Hobbs et al. 2006).
Change in type of ecosystem according to the type and strength of management policy in South Korea. During the Joseon Dynasty, there was an abrupt increase in agricultural management and natural resource use, as well as in human population, which resulted in an important change in the type of dominant ecosystem state (notably, forests were reduced). A change in management goals after the Korean War promoting forest resources altered vegetation–animal interactions and abruptly rearranged the ecosystem compared with its historical condition. (Color figure online)
Notes
Acknowledgements
The authors would like to thank Chang-Seok Lee at Seoul Women’s University and two anonymous reviews for providing valuable comments on the draft manuscript. Financial support was provided by the Korea Forest Service (Grant no. S120606L0301104) and Korea National Arboretum (KNA1-2-17, 13-3) of the Republic of Korea.
References
- Brozović N, Burbank DW, Meigs AJ (1997) Climatic limits on landscape development in the Northwestern Himalaya. Science 276:571–574CrossRefGoogle Scholar
- Burke SM, Mitchell N (2007) People as ecological participants in ecological restoration. Restor Ecol 15:348–350CrossRefGoogle Scholar
- Cho HJ (2005a) Forest vegetation structures and successional trends in Young-il soil erosion control district. J Korean For Soc 94:453–461 (in Korean with English abstract) Google Scholar
- Cho YC (2005b) Ecological evaluation on Greenbelt Zone based on landscape and restoration ecological principles. Dissertation, Seoul Women’s UniversityGoogle Scholar
- Cho YC, Kim KS, Pi JH, Lee CS (2016) Restoration effects influenced by plant species and landscape context in Young-il region, Southeast Korea: structural and compositional assessment on restored forest. J Ecol Environ 39:1–10CrossRefGoogle Scholar
- Dissmeyer GE, Foster GR (1980) A guide for predicting sheet and rill erosion on forest land. Technical Publication SA-TP-11, USDA Forest Service and Private Forestry, Southeastern AreaGoogle Scholar
- Estes JA, Terborgh J, Brashares JS, Power ME, Berger J, Bond WJ, Carpenter SR, Essington TE, Holt RD, Jackson JB, Marquis RJ, Oksanen L, Oksanen T, Paine RT, Pikitch EK, Ripple WJ, Sandin SA, Scheffer M, Schoener TW, Shurin JB, Sinclair AR, Soulé ME, Virtanen R, Wardle DA (2011) Trophic downgrading of planet Earth. Science 333:301–306. https://doi.org/10.1126/science.1205106 CrossRefPubMedGoogle Scholar
- Forman RTT (1995) Land mosaics: the ecology of landscapes and regions. Cambridge University Press, CambridgeGoogle Scholar
- Gyeongsangbuk-do (1999) 100 years of forest erosion control in Gyeongsangbuk-do, Korea. Gyeongsangbuk-do, Deagu (in Korean, title is not official translation)Google Scholar
- Hobbs RJ (2016) Degraded or just different? Perceptions and value judgements in restoration decisions. Restor Ecol 24:153–158CrossRefGoogle Scholar
- Hobbs RJ, Arico S, Aronson J, Baron JS, Bridgewater P, Cramer VA, Epstein PR, Ewel JJ, Klink CA, Lugo AE, Norton D, Ojima D, Richardson DM, Sanderson EW, Valladares F, Vilà M, Zamora R, Zobel M (2006) Novel ecosystems: theoretical and management aspects of the new ecological world order. Glob Ecol Biogeogr 15:1–7CrossRefGoogle Scholar
- Hobbs RJ, Walker LR, Walker J (2007) Integrating restoration and succession. In: Walker LR, Walker J, Hobbs RJ (eds) Linking restoration and ecological succession. Springer, New York, pp 168–179CrossRefGoogle Scholar
- Hong SK, Rim YD, Nakagoshi N, Chang NK (2000) Recent spatio-temporal changes of landscape structure, heterogeneity and diversity of rural landscape: implements for landscape conservation and restoration. Korean J Ecol 23:359–368 (in Korean with English abstract) Google Scholar
- Kang MI (2013) Stock-farming folklife and extinction of Mt. Halla sangsan-graze during the modern and contemporary. Cheju Natl Univ Tamla Cult Res 43:137–195 (in Korean with English abstract) Google Scholar
- Kim DJ (2017) Ecology and environment of Chosun dynasty. Pureun-ryeoksa (Blue History Pub), Seoul (in Korean, title is not official translation)Google Scholar
- Kim JW, Lee YK (2006) Classification and assessment of plant communities. World Science, Seoul (in Korean with English title) Google Scholar
- Lankoski J (2003) The environmental dimension of multifunctionality: economic analysis and implications for policy design. Agrifood Research Reports 20, MTT Economic Research, Agrifood Research Finland, HelsinkiGoogle Scholar
- Lee DK, Suh SJ (2005) Forest restoration and rehabilitation in Republic of Korea. In: Stanturf JA, Madsen P (eds) Restoration of boreal and temperate forests. CRC Press, Boca Raton, pp 383–396Google Scholar
- Lee CS, You YH (2001) Cultural landscape of Korea, its entity, changes and values evaluation from new paradigm. J Ecol Field Biol 24:323–332 (in Korean with English abstract) Google Scholar
- Lee MB, Kim NS, Jin S, Kim HD (2008) A study on the soil erosion by land use in the Imjin River Basin, DMZ of Central Korea. J Korean Geogr Soc 43:263–275 (in Korean with English abstract) Google Scholar
- Li W, Wang Y, Peng J, Li G (2005) Landscape spatial changes associated with rapid urbanization in Shenzhen, China. Int J Sustain Dev World 12:314–325CrossRefGoogle Scholar
- Lugo AE (1992) Tree plantations for rehabilitating damaged forest lands in the tropics. In: Wali MK (ed) Ecosystem rehabilitation: ecosystem analysis and synthesis. SPB Academic Publishing, The Hague, pp 247–255Google Scholar
- Magurran AE (2004) Measuring biological diversity. Wiley-Blackwell, Malden, USAGoogle Scholar
- Nakagoshi N (1995) Changing cultural landscapes in Japan. In: von Droste B, Plachter H, Rösser M (eds) Cultural landscapes of universal value—components of a global strategy. Gustav Fischer Verlag, Jena, pp 128–138Google Scholar
- Naveh Z (1998) Ecological and cultural landscape restoration and the cultural evolution towards a post-industrial symbiosis between human society and nature. Restor Ecol 6:135–143CrossRefGoogle Scholar
- NIBR (National Institute of Biological Resources) (2013) Basic Study of Korean Tiger Culture and Restoration Possibility. Report No. 11-1480892-000496-00 (in Korean)Google Scholar
- Oh JH (2004) An approach in landscape ecology for natural resource management. Dissertation, Kyungpook National University (in Korean with English abstract)Google Scholar
- Renard KG, Foster GR, Weesies GA, McCool DK, Yoder DC (1997) Predicting soil erosion by water: a guide to conservation planning with the Revised Universal Soil Loss Equation (RUSLE). Agriculture Handbook No. 703, USDA-ARS. Washington, DC: US Government Printing OfficeGoogle Scholar
- Ripple WJ, Estes JA, Beschta RL, Wilmers CC, Ritchie EG, Hebblewhite M, Berger J, Elmhagen B, Letnic M, Nelson MP, Schmitz OJ, Smith DW, Wallach AD, Wirsing AJ (2014) Status and ecological effects of the world’s largest carnivores. Science 343:1241484CrossRefPubMedGoogle Scholar
- Shannon CE (1948) A mathematical theory of communication. Bell Syst Tech J 27(379–423):623–656CrossRefGoogle Scholar
- Soil and Water Conservation Society (1995) Revised Universal Soil Loss Equation (RUSLE) version 1.04 user guideGoogle Scholar
- Tan M, Li X, Xie H, Lu C (2005) Urban land expansion and arable land loss in China: a case study of Beijing–Tianjin–Hebei region. Land Use Policy 22:187–196CrossRefGoogle Scholar
- Toxopeus AG (1996) ISM: An interactive spatial and temporal modelling system as a tool in ecosystem management: with two case studies: Cibodas Biosphere Reserve, West Java Indonesia, Amboseli Biosphere Reserve, Kajiado District, Central Southern Kenya. Dissertation, University of AmsterdamGoogle Scholar
- Ulsan Daegok Museum (2016) Korean translation of “Ulsan-gun in 1933”. Report No. 57-6310000-000545-01 (in Korean with English title)Google Scholar
- USDA National Soil Erosion Research Laboratory (1995) WEPP user summary. NSERL report no. 11Google Scholar
- White PS, Walker JL (1997) Approximating nature’s variation: selecting and using reference information in restoration ecology. Restor Ecol 5:338–349CrossRefGoogle Scholar
- Wu J (2013) Landscape sustainability science: ecosystem services and human well-being in changing landscapes. Landsc Ecol 28:999–1023CrossRefGoogle Scholar
Copyright information
Open AccessThis article is distributed under the terms of the Creative Commons Attribution 4.0 International License (http://creativecommons.org/licenses/by/4.0/), which permits unrestricted use, distribution, and reproduction in any medium, provided you give appropriate credit to the original author(s) and the source, provide a link to the Creative Commons license, and indicate if changes were made.







