Erratum to: Effects of an earthquake on wildlife behavior: a case study of takin (Budorcas taxicolor) in Tangjiahe National Nature Reserve, China
Erratum
First Online:
- 435 Downloads
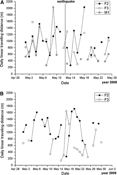
Erratum to: Ecol Res DOI 10.1007/s11284-010-0759-2
Unfortunately, Fig. 4a, b appears incorrectly in the article cited above. The corrected figures are shown here.
Copyright information
© The Ecological Society of Japan 2010
