Sinorhizobium meliloti 1021 Exopolysaccharide as a Flocculant Improving Chromium(III) Oxide Removal from Aqueous Solutions
- 754 Downloads
- 20 Citations
Abstract
Chromium(III) oxide is an amphoteric, dark green solid. This most stable dye is widely used in construction and ceramic industries as well as in painting. In this study, the attempt is made to determine flocculating properties of exopolysaccharide (EPS) synthesized by the bacteria Sinorhizobium meliloti 1021, which would increase the efficiency of chromium(III) oxide removal from sewages and wastewaters. The conditions under which EPS is the most effective destabilizing component of chromium(III) oxide suspension have been determined too. In order to characterize the structure of electric double layer formed at the solid/supporting electrolyte (EPS) solution interface, electrokinetic potential measurements and potentiometric titration were performed. The EPS amount adsorbed on the chromium(III) oxide surface as a solution pH function was also measured. Moreover, the stability of Cr2O3 suspension in the absence and presence of S. meliloti 1021 EPS was estimated. The pooled analysis of all obtained results showed that EPS causes chromium(III) oxide suspension destabilization in the whole examined pH range. The largest change in the system stability before and after the polymer addition was observed at pH 9. It is probable that under these conditions bridging flocculation occurs in the examined system.
Keywords
Sinorhizobium meliloti 1021 exopolysaccharide Chromium(III) oxide Adsorption Zeta potential Potentiometric titration Suspension destabilization1 Introduction
Drinking water shortage in many world regions forces searching for new flocculants and destabilizing factors of possibly high efficiency in solid particles removal from sewages and wastewaters. Microbial flocculants (MBF) create a great opportunity for improving the efficiency of wastewater and sewage treatment. The macromolecular substances like glycoproteins, polysaccharides and nucleic acids are produced by microorganisms during their growth. MBFs accelerate solid particles aggregation and make flocs size greater (Zhang et al. 2009; Lian et al. 2008). Compared to the traditional synthetic flocculants, MBFs are biodegradable, non toxic and their use does not cause secondary water pollution (Yokoi et al. 1995). The MBF mechanism may be based on adsorbent surface charge neutralization by polymer macromolecules of opposite charge or bridging flocculation during which one polymer chain adsorbs on at least two solid particles surface (Tong et al. 1999). In recent years flocculating properties of many bacterial substances, inter alia, bioflocculants produced by Klebsiella sp. TG-1 (Liu et al. 2013), Pleurochrysis certerae (Lee et al. 2009), Bacillus spp. UPMB13 (Zulkeflee et al. 2012) and Bradybacterium sp. (Nwado et al. 2013) have been described.
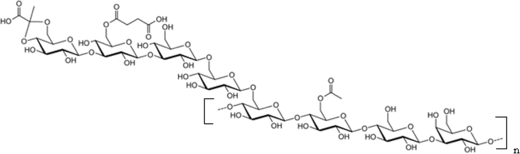
Structure of the Sinorhizobium meliloti 1021 exopolysaccharide monomer
Chromium(III) oxide is a finely crystalline solid as well as the most stable green dye (Gattens and Stout 1966). Due to its extensive use in many industries, the Cr2O3 presence in wastewaters is inevitable. Getting of poorly treated wastewaters containing chromium(III) oxide is highly harmful for aquatic organisms. Colourful substances inhibit the penetration of solar radiation into natural water deep layers and thus reduce the photosynthesis efficiency (Świderska-Bróż 1993). Moreover, Cr2O3 makes water turbid which causes that it can not be consumed by people. Removal of different chromium forms from sewages and wastewaters has been the subject of numerous scientific publications (Gupta and Rastogi 2009; Gupta et al. 2011). For example, the procedure of activated carbon production from tires (Gupta et al. 2013) and fertilizer plant wastes (Gupta et al. 2010) has been described. In previous years, our team has determined the poly(acrylic acid) flocculating ability for the chromium(III) oxide suspension (Wiśniewska and Szewczuk-Karpisz 2013).
This aim of this study was to assess S. meliloti 1021 EPS as a substance accelerating chromium(III) oxide removal from sewages and wastewaters. Experimental works (i.e., stability, EPS adsorption level, electrokinetic potential measurements and potentiometric titration) provided the results enabling determination of conditions under which EPS is the most efficient factor of Cr2O3 suspension destabilization. These results can promote development of innovative sewage and wastewater treatment procedures.
2 Experimental
2.1 Materials
2.1.1 Adsorbent
Chromium(III) oxide (POCh) with a surface area of 7.12 m2/g (BET method) was used as the adsorbent. Prior to the experiments metal oxide was washed to remove inorganic ions using doubly distilled water to achieve the supernatant conductivity of less than 3 mS/cm. Then the adsorbent was dried and crushed in a porcelain crucible.
2.1.2 Exopolysaccharide
Determination of the pK a value of Sinorhizobium meliloti 1021 exopolysaccharide. Dependence of solution pH value on the added base volume
Ratio of COOH groups concentration to COO− groups concentration in EPS molecule and their dissociation degree (α) as a function of solution pH value
| pH | [COOH]/[COO−] | α |
|---|---|---|
| 3 | 6.3 | 0.136 |
| 3.8 | 1 | 0.5 |
| 4.6 | 0.158 | 0.863 |
| 7.6 | 0.000159 | 0.9998 |
| 9 | 0.0000063 | 0.99999 |
2.2 Methods
2.2.1 EPS Isolation
S. meliloti 1021 was grown in 1 l of the liquid 79CA medium supplemented with succinate (Vincent 1970). The culture was grown for 48 h under continuous aeration by shaking (120 rpm) at 28 °C. The bacteria were removed from the medium and cooled by centrifugation (30 min, 9 000 rpm). The supernatant was concentrated using a vacuum evaporator and then the obtained concentrated liquid was dialyzed for 3 days by distilled water. EPS was precipitated from the concentrated liquid by adding 3 volumes of cold ethanol. EPS precipitate was resuspended in water and lyophilized.
2.2.2 Stability Measurements
Stability measurements of chromium(III) oxide suspension in the presence and absence of S. meliloti 1021 EPS were made using a turbidimeter Turbiscan Lab Expert with a cooling module TLAb Cooler. The suspensions were prepared by adding 0.02 g of chromium(III) oxide to 20 ml of supporting electrolyte solution (0.01 M NaCl). The suspensions containing EPS were prepared by adding an identical Cr2O3 portion to 0.01 M NaCl solution. Each suspension was sonicated for 3 min. After EPS addition (1 ppm) and suspension pH determination (3, 4.6, 7.6 or 9 ± 0.05) the stability measurement started.
2.2.3 Adsorption Measurements
To determine the concentration of S. meliloti 1021 EPS, the method developed by Dubois et al. (1956) was used. In brief, 5 ml of 95 % sulfuric acid and 50 μl of 80 % phenol were added to 2 ml of the polysaccharide solution at the same time. The intensity of the obtained colour was measured spectrophotometrically at a wavelength of 490 nm using a UV–Vis spectrophotometer Carry 100 (Agilent Technologies). The standard curve was prepared by measuring the absorbance of solution series with the EPS concentrations equal to 10, 30, 50, 70, 100, 150, 200 ppm.
Adsorption amount was determined by the difference in EPS concentration before and after the adsorption process. After preparing 10-ml solutions containing 0.01 M supporting electrolyte (NaCl) and the appropriate EPS amount that gave its final concentration equal to 10, 30, 50, 70, 100, 150 or 200 ppm, 0.05 g chromium(III) oxide was added to each of them. Solution pH was determined to be 3, 4.6, 7.6 or 9 using 0.1 M HCl and 0.1 M NaOH. Adsorption was carried out under continuous shaking (about 120 rpm) at 25 °C for 20 h (until the system equilibrium was reached). The adsorption time was determined on the basis of kinetic measurements, while the metal oxide sample weight was determined after taking into account its surface area. After adsorption completion suspensions were centrifuged (10 min, 4 000 rpm) and then polysaccharide concentration was determined in the supernatant. One result was the average of three measurements. The measurement error did not exceed 5 %.
2.2.4 Electrokinetic Measurements
Potentiometric Titration
Potentiometric titration was conducted under the thermostatic conditions (25 °C) using the 'titr_v3' computer program developed by W. Janusz and the apparatus consisting of: thermostat RE 204 (Lauda), glass and calomel electrode (Backman Instruments), pHmeter PHM 240 (Radiometer), automatic microburette Dosimat 765 (Metrohm) connected with the computer.
At first the supporting electrolyte (0.01 M NaCl) solution and the S. meliloti 1021 EPS solution with the concentration of 1 ppm were titrated. Next, the titrations of chromium(III) oxide suspension in the presence and absence of the bacterial polymer were conducted. To prepare suspensions 1.5 g metal oxide was used. EPS concentration in the examined suspensions was equal to 0.1, 1, 10 or 50 ppm. All systems were titrated with the 0.1 M NaOH solution.
Zeta Potential Measurements
Electrokinetic potential measurement started with the preparation of 500 ml chromium(III) oxide suspension by adding 0.03 g of solid to the solution containing 0.01 M supporting electrolyte (NaCl) and appropriate EPS amount giving its final concentration of 0.1, 1, 10 or 50 ppm. After 3-min sonication suspensions were poured into five Erlenmeyer flasks and their pH values were adjusted to 3, 4.6, 6, 7.6 and 9 ± 0.05. Then the zeta potential was measured using Zetasizer 3000 (Malvern Instruments); the apparatus was washed twice before each measurement. One result was the average of five measurements. The measurement error did not exceed 5 %.
In the same way, the zeta potential of chromium(III) oxide particles in the supporting electrolyte solution (0.01 M NaCl) without the bacterial polymer was measured.
3 Results and Discussion
3.1 Stability of Chromium(III) Oxide Suspension in the Absence and Presence of S. meliloti 1021 Exopolysaccharide
Transmission and backscatter curves for the systems: a Cr2O3 at pH 3, b Cr2O3–EPS at pH 3, c Cr2O3 at pH 4.6, d Cr2O3–EPS at pH 4.6, e Cr2O3 at pH 7.6, f Cr2O3–EPS at pH 7.6, g Cr2O3 at pH 9, h Cr2O3–EPS at pH 9. C EPS = 1 ppm, C NaCl = 0.01 M
The Turbiscan Stability Index (TSI) values for chromium(III) oxide suspension in the absence and presence of EPS (1 ppm) calculated on the basis of data obtained at 15 h using Eq. 3
| System | Turbiscan Stability Index | |||
|---|---|---|---|---|
| pH = 3 | pH = 4.6 | pH = 7.6 | pH = 9 | |
| Cr2O3 | 12.76 | 33.28 | 62.91 | 29.28 |
| EPS–Cr2O3 | 25.59 | 37.9 | 72.5 | 61.85 |
The average size of aggregates (flocs) in the suspension of chromium(III) oxide in the absence and presence of EPS (1 ppm) at 15 h
| System | Average size of aggregates (flocs) (μm) | |||
|---|---|---|---|---|
| pH = 3 | pH = 4.6 | pH = 7.6 | pH = 9 | |
| Cr2O3 | 0.077 | 0.506 | 0.529 | 0.127 |
| EPS–Cr2O3 | 0.0852 | 0.568 | 0.559 | 0.625 |
The analysis of the light transmission and backscatter graphs and the stability factor (TSI) values showed that the chromium(III) oxide suspension without S. meliloti 1021 EPS has the lowest stability at pH 7.6 (TSI = 62.91). What is more, the most stable is the Cr2O3 suspension at pH 3 (TSI = 12.76). At pH 4.6 and 9 the intermediate TSI results were found to be 33.28 and 29.28, respectively. Moreover, it was stated that in less stable systems larger aggregates are formed. The particle clusters of the largest diameter (0.529 μm) were observed in the suspension at pH 7.6, which had the lowest stability of all studied systems without polysaccharide. In turn, aggregates of the smallest sizes (0.077 μm) were present at pH 3 — the most stable system of all chromium(III) oxide suspensions without EPS.
Regardless of suspension pH value the bacterial polysaccharide addition results in the system stability decrease and the growth of TSI. The greatest stability coefficient value was found in the suspension at pH 7.6 (TSI = 72.5). But, the most pronounced decrease in the system stability is at pH 9. Under these conditions the polysaccharide addition caused the increase in the TSI values from 29.28 to 61.85, i.e., about 30 units. It is worth noting that in the suspensions containing S. meliloti 1021 EPS, the formed flocs were larger than in the systems without the polymer. For example, at pH 4.6 polysaccharide presence changes the solid clusters size diameter from 0.506 to 0.568 μm. The biggest difference in the aggregate (floc) sizes in the suspension with and without the EPS was observed at pH 9 (Δ = 0.498 μm).
3.2 Adsorption Amount of S. meliloti 1021 Exopolysaccharide on the Chromium(III) Oxide Surface
Calibration curve for Sinorhizobium meliloti 1021 exopolysaccharide
Adsorption isotherms of Sinorhizobium meliloti 1021 exopolysaccharide on the Cr2O3 surface at different pH
Analyzing the results it was found that the adsorption amount of S. meliloti 1021 EPS is largely dependent on solution pH. The largest amount of polymer adsorbed on the chromium(III) oxide particle surface was observed at pH 3. This is probably related to EPS macromolecule conformation and attractive electrostatic adsorbent–adsorbate interactions. Based on the results of the potentiometric titration it was calculated that the EPS pK a value is about 3.8. This means that in solution of such pH in the EPS macromolecules the number of dissociated carboxylic groups is equal to that of the undissociated carboxylic groups. At pH <3.8 in the EPS macromolecules COOH groups prevail, while at pH >3.8 COO− groups are dominant. At pH 3 the concentration ratio of COOH to COO− groups is 6.3. Therefore, it can be assumed that the relatively small number of dissociated carboxylic groups in adsorbate macromolecules contributes to their coiled conformation. Such packed polymer structure allows adsorption of a greater number of EPS macromolecules on a unit adsorbent area. Moreover, the previously made potentiometric titration showed that the zero point of the chromium(III) oxide surface charge (pHpzc) is 7.6, which is equivalent that at pH 3 the adsorbent surface is positively charged. Thus, under these conditions, electrostatic attraction between the polymer macromolecules and the metal oxide particles occurs, which further contributes to the highest adsorption level at pH 3.
At pH 4.6 the amount of adsorbed bacterial polysaccharide is less than at pH 3. Under these conditions electrostatic adsorbent–adsorbate attraction is weaker due to the lower density of solid surface charge. Furthermore, at pH 4.6 EPS dissociation degree (α) is 0.86, which means that undissociated carboxylic groups number in the polysaccharide macromolecules is small. The advantage of COO− groups in the polymer segments contributes to their mutual repulsion, which causes polysaccharide macromolecule expansion. Adsorption of these polymer chains is equivalent to the blocking of active sites on the adsorbent surface resulting in the decreasing of the EPS adsorption level.
At pH 7.6, the EPS adsorption amount is lower than at pH 4.6. Under these conditions the adsorbent surface has a zero charge (pHpzc) because the concentrations of positive and negative surface functional groups are equal. Therefore, there are no electrostatic interactions that could affect the adsorbed polymer amount. The observed adsorption level at pH 7.6 is primarily dependent on the EPS macromolecule structure. At such solution pH value, almost all carboxylic groups in the EPS macromolecules are dissociated (α = 0.99), which contributes to the occurrence of strong electrostatic repulsion between polymer segments. Macromolecules assume even more expanded conformation than it was at pH 4.6. This EPS structure causes that a single macromolecule takes even a larger part of the Cr2O3 surface during adsorption.
The minimum amount of bacterial polymer adsorbed on the metal oxide surface was found at pH 9. Under these conditions the EPS dissociation degree is equal to 0.99 and hence the macromolecule conformation at pH 9 is similar to that at pH 7.6. Moreover, at pH 9 the adsorbent surface is negatively charged which contributes to the electrostatic repulsion between the EPS macromolecules and the chromium(III) oxide particles. The above interaction is the main reason for reducing the adsorption level. It should be noted that under these adverse conditions a small amount of EPS is adsorbed on the Cr2O3 surface. It is evidence that in the system under examination the additional forces causing adsorption are present. They are so called hydrogen bonds which can form between the adsorbate carboxylic groups (both COOH and COO−) and all types of adsorbent surface groups (–CrOH, –CrOH2 +,–CrO−). These linkages are present in the analyzed system in the whole investigated pH range, which also indicates the specific nature of adsorption.
As follows from the analysis the EPS adsorption amount on the Cr2O3 surface increases with the concentration growth. It is related to different degrees of S. meliloti 1021 EPS polymerization. Thus, EPS molecular weight changes in a specific range. In the suspensions containing a small amount of bacterial polysaccharide practically all EPS macromolecules are adsorbed on the solid surface. With the increasing EPS concentration longer chains start displacing the shorter ones on the adsorbent surface. Macromolecules of higher molecular weight are characterized by a higher affinity for the active sites on the Cr2O3 surface. This affinity is probably due to the higher values of adsorption free energy of the EPS chains characterized by higher mass.
3.3 Surface Charge Density of Chromium(III) Oxide Particles in the Absence and Presence of S. meliloti 1021 Exopolysaccharide
Surface charge density of chromium(III) oxide particles in the absence and presence of Sinorhizobium meliloti 1021 exopolysaccharide
The obtained results showed that the chromium(III) oxide zero point charge (pHpzc) oxide is equal to 7.6. In the presence of the bacterial polymer this point is shifted to the acidic pH. When EPS with the concentration of 0.1 ppm is added to the suspension the pHpzc value is approximately 6.7. The EPS presence with the concentration of 50 ppm causes the metal oxide pHpzc change to approximately 5.9. Thus it can be concluded that the higher the bacterial polysaccharide concentration, the greater shift of the chromium(III) oxide pHpzc to the acidic pH values.
It was observed that the S. meliloti 1021 EPS adsorption on the chromium(III) oxide surface contributes to the reduction in the adsorbent surface charge in the entire pH range. Moreover, the greater the reduction, the higher the solution pH. The pH value increase results in the increasing number of undissociated carboxylic groups in the polysaccharide macromolecules. These COO− groups occurring in both solution layer indirectly adjoining to the solid surface and polymer segments not linked to the adsorbent (forming a loop and tail structures) are responsible for the metal oxide surface charge reduction. In addition, the above reduction becomes more pronounced with the increasing EPS concentration. It is associated with the previously mentioned displacement of macromolecules of lower molecular weight by macromolecules of higher molecular weight on the adsorbent surface. The longer polymer chains contain a greater number of functional dissociated groups than the shorter ones. During the adsorption EPS macromolecules of higher mass formed a layer involving more loops and tails rich in COO− groups. The participation of these structures in the adsorption layer in the case of short EPS chains adsorption is relatively smaller, which is reflected in a smaller reduction in the adsorbent surface charge.
3.4 Electrokinetic Potential of Chromium (III) Oxide Particles in the Absence and Presence of S. meliloti 1021 Exopolysaccharide
Zeta potential of Cr2O3 particles with and without Sinorhizobium meliloti 1021 exopolysaccharide
It was found that the chromium(III) oxide isoelectric point (pHiep), i.e., the pH value at which the number of positive and negative groups on the slipping plane is identical, is about 6. The bacterial polysaccharide addition causes the pHiep shift towards lower pH values. In the presence of EPS with the concentration of 0.1 ppm, the Cr2O3 isoelectric point value is about 5.75, and after the addition of 1 ppm EPS — about 3.5. High EPS concentrations (i.e., 10 and 50 ppm) affect the electrokinetic potential value so greatly that it is negative in the whole pH range.
The zeta potential decrease due to the S. meliloti 1021 EPS adsorption is primarily related to the slipping plane shift by loops and tails of the adsorbed polymer macromolecules. These structures are arranged perpendicularly to the adsorbent surface and contain many dissociated carboxylic groups, which will further affect the electrokinetic potential reduction. With the increase in the bacterial polysaccharide concentration, the decrease in the chromium(III) oxide particles zeta potential occurs. It is connected with the polymer chain conformation on the adsorbent surface. At higher EPS concentrations, polymer chains of the highest molecular weight adsorb on the Cr2O3 surface. Their macromolecules form loops and tails of greater lengths than the lower molecular weight macromolecules. This results in a stronger slipping plane shift, and thus lower ξ potential values. No difference in the Cr2O3 particles electrokinetic potential values in the EPS presence with the concentration of 10 and 50 ppm is probably connected with the adsorption of maximally long polymer chains and maximum slipping plane shift in both cases. Thus, at the EPS concentration equal to or above 10 ppm, the tail and loop structures of the adsorbed macromolecules have the largest size.
3.5 Stabilization/Destabilization Mechanism of Chromium(III) Oxide Suspension With and Without S. meliloti 1021 Exopolysaccharide
Stabilization and destabilization mechanism of chromium(III) oxide suspension in the absence and presence of S. meliloti 1021 EPS has been explained on the basis of the results from the following measurements: (1) adsorption amount, (2) electrokinetic potential, (3) stability and (4) potentiometric titration. Knowledge about this mechanism is needed to assess EPS as a substance that makes Cr2O3 removal from water and wastewater more efficient. Adsorption and electrokinetic properties as well as stability of the chromium(III) oxide suspension containing S. meliloti 1021 EPS have not been described in the literature yet.
The chromium(III) oxide suspension without EPS is characterized by the highest stability at pH 3. It is associated with formation of the barrier of chloride ions coming from the supporting electrolyte solution (NaCl) around each positively charged metal oxide particle. This structure prevents particle collisions and thus the aggregate formation. In addition, the suspension stability is provided by the particles electrokinetic potential which is approximately +40 mV at pH 3. The above zeta potential value favours mutual repulsion of chromium(III) oxide particles and thus makes the suspension stable. This phenomenon is defined as electrostatic stabilization.
At pH 4.6, the chromium(III) oxide suspension is less stable than at pH 3. This is probably due to the lower value of the adsorbent electrokinetic potential (about +20 mV), so that the electrostatic repulsion forces between metal oxide particles are correspondingly weaker.
At pH 9 the system has stability close to pH 4.6. Under these conditions the barrier of sodium ions coming from the supporting electrolyte solution (NaCl) is formed around the solid particles having a negative charge. The Cr2O3 zeta potential value is approximately −22 mV.
On the other hand, at pH 7.6 the chromium(III) oxide suspension without microbial EPS is greatly unstable. This is certainly due to the adsorbent zero surface charge which is conducive to particle collision and formation of rapidly falling down aggregates.
Regardless of solution pH, S. meliloti 1021 EPS adsorption lowers the stability of the chromium(III) oxide suspension. At pH 3 and 4.6, destabilization occurs due to the metal oxide positive charge neutralization by the adsorbed polymer chains. As mentioned in the previous section, the EPS pK a value is about 3.8, and its dissociation degrees at pH 3 and 4.6 are 0.14 and 0.86, respectively. Thus, at pH 3 the number of dissociated carboxylic groups is small, but sufficient to neutralize the particle surface charge. COO− groups interact with all positive groups on the adsorbent surface providing complete solid coverage by polymer and its maximum adsorption. At pH 4.6 the number of dissociated functional groups is higher, making the chromium(III) oxide surface charge neutralization more likely. Changes in the electrokinetic potential values are indicative of destabilization mechanism. A 1 ppm EPS adsorption shifts the Cr2O3 isoelectric point approximately to 3.5. This probably means that at pH 3 and 4.6 the particles cease to repel, which allows the sedimenting flocs formation.
At pH 7.6 and 9 the suspensions have the lowest stability of all systems under examination. In both cases practically all carboxylic groups in the polysaccharide macromolecules are dissociated. However, the metal oxide surface charge is zero at pH 7.6 and negative at pH 9 which make the system destabilization by adsorbent charge neutralization impossible. At pH 7.6 and 9 suspension destabilization is the result of polymeric bridge formation by the adsorbed EPS macromolecules. Due to the EPS high molecular weight (HMW EPS) polymer chains have a length sufficient for their simultaneous adsorption on at least two solid particles. This definitely favours formation of flocs of significant sizes, which quickly fall to the bottom of the measuring vial. Such system destabilization by polymer bridging is defined as the bridging flocculation. It is certainly desirable in procedures for water purification and wastewater treatment.
Destabilization mechanism of the Cr2O3 suspension by Sinorhizobium meliloti 1021 exopolysaccharide at pH: a 3, b 4.6, c 7.6, d 9. At pH 3 and 4.6 system destabilization is based on adsorbent charge neutralization by adsorbed macromolecules. At pH 7.6 and 9 there is bridging flocculation in the examined systems
4 Conclusions
In order to determine the flocculation properties of S. meliloti 1021 EPS and the conditions that would allow for more efficient removal of chromium(III) oxide from sewages and wastewaters using EPS, adsorption, zeta potential and stability measurements as well as potentiometric titration were performed. As follows from the analysis of results: (1) the EPS pK a is about 3.8, (2) the greatest EPS amount is adsorbed on the chromium(III) oxide surface at pH 3 and it decreases with the increasing pH, (3) EPS adsorption causes the Cr2O3 pHpzc and pHiep values shift to the acidic pH values, (4) the chromium(III) oxide suspension without the polymer is the most unstable at pH 7.6, i.e. under adsorbent zero surface charge conditions, (5) the Cr2O3 suspension with EPS is the most unstable at pH 7.6 and 9, which can be explained by bridging flocculation, (6) the biggest difference in the stability of the chromium(III) oxide suspension and aggregate (floc) sizes before and after the EPS addition was observed at pH 9.
References
- Bahlawane, C., Baumagarth, B., Serrania, J., Ruberg, S., & Becker, A. (2008). Fine tuning of galactoglucan biosynthesis in Sinorhizobium meliloti by differential WggR (ExpG)-, PhoB- and MucR-dependent regulation of two promoters. Journal of Bacteriology, 190, 3456–3466.CrossRefGoogle Scholar
- Dubois, M., Gilles, K. A., Hamilton, J. K., Rebers, P. A., & Smith, F. (1956). Colorimetric method for determination of sugars and related substances. Analytical Chemistry, 28, 350–356.CrossRefGoogle Scholar
- Gattens, R. J., & Stout, G. L. (1966). Painting materials: a short encyclopaedia. New York: Dover Publications.Google Scholar
- Gharzouli, R., Cerpene, M. A., Couderc, F., Benguedouar, A., & Poinsot, V. (2013). Relevance of fucose-rich extracellular polysaccharides produced by Rhizobium sullae strains nodulating Hedysarum coronarium L. legumes. Applied and Environmental Microbiology, 79, 1765–1776.CrossRefGoogle Scholar
- Gupta, V. K., & Rastogi, A. (2009). Biosorption of hexavalent chromium by raw and acid-treated green alga Oedogonium sp. from aqueous phase. Journal of Hazardous Materials, 163, 396–402.CrossRefGoogle Scholar
- Gupta, V. K., Rastogi, A., & Nayak, A. (2010). Adsorption studies on the removal of hexavalent chromium from aqueous solution using a low cost fertilizer industry waste material. Journal of Colloid and Interface Science, 342, 135–141.CrossRefGoogle Scholar
- Gupta, V. K., Agarwal, S., & Saleh, T. A. (2011). Chromium removal by combining the magnetic properties of iron oxide with adsorption properties of carbon nanotubes. Water Research, 45, 2207–2212.CrossRefGoogle Scholar
- Gupta, V. K., Ali, I., Saleh, T. A., Siddigui, M. N., & Agarwal, S. (2013). Chromium removal from water by activated carbon developed from waste rubber tires. Environmental Science and Pollution Research, 20, 1261–1268.CrossRefGoogle Scholar
- Janczarek, M., Mazur, A., Wielbo, J., Król, J., & Skorupska, A. (1999). Rhizobial exopolysaccharides: structures, biosynthesis and function in symbiosis. Postepy Mikrobiologii, 38, 217–244.Google Scholar
- Janusz, W., Kobal, I., Sworska, A., & Szczypa, J. (1997). Investigation of the electrical double layer in a metal oxide/monovalent electrolyte solution system. Journal of Colloid and Interface Science, 187, 381–387.CrossRefGoogle Scholar
- Lee, A. K., Lewis, D. M., & Ashman, P. J. (2009). Microbial flocculation, a potentially low-cost harvesting technique for marine microalgae for the production of biodiesel. Journal of Applied Phycology, 21, 559–567.CrossRefGoogle Scholar
- Lian, B., Chen, Y., Zhao, J., Teng, H. H., Zhu, L., & Yuan, S. (2008). Microbial flocculation by Bacillus mucilaginosus: applications and mechanism. Bioresource Technology, 99, 4825–4831.CrossRefGoogle Scholar
- Liu, Z. Y., Hu, Z. Q., Wang, T., Chen, Y. Y., Zang, J., Yu, J. R., Zang, T., Zang, Y. F., & Li, Y. L. (2013). Production of novel microbial flocculants by Klebsiella sp. TG-1 using waste residue from the food industry and its use in defecating the trona suspension. Bioresource Technology, 139, 265–271.CrossRefGoogle Scholar
- Minczewski, J., & Marczenko, Z. (1965). Analytical chemistry. Warsaw: PWN.Google Scholar
- Nwado, U. U., Agunbiade, M. O., Green, E., Nwamadi, M., Rumbold, K., & Okoh, A. J. (2013). Characterization of an exopolymeric flocculant produced by a Brachybacterium sp. Materials, 6, 1237–1254.CrossRefGoogle Scholar
- Pellock, B. J., Teplicki, M., Boinay, R. P., Bauer, W. D., & Walker, W. C. (2002). A LuxR homolog controls production of symbiotically active extracellular polysaccharide II by Sinorhizobium meliloti. Journal of Bacteriology, 184, 5067–5076.CrossRefGoogle Scholar
- Reinhold, B. B., Chan, S. Y., Reuber, T. L., Marra, A., Walker, G. C., & Reinhold, V. N. (1994). Detailed structural characterization of succinoglycan, the major exopolysaccharide of Rhizobium meliloti Rm1021. Journal of Bacteriology, 176, 1997–2002.Google Scholar
- Simsek, S., Ojanen-Reuhs, T., Stephens, S. B., & Reuhs, B. L. (2007). Strain-ecotype specificity in Sinorhizobium meliloti–Medigo truncatula symbiosis is correlated to succingoglycan oligosaccharide structure. Journal of Bacteriology, 189, 7733–7740.CrossRefGoogle Scholar
- Skorupska, A., Janczarek, M., Marczak, M., Mazur, A., & Król, J. (2006). Rhizobial exopolysaccharides: genetic control and symbiotic functions. Microbial Cell Factories, 16, 5–17.Google Scholar
- Świderska-Bróż, M. (1993). Water micropollutants and methods of their removal. Environmental Protection, 3, 23–28.Google Scholar
- Tong, Z., Zhe, L., & Huai-Ian, Z. (1999). Microbial flocculant and its application in environmental protection. Journal of Environmental Sciences, 11, 1–12.Google Scholar
- Vincent, J. M. (1970). A manual for the practical study of root nodule bacteria. International biological program handbook no. 15. Oxford: Blackwell Scientific Publications Ltd.Google Scholar
- Wang, L. X., Wang, Y., Pellock, B., & Walker, G. C. (1999). Structural characterization of the symbiotically important low-molecular-weight succinoglycan of Sinorhizobium meliloti. Journal of Bacteriology, 181, 6788–6796.Google Scholar
- Wiśniewska, M., & Szewczuk-Karpisz, K. (2013). Removal possibilities of colloidal chromium(III) oxide from water using polyacrylic acid. Environmental Science and Pollution Research International, 20, 3657–3669.CrossRefGoogle Scholar
- Yokoi, H., Natsuda, O., Hirose, J., Hayashi, S., & Takasaki, Y. (1995). Characteristics of a biopolymer flocculant produced by Bacillus sp. PY-90. Journal of Fermentation and Bioengineering, 79, 378–380.CrossRefGoogle Scholar
- Zhang, Z., Xia, S., Zhao, J., & Zang, J. (2009). Characterization and flocculation mechanism of high efficiency microbial flocculant TJ-F1 from Proteus mirabilis. Colloids and Surfaces B, 75, 247–251.CrossRefGoogle Scholar
- Zulkeflee, Z., Aris, A. Z., Samsuddin, Z. H., & Yusoff, M. K. (2012). Cation dependence, pH tolerance and dosage requirement of a bioflocculant produced by Bacillus spp. UPMB13: flocculation performance optimization through kaolin assays. The Scientific World Journal. doi: 10.1100/2012/495659.Google Scholar
Copyright information
Open Access This article is distributed under the terms of the Creative Commons Attribution License which permits any use, distribution, and reproduction in any medium, provided the original author(s) and the source are credited.







