A general argument against structured propositions
- 606 Downloads
Abstract
The standard argument against ordered tuples as propositions is that it is arbitrary what truth-conditions they should have. In this paper we generalize that argument. Firstly, we require that propositions have truth-conditions intrinsically. Secondly, we require strongly equivalent truth-conditions to be identical. Thirdly, we provide a formal framework, taken from Graph Theory, to characterize structure and structured objects in general. The argument in a nutshell is this: structured objects are too fine-grained to be identical to truth-conditions. Without identity, there is no privileged mapping from structured objects to truth-conditions, and hence structured objects do not have truth-conditions intrinsically. Therefore, propositions are not structured objects.
Keywords
Propositions Structure Graph theory Truth-conditions Unity1 Introduction
- (UNITY)
- a.
What holds the constituents of the propositions together?
- b.
How does a structured complex have truth-conditions?
- c.
Why does it seem that some constituents can be combined into a proposition and others can’t?
- a.
I shall here generalize the criticism directed at the ordered-tuple model or propositions, to argue that no entity can meet the requirements of being both a structured object and a proposition.2 In so doing, it will of course be crucial what is meant by ’proposition’ and what is meant by ’structure’. I shall say a little, but hopefully enough, about what propositions are, in the next section. I shall elaborate on what structure is in Sect. 3. In Sect. 4 I shall spell out the conditions for being a structured object, to a large extent by means of the account of structure in Sect. 3. The argument that is enabled by these accounts is offered in Sect. 5. The account is applied to King’s model in Appendix 1. Appendix 2 provides a proof for a central claim in Sect. 3.
2 Propositions
- (PROP)Propositions are
- (1)
the objects/contents of propositional attitudes: beliefs, desires etc;
- (2)
intrinsically bearers of truth-conditions3;
- (3)
the contents of assertions (and perhaps other speech acts);
- (4)
the meanings of meaningful (declarative) sentences (in context);
- (5)
the primary bearers of modal properties; being necessary or possible;
- (6)
the bearers of probabilities;
- (7)
the referents of that clauses.
- (1)
The second item is a little more technical, in two respects. The adverb ‘intrinsically’ is meant here to indicate that whether a proposition is true or false, in relation to Reality, or to a possible world, a world-time pair, or whatever the point of evaluation be, no arbitrarily selected third factor is needed: no interpretation, assignment, or projection that is it not privileged. If an interpretation or projection is privileged, then it is not chosen by stipulation, and it does not have alternatives that are equally good. This condition is clearly met if propositions simply are truth-conditions. More generally, we can say that for propositions to have truth-conditions intrinsically is for there to be a privileged, non-arbitrarily selected, universal function T such that for any proposition p, T(p) is the truth-condition of p. In case propositions simply are truth-conditions, T is the identity function.4
Since the requirement that there be a privileged function from propositions to truth-conditions will be central to the argument, some clarifications are in order. I will not claim that there are no functions from propositions\(^{*}\) (defined below) to truth-conditions. Plainly there are. The problem will be that there are many, and that none is privileged, i.e. none is determined as the right, or appropriate one. The idea of being a privileged function T is epistemic rather than metaphysical. I cannot rule out that there is an unknown or even unknowable metaphysical ranking among functions that makes some candidates better than others, even if we cannot understand why. But if there is one, it does not matter. What matters is that we can see a reason to rank some candidate function T above all others, and if we don’t know of any such reason for any candidate, no candidate is privileged, in this epistemic sense. This is precisely the sense, I take it, in which authors such as Bealer (1993, p. 22) have criticized the ordered tuple model of propositions: for all we can see, there is no good reason to identify an ordered tuple with one proposition rather than another, or a proposition with one tuple rather than another.
This is of course also the strategy in Benacerraf’s (1965) argument against identifying numbers with sets. I shall refer to arguments from the lack of a better candidate as Benacerraf-style arguments. In Sect. 5 I shall spell out exactly where we need to appeal to a Benacerraf-style argument.
I am not here going to argue that (PROP2) is an ingredient in our general concept of a proposition, but rather take that for granted. I am aware that it is a controversial idea that an entity can have truth-conditions intrinsically, independently of human activity, although it does depend on what we are prepared to regard as an entity. I assume in this paper that we can we speak of truth-conditions themselves as if they are entities.5
- (1)
If truth-conditions c are logically/analytically equivalent to truth-conditions d, then c is identical to d.6
The (PROP) list can be extended with more items of the kind bearers of F, where the noun F is related to a sentential context for that clauses. Thus (PROP) may contain too little to fully characterize propositions. It may also contain too much, in the sense that not all the items on (PROP) are uncontroversial. For instance, according to MacFarlane’s (2014) brand of relativism, a proposition and a world are not together enough to determine a truth value. Over and above the world, or world-time pair, or whatever objective reality contributes, a context of assessment is needed to determine the truth value of a proposition, provided it does have assessment-relative ingredients. The context of assessment does not, on MacFarlane’s account, constitute a factor that determines what propositions are, but is added on top of such factors for determination of truth value.
The current assumption will only be that (PROP2) does characterize propositions, together with (1). Since the argument will be negative, this will be enough for present purposes. I shall use ‘proposition*’ for propositions as characterized by (PROP2) and (1).
The second step of the strategy mentioned above is to consider independently specified candidates for being proposition*, i.e. for satisfying the functional role of propositions. I shall now exemplify this step with the most common type of proposal for structured propositions.
A standard approach to structured meanings is that of the set-theoretic construction of an ordered n-tuple \(\langle a_{1},\ldots ,a_{n} \rangle \). Ordered n-tuples can be defined in terms of unordered sets in several ways.7 What makes them ordered are their identity conditions: \(\langle a_{1},\ldots ,a_{m} \rangle \) is identical to \(\langle b_{1},\ldots ,b_{n} \rangle \) if, and only if, \(m=n\) and for \(1 \le i \le m\), \(a_{i}=b_{i}\). Hence, it matters to the identity of an ordered tuple where in the tuple an element a occurs (it can occur in more than one place).
On the ordered tuple-approach (see, for instance Cresswell 1985), the proposition that Rab is modeled, for instance, as the triple \(\langle R,a,b \rangle \), or the pair \(\langle R,\langle a,b \rangle \rangle \), where the latter itself has an ordered pair as its second element. On the first alternative, the proposition is a thought of as a triple where the first element, R, is a relation (in extension or in intension), and the two following arguments, a and b, are either individuals or intensions (individual concepts) of individuals.
Although this is only a hint of what a full theory of propositions along these lines would look like, it is enough to illustrate the problems that have been pointed out. Firstly, are ordered n-tuples plausible candidates for being objects of belief? As has been stressed many times, the answer is no. We don’t really understand what it would be to believe \(\langle R,a,b \rangle \), as little as we understand in general what it is to believe any particular set. One can of course add the explanation that to believe \(\langle R,a,b \rangle \) is just to believe that Rab. It is fine to add this explanation, but the problem is that it is needed. By adding this explanation we implicitly extend the meaning of ‘believe’ so that the expression ‘believe \(\langle x,y,z \rangle \)’ is understood as meaning the same as ‘believe that xyz’. This does not answer the question what it was to believe an ordered tuple in the first place, prior to the extension, only adds a stipulation concerning a new sense of ‘believe’.
This problem is clearly related to the second: what is it for a triple like \(\langle R,a,b \rangle \) to be true? Intuitively, we would think that \(\langle R,a,b \rangle \) is true just in case a is related by R to b. But, as has been pointed out many times, this is certainly not the only way to assign truth-conditions to \(\langle R,a,b \rangle \). We might also say that this triple is true just in case b is related by R to a. Or we could have some function f such that \(\langle R,a,b \rangle \) is true just in case f(a) is related by R to f(b), or yet something else altogether. The sky is the limit. The main point is that the predicate ‘...is true’ is not defined for ordered tuples, and although the meaning of the predicate can be extended to cover ordered tuples, this can be done in many different ways. None of these ways is privileged, whether or not selected by any feature of the tuples themselves as the right way. Hence, ordered tuples are clearly not intrinsically bearers of truth and falsity. We need to add something to make the connection, like a redefinition of ‘true’ or an assignment of a new significance to the ordered tuple operation. We can characterize such extensions as providing a function T from ordered tuples to truth-conditions, and the problem is that it is arbitrary which such function T to select.
We conclude that the ordered tuple version of structured meanings does not satisfy the functional properties of propositions. But maybe there are other versions of structured meanings that do. For instance, King (2007, 2014a, b) claims to have provided a model that does combine internal structure with intrinsic truth conditions. In this paper, I shall argue that no model of structured propositions can have intrinsic truth-conditions. I shall then turn to King’s proposal in the light of this argument (see Appendix 1).
It should be noted that it is not only significantly structured models of propositions that fail to satisfy (PROP2). The standard possible-worlds model, i.e. a set of possible worlds, fails as well. That a world w is a member of a set of worlds Q is an intrinsic property of Q, given the extensionality of sets. But that Q is true at w requires that we map the condition of membership on the condition of truth (usually effected indirectly in formal truth definitions). Typically, Q is taken to be true at w just in case \(w \in Q\), but this is clearly not the only possibility. The obvious alternative is to take Q to be true at w just in case \(w \notin Q\). This gives the dual of the standard notion. It is a more cumbersome and less natural alternative, but perfectly workable.8
3 Structure
I shall here suggest a formal framework for talking about structured entities. The most basic idea is that if an object is structured, then it has at least one proper part, i.e. distinct from the (main) object of which it is a part. An object that has a proper part is thereby complex. An absolutely unstructured object is simple. A minimally structured complex object is one where there are no relevant differences between the parts, and a maximally structured object is one where there are relevant differences between all the parts. The framework will allow a more precise characterization of partially structured objects.
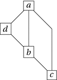
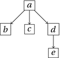
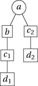
A basic, connected, and cyclic graph
The graph G in Fig. 1 is a labeled graph, in that the vertices carry labels (the letters), and it is connected graph, in that every vertex is reachable from every other along the edges. That is, we can define the transitive closure \(\mathbf {E}_{G}\) of \(E_{G}\), and every pair \((v_{i},v_{j})\) of distinct vertices in \(V_{G}\) is in \(\mathbf {E}_{G}\).10
G in Fig. 1 is also cyclic. That is, it contains at least one cycle, leading from a vertex v along edges in \(E_{G}\) back to v. That is, there is at least one vertex v (at least two in the case E is irreflexive) such that \(\mathbf {E}_{G}(v,v)\).
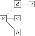
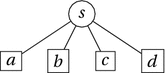
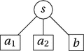
A basic tree
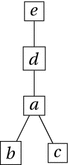
The same tree as in Fig. 2
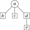
A basic rooted tree
A directed graph
In a directed graph G, the edge relation \(E_{G}\) is not symmetric, and if all edges are directed and there is only one edge between every two nodes, asymmetric, as in Fig. 5.
Here, we shall work with rooted trees, since it is natural to let the root represent the whole structured object itself, the edge relation a relation of immediate part of, and the non-root vertices the parts, immediate or mediate, of the whole object. We shall from now on take the edge relations to be asymmetric. With an eye to the intuitive part-of relation, we shall let the second argument of E be the one closer to the root. Therefore, if \(v_{0}\) is the root T, it holds that there is no \(v \in V_{T}\) such that \((v_{0},v) \in E_{T}\) [we shall sometimes write \(E_{T}(x,y)\)].
The structure of a graph is exactly what it has in common with any other graph that has the same structure. The relation of being same-structured is then more basic than the non-relational idea of a structure. Not surprisingly, two graphs G and H will be said to have the same structure iff they are isomorphic, i.e. iff there is an isomorphism between G and H.
A special class of bijections are permutations, i.e. 1–1 functions \(f: V_{G} \longrightarrow V_{G}\), from a vertex set onto itself. A permutation that is also an isomorphism from a graph to itself is called an automorphism. That is, f is an automorphism iff it holds for any \(v_{i},v_{j} \in V_{G}\) that \(E_{G}(f(v_{i}),f(v_{j}))\) iff \(E_{G}(v_{i},v_{j})\).
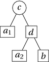
An automorphism of course maps the root on itself. In general, we shall say that a permutation f on the vertex set of a rooted tree T is root invariant iff \(f(v)=v\) in case v is the root of T. We can define a function \(F_{f}\) on trees in terms of a root-invariant permutation f such that where \(T=(V_{T},E_{T},v)\), \(F_{f}(T)\) is defined to be \((f(V_{T}),f(E_{T}),f(v))=(V_{T},f(E_{T}),v)\). Here \(f(E_{T})=\{(f(v_{i}),f(v_{j})): (v_{i},v_{j}) \in E_{T}\}\). To exemplify, let T be the tree of Fig. 4, and let f be the permutation that is the identity function on all vertices except that \(f(e)=b, f(b)=e\). Then \(f(E_{T})\) is the set \(\{ea, ca, da, bd\}\). f is here not an automorphism, since \((b,a) \in E_{T}\) but \((f(b),f(a))= (e,a)\), and \((e,a) \notin E_{T}\). Now, in the case a permutation f is an automorphism, then \((f(v_{i}),f(v_{j})) \in f(E_{T})\) iff \((v_{i},v_{j}) \in E_{T}\) (by the definition of F), which holds iff \((f(v_{i}),f(v_{j})) \in E_{T}\) (since f is an automorphism). Hence, \(f(E_{T})=E_{T}\). So, in case f is an automorphism, the corresponding \(F_{f}\) is the identity function on rooted trees.
A minimally structured rooted tree
A maximally structured rooted tree
There are intermediately structured graphs. For instance, the tree in Fig. 4 admits as automorphisms both the identity function and the function f which is like the identity function except that \(f(b)=c,f(c)=b\), but no other root-invariant permutation is an automorphism on this graph. In general, we can say that a graph G is more structured than a graph \(G'\) iff the proportion of automorphisms among the permutations of G is lower than that of \(G'\).
To be clear, that a graph G is maximally structured does not entail that G is very complex (a rooted tree with only one other vertex is maximally structured), nor does it entail that G has as much structure as a graph can have. We can always add other features, like a second edge relation, or an additional order between vertices (see below). There is no upper limit to what can be added to make graphs more structurally complex.
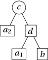
To say that a graph G is maximally structured, in the present sense, is to say that every vertex in G can be identified by its position in G, i.e. by which other vertices it is related to. In Fig. 7, a is uniquely identified by being the root, b by being the only vertex related to the root, and c by being the only non-root not related to the root. In Fig. 4, d is the only vertex both related to the root and to a second vertex, but b and c have the same edge properties, and cannot be distinguished except by the labels.
Isomorphic graphs are identical except for the labels, which in a sense are arbitrary. We can therefore regard a labeled graph as simply representing the structure that is shared with the graphs it is isomorphic to. We can also extend the isomorphism relation to hold between graphs and other complex entities that have parts according to some relevant part-whole relation. This was already exemplified above with an unordered set s, in Fig. 6. Putting these two ideas together, we can speak of some particular graph as the structure of a complex object to which it is isomorphic. As will be spelled out below, this will allow us to speak of structured objects more generally, without having to rely on any particular kind of objects, like ordered tuples.
For the structured objects we are interested in, however, of a representational kind, we need two additional features of graphs. The first is that of ordering. In a rooted tree, if a is edge-related to b, and b is closer to the root (or is the root), a is said to be a daughter of b and b the mother of c. If both b and c are daughters of one and the same vertex, b and c are said to be sisters. Thus, a–d are sisters in the tree of Fig. 6.
In an ordinary rooted tree, the sister relation is unordered. In an ordered tree, there is an ordering relation \(\prec \) between sister vertices. An ordered (hence rooted) tree T is therefore a quadruple \(T=(V_{T},E_{T},\prec _{T},v)\). We write \((a,b) \in \prec _{T}\) as \(a \prec _{T} b\), or simply as \(a \prec b\) if the context is clear. An ordinary rooted tree is the special case where \(\prec \) is empty. The definition of an isomorphism must also be extended. For ordered trees we must in addition to the previous conditions add that f is an isomorphism between T and U only if it holds that for any vertices \(v_{i}, v_{j}\) of T it holds that \(v_{i} \prec _{T} v_{j}\) iff \(f(v_{i}) \prec _{U} f(v_{j})\).
An ordered tree
Th ordered tree T of Fig. 8 is fully structured. The function f that interchanges b and c is not an automorphism, because it does not preserve the vertex ordering: \(b \prec _{T} c\) but \(f(b) \not \prec _{T} f(c)\).
- (1)
John likes Mary and Mary likes Bill.
- (2)
\(\langle a,b \rangle =_{\text {def}} \{\{a\},\{a,b\}\}\).
In the case of entities with a type-token distinction, we can briefly characterize the ontology of occurrences by saying that the number of occurrences of x in the type y is exactly the number of tokens of x in any one token of y. Thus, any token of (1) contains two tokens of ‘Mary’. We can specify them by talking of the first occurrence and the second occurrence of ‘Mary’ in (1), but this only works as long as we have a linear order. In more complex cases we will have to be able to specify the position of the occurrence in the structured abstract type, but this in turn only works if we already possess tools for specifying the structure, for instance by means of syntactic trees or grammatical terms, which allow you to identify the position of an occurrence.11
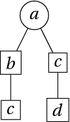
Failure of transitivity
There are two ways to handle this problem. The first is to simply treat the concept of an occurrence as primitive, and accept an ontology of occurrences as basic. Every occurrence is an occurrence in a type. Every type a occurs exactly once in the type a itself. Only abstract types can contain more than one occurrence of anything. If a physical or mental entity has parts, those parts have only one occurrence in that entity. One can introduce a function O from occurrences of objects to the objects they are occurrences of. As long as there is only one occurrence of an object, one can simplify the presentation by speaking simply of the object itself.
On this alternative, one treats the parthood and ordering relations on parts as relations over occurrences. In the tree of Fig. 9, (the occurrence of) d is part of an occurrence of c and an occurrence of c is part of (the occurrence of) b, but since these are different occurrences of c, there is no violation of transitivity in the fact that d is not part of b.
The second alternative is to restrict labeled trees the following way: whenever a tree contains two vertices with the same main label, these two vertices have both different indices and isomorphic sub-trees where corresponding vertices also have the same label. With this restriction, the tree in Fig. 9 is not admissible. The proper version is given in Fig. 10.
Transitivity restored, from Fig. 9
The restriction is well motivated in the sense that our ordinary conception of abstract objects is such that wherever a complex object occurs, it does occur with occurrences of its parts; they are part and parcel of it.
A tree with “double” vertices
A tree with multiple labels
Now we can introduce the idea of letting the main label indicate what object a vertex represents. That is, two vertices with the same main label, such as \(a_{1}\) and \(a_{2}\) in the tree in Fig. 12, will represent the same object. In addition, let the edge relation in this tree represent the element relation \(\in \). Then d represents the set \(\{a,b\}\), and c represents the set \(\{a,\{a,b\}\}\).
Multi-labeled trees are still trees of the familiar kinds in the sense that each complex or simple label (without index) still is unique to a vertex. However, adding the feature of sharing main label amounts to adding a one-place property of vertices that provides a new structural dimension. We shall include the ingredient of a labeling function L in the definition of a multi-labeled tree. For instance, \(L(a_{2})= `a\)’ in Fig. 12.
- (MLTree)An ordered (rooted) multi-labeled tree T, or ML tree, is a tuplewhere \(V_{T}\) is the vertex set of T, \(E_{T}\) the edge relation, \(\prec _{T}\) the ordering relation between sister vertices, \(L_{T}\) the labeling function, assigning labels to vertices, and v the root of T.$$\begin{aligned} (V_{T},E_{T},\prec _{T},L_{T},v) \end{aligned}$$
- (MLIso)
Given two ML trees \(T=(V_{T},E_{T},\prec _{T},L_{T},v_{0})\) and \(U=(V_{U},E_{U},\prec _{U}, L_{U},u_{0})\), the function \(f: V_{U} \longrightarrow V_{T}\) is an (ML) isomorphism iff f is a bijection and
- (i)
\(f(u_{0})=v_{0}\).
- (ii)
For all \(u_{k},u_{l} \in V_{U}, E_{U}(u_{k},u_{l})\) iff \(E_{T}(f(u_{k}),f(u_{l}))\).
- (iii)
For all \(u_{k},u_{l} \in V_{U}, u_{k} \prec _{U} u_{l}\) iff \(f(u_{k}) \prec _{T} f(u_{l})\).
- (iv)
For all \(u_{k},u_{l} \in V_{U}\), \(L_{U}(u_{k})=L_{U}(u_{l})\) iff \(L_{T}(f(u_{k}))=L_{T}(f(u_{l}))\).
The result of a label-preserving permutation
- (SubTree)
Given a rooted ordered tree T with root \(v_{0}\), the subtree U determined by the vertex \(u \in V_{T}\) is a rooted tree with root u such that \(V_{U}=\{u\} \cup \{v \in V_{T}: \mathbf {E}_{T}(v,u)\}\) and such that for all \(v_{i},v_{j} \in V_{U}\): \(E_{U}(v_{i},v_{j})\) iff \(E_{T}(v_{i},v_{j})\), and \(v_{i} \prec _{U} v_{j}\) iff \(v_{i} \prec _{T}v_{j}\).
- (STree)
An S-tree T is an ML tree such that for any two distinct vertices \(v_{i},v_{j} \in V_{T}\) it holds that if \(L_{T}(v_{i})=L_{T}(v_{j})\)
- (i)
There is an ML isomorphism f between the subtree \(T_{i}\) determined by \(v_{i}\) and the subtree \(T_{j}\) determined by \(v_{\!j}\) such that for any vertex \(v_{k} \in V_{T_{i}}\) it also holds that \(L(f(v_{k}))=L(v_{k})\)
- (ii)
There is no vertex \(v_{k} \in V_{T}\) such that \(E_{T}(v_{i},v_{k})\) and \(E_{T}(v_{j},v_{k})\).
- (STRUC)
Let A be a complex object, R be a part-whole relation on A, and \(R^{*}\) the transitive closure of R on A. Let \(A^{*}\) be the set of objects standing in \(R^{*}\) to A (the direct and indirect parts of A, including A). Let S be a partial ternary relation on \(A^{*}\) such that for any \(a,b,c \in A^{*}\), if S(a, b, c), then R(b, a) and R(c, a) and not S(a, c, b); that is, S is asymmetric in its second and third arguments. Let \(T=(V_{T},E_{T},\prec _{T},L_{T},v_{0})\) be an S-tree. We say that, up to isomorphism, T is the structure of A iff there is a surjection r from \(V_{T}\) onto \(A^{*}\) such that
- (i)
For any \(v \in V_{T}, r(v)=A\) iff \(v=v_{0}\)
- (ii)
For any \(v_{i},v_{j} \in V_{T}\), \(r(v_{i})=r(v_{j})\) iff \(L(v_{i})=L(v_{j})\)
- (iii)
For any \(v_{i},v_{j} \in V_{T}\), if \(E_{T}(v_{i},v_{j})\), then \(R(r(v_{i}),r(v_{j}))\); and for any \(a,b \in A^{*}\) such that R(a, b), there are \(v_{i},v_{j} \in V_{T}\) such that \(r(v_{i})=a, r(v_{j})=b\) and \(E_{T}(v_{i},v_{j})\)
- (iv)
For any \(v_{j},v_{k} \in V_{T}\), if \(v_{i} \prec _{T} v_{j}\), then there is a vertex \(v_{i} \in V_{T}\) and a part \(a \in A^{*}\) such that \(E_{T}(v_{j},v_{i})\), \(E_{T}(v_{k},v_{i})\), and \(S(r(v_{i}),r(v_{j}),r(v_{k}))\); and for any any \(a,b,c \in A^{*}\) such that S(a, b, c), there are vertices \(v_{i},v_{j},v_{k} \in V_{T}\) such that \(r(v_{i})=a, r(v_{j})=b, r(v_{k})=c\), \(E_{T}(v_{j},v_{i})\), \(E_{T}(v_{k},v_{i})\), and \(v_{i} \prec _{T} v_{j}\).
Fact 1
Given a tree \(T=(V_{T},E_{T},\prec _{T},L_{T},v_{0})\) that by (STRUC) is the structure of a complex object A, and and a tree \(U=(V_{U},E_{U},\prec _{U},L_{U},u_{0})\), U is the structure of A iff T and U are isomorphic.
The left-to-right and right-to-left parts of this fact are stated separately and proved in Appendix 2.
- (Recipe)
For a complex object A, assign a representation of A as the label of the root; given a label ‘\(v_{i}\)’ of a vertex representing a part \(a_{i}\) of A, for an immediate part of \(a_{i}\), assign a label ‘\(v_{j}\)’ to the corresponding daughter of \(v_{i}\); make sure to use the same main label with a new index for any new occurrence of one and the same part. For a new vertex \(v_{n}\) with the same label as a previous vertex \(v_{m}\), copy the entire subtree of \(v_{m}\) as the subtree of \(v_{n}\), assigning the same main label to corresponding vertices. Continue until all occurrences of all parts of A are represented on the tree.
Applying the recipe to \(\{a,\{a,b\}\}\)
As the exercise has illustrated, we needed no more information than the specification of the object itself: the relevant part-of relation (\(\in \)), and the instances of this relation in the object: the immediate elements, their respective immediate elements, and so on, until the simple elements. This recipe does result in an S-tree that is unique up to isomorphism.
4 Structured and unstructured objects
Since the structure of a structured object, as far as it can be represented by S-trees, is unique up to isomorphism, and since nothing more than a specification of the intrinsic properties of the object are needed to generate an S-tree that is its structure, we can say the following: there is (given a domain of structured objects) a general function S that maps any structured object o on the isomorphism class \(S_{o}\) of trees that are the structure of o.
This highlights a particular property of structured objects: they are intrinsically structured. Being structured is not a relational property. A non-empty set is intrinsically structured, in that, by the extensionality of sets, it is part of the conditions of identity of that particular set that it has those particular parts, and that the relevant parthood relation of the set is the element-of relation.12 Note that it is not in virtue of a relation to S-trees that an object is structured, but it is in virtue of its intrinsic properties that it stands in a relation to S-trees: it is the definition of structure that is given in terms of S-trees.
As will become important later on, if a complex object is specified in part by way of representational properties of its parts, i.e. by way of relational properties, this object is not a structured object in the present sense. What the representative part-of relation consists in for that object, is not transparent, or intrinsic to the object. This fact again highlights a crucial property of S-trees (and graphs in general): that the edge relation is neutral. This is precisely why the tree can be said to be the structure of a structured object: the same S-tree can be the structure of distinct complex objects, even objects with different part-of relations.
A little family tree
Perhaps a structured proposition?
We are now ready to pose the question: Can propositions* be structured objects? After all, we can represent the apparent structure of a proposition* that Rab as in Fig. 16. There is, after all, nothing wrong with the tree in Fig. 16. The root does represent a proposition*, the proposition that Rab, and the labels of the leaves represent what we easily can think of as the “parts” of this proposition.
As we have just seen, however, the fact that we can represent a proposition, together with elements from which it is intuitively formed, by means of an S-tree, this does not entail that the proposition* is a structured object. It is a structured object only if the edge relation of the tree represents (or can represent) a part-of relation. However, all we know from the adequacy of the tree in Fig. 16 is that there exists some function P from conceptual elements to propositions such that P(R, a, b) is exactly the proposition* that Rab. The edge relation of the tree then represents the relation between the arguments, in left-to-right order, and the value, of the P function. This does not show that the value is a structured object with arguments of the function as parts, nor indeed a structured object at all.
In a sense, the situation is even worse, for the value of a function for some particular argument or arguments necessarily underdetermines the function and argument(s). The number 5 is the value of any number of functions on various number arguments, such as \(2+3\), \(12-7\), and 10 / 2. The notation ‘f(a)’ gives the impression of having a determination of both function and argument, whereas what is denoted is just the value, which is equally well the value g(b), etc.
Dummett claims that we cannot understand a sentence except by understanding its syntactic constituents and the way they are combined. Against that background, Dummett argues in the quoted passage, the sense of a predicate cannot be a function that maps the sense of a term on the sense of the sentence that is formed from combining the term and the predicate. For, in order to know which function that is, I would need to know what value it gives for term-senses as arguments. But since I need to know that predicate sense first in order to know the sentence sense, i.e. the value of the function, if the sense is the function itself, I need to first know the function in order to know the function. There is thus a circularity, framed in terms of understanding a sentence.On the model of sense considered in Chapter 7, the sense of a predicate is the criterion for recognizing that the predicate applies to a given object. The thought expressed by the sentence which results from putting a proper name in the argument-place of the predicate is: that the criterion may be recognized to be fulfilled for an object which has been recognized as the bearer of the name. Now the sense of the predicate does indeed determine, for any name whose sense is known, what thought is expressed by the sentence which results from filling the argument-place of the predicate with that name. But the sense of the predicate cannot be thought of as being given by means of the corresponding function, because if we did not already know what the sense of the predicate was, we could not know what was the thought which was the value of the function for the sense of some name as argument (Dummett 1973, p. 293).
The corresponding circularity comes out directly, without appeal to understanding, if we think of the thought/proposition as structured. For if the sense of a predicate F is a function f that, for the sense of a term t as argument, gives the sense of the sentence Ft as value, then this sense cannot also be a structured object that contains f as a part, for f would then be defined partly in terms of itself.
Of course, we can accept a proposition as having parts provided the function that maps the parts on the proposition is not itself a part of the proposition. For instance, letting \( \llbracket \cdot \rrbracket \) be the sense function, assume that there is a function f that maps the sense of F and the sense of t on the sense of Ft. As long as the f is distinct from the sense of F (and from the sense of t), this is not circular. However, in this case, the underdetermination kicks in. For nothing says that \(f(\llbracket F \rrbracket ,\llbracket t \rrbracket )\) is not equal to \(g(\llbracket G \rrbracket ,\llbracket u \rrbracket )\), for some function g, predicate G and term u, or from the sense of some completely different function applied to much more complicated arguments. With such underdetermination, we cannot infer from the proposition \(\llbracket Ft \rrbracket \), even if it has parts, what the relevant conceptual elements are that were mapped on it. Since the function f is not determined by \(\llbracket Ft \rrbracket \), we cannot rule out that what is relevant for interpretation in some particular case is really g, \(\llbracket G \rrbracket \) and \(\llbracket u \rrbracket \) instead.
If we now try to stick f into the proposition as a part, in order fix the function, then again, either f would be defined in terms of itself, and hence the circularity is back, or else we would need a distinct function h that maps \(\llbracket F \rrbracket \), \(\llbracket t \rrbracket \), and f, on some complex that has all three arguments as parts, but then h would not be determined by this complex, and hence we are back to underdetermination. We seem to be stuck in a dilemma where underdetermination and circularity are the horns, and both are unacceptable.14
This cannot be the whole story, however, for it seems to rule out structured objects altogether. It seems to rule out \(\{a,b\}\), since \(\{\cdot \}\) would need to be construed as a function that maps a and b on \(\{a,b\}\), and therefore it would already need to be determined what \(\{a,b\}\) is for the function to be defined, even though in this case, the function is not itself an element.
There are (at least) two ways of resolving this apparent problem. The first way is the way of axiomatic set theories, like ZFC. On this approach, we already assume a domain of sets over which we can quantify, and over which the relation \(\in \) is defined. This domain has certain closure properties. For instance, if a and b are sets, then, according to the Axiom of Pairing, there is a set c such that any element of c is either a or b. c is thus a set that essentially has a and b as its only members. We can regard it as structured. And we can regard \(\{\cdot \}\) as a function that maps a and b on c. Alternatively, the notation ‘\(\{\cdot \}\)’ can be given a contextual definition, which allows its elimination from any true sentence of ZFC.
The second way is to think of \(\{\cdot \}\) as a primitive operation of collecting objects into sets of objects, an operation that is part of defining a domain of objects (like the successor operation in arithmetic) as distinct from functions that are defined (e.g. by recursion) over a domain already given. On this view, the set \(\{a,b\}\) is essentially formed from a and b by \(\{\cdot \}\). This operation is not defined by what values it gives to which arguments, but must be understood intensionally, prior to providing the result of an application.
Both these approaches are applicable in the case of propositions. On the first alternative, then, we can assume an already given domain of structured propositions, and a function P that maps conceptual constituents on such propositions. The problem with this approach is that if there is one such function, there are many (\(P_{1}, P_{2}, \ldots \)). For any structured proposition p there will be many such functions that give p as value for various conceptual constituents as arguments. A proposition p does not fix any of these functions as privileged. In short, there is underdetermination. If the meaning \(\llbracket Ft \rrbracket \) of the sentence Ft is a structured proposition, we cannot rule out that this structured proposition has \(\llbracket G \rrbracket \) and \(\llbracket u \rrbracket \) as parts. Again, you cannot solve it by sticking a functionf as an additional part of the proposition, for on pain of circularity, the function that maps the parts on the proposition must be distinct from f.
Perhaps a structured proposition?
On the assumption of a primitive proposition-forming operation P, there is no underdetermination. P(R, a, b) essentially is the object formed by P from R, a, and b, in that order. For no other arguments does P give P(R, a, b) as value. Neither is there circularity, for P, on this suggestion, is not defined extensionally, in terms of arguments and values, but intensionally as a primitive operation that we know prior to its application. We may ask what the edge relation in \(T_{17}\) corresponds to in this case, i.e. what the relevant part-of relation is, and the answer could be that it is the relation conceptual-constituent-of. Maybe we don’t have to understand what that more exactly amounts to for accepting it as potentially a reasonable answer.
So, from an ontological point of view, there seems to be room for a category of structured propositions. Let’s call them P-propositions. The question is whether they can be propositions*.
5 Are P-propositions propositions*?
The defining characteristic of propositions*, from Sect. 2, was that propositions* intrinsically have truth-conditions. And this in turn means that there is a privileged function T that maps propositions on their proper truth-conditions, where T might be identity.
We shall proceed by stipulating some restrictions on and ranking principles over candidates for T. Firstly, we shall require that T be recursively specifiable. Here this will mean two things: that the value of T for a P-proposition p shall depend uniformly on the structure of p, and that if p if has one or more P-propositions \(q_{1},\ldots ,q_{n}\) as proper parts, the value of T for p depends (uniformly) on the value of T for \(q_{1},\ldots ,q_{n}\). Here we shall spell out only the atomic case, where the immediate parts of p are a relation and individual concepts. The recursive step for complex P-propositions is not needed for the argument below.
Secondly, we shall require that T be surjective: every proposition\(^{*}\) is the value of T for some P-proposition.
Thirdly, we shall require that the value of T for a P-proposition p depend only on the constituents of p, i.e. not on concepts that are constituents in other P-propositions but not in p.
Fourthly, we shall require that T be as simple as possible. In general, simplicity should here be cashed out in terms of the recursive definitions, and it will induce a partial order on the domain of functions from P-propositions to propositions\(^{*}\). In this context, however, we only need to care about the absolutely simplest functions: the identity function Id and the constant functions, i.e. functions which give the same value for all arguments. We can observe immediately, that T cannot be constant function, since that violates the second requirement that T be surjective, given that there are more than one proposition\(^{*}\).
- (T-Rest)
- (i)
For each n there is a function \(i_{n}\) such that, where p is \(P(R^{n},a_{1},\ldots ,a_{n})\), T(p) is that \(R^{n}(a_{i_{n}(1)},\ldots , a_{i_{n}(n)})\)
- (ii)
If possible, T is Id.
- (i)
(T-Rest-i) is also motivated in part by the requirement that T be surjective. Since the orders between the arguments to the n-place relation is 1–1 correlated with the orders between the constituents of the corresponding P-propositions, every proposition\(^{*}\) formed from an n-ary relation and n arguments, hence every atomic proposition, will be in the range of T.
In addition, (T-Rest-i) is partly motivated by the third requirement that the value of T depend only in the constituents of p, a condition that is clearly met.
Finally, (T-Rest-i) is partly motivated by simplicity: even if T is not identity, no function is involved in defining T for atomic P-propositions other than that of selecting the arguments to P and applying one of them to the rest.
Perhaps a structured proposition?
Now, suppose that P(R, a, b) is identical to the truth-conditions that Rab and that \(P(R^{\prime },b,a)\) is identical to the truth-conditions that \(R^{\prime }ba\). By assumption, these truth-conditions are logically/analytically equivalent, and then by the (1) principle, they are identical. Since the two P-propositions are not, they cannot both be identical the corresponding truth-conditions.
Perhaps a way out is to say that P(R, a, b) is identical to the truth-conditions that Rab while \(P(R^{\prime },b,a)\) is identical to the truth-conditions that \(R^{\prime }ab\). This avoids the contradiction. It is of course completely ad hoc. But worse, the move is not even applicable in more complex cases.
- (3)
\( R_{1}(a,b,c) \quad \text {iff} \quad {\left\{ \begin{array}{ll} R_{2}(a,c,b)\\ R_{3}(b,a,c)\\ R_{4}(b,c,a)\\ R_{5}(c,a,b)\\ R_{6}(c,b,a) \end{array}\right. }\)
This leaves us with the option of a many-one function T from P-propositions to truth-conditions. For instance, T could map both \(P(R_{1},a,b,c)\) and \(P(R_{2},c,a,b)\) on the truth-conditions that \(R_{1}(a,b,c)\). The problem now is that there are several equally good candidates for such a function T. For any permutation \(\pi \) on ordered triples, the function \(T_{\pi }=\ \text {that } \ R(a_{\pi (2)},a_{\pi (3 )},a_{\pi (1)})\) satisfies (T-Rest-i). Hence, assuming that (T-Rest) is both a necessary and sufficient condition, there is more than one optimal function, and hence no uniquely privileged one.
The remaining option [short of rejecting (T-Rest-i)] is to suppose that we could add a further requirement that would distinguish between the \(T_{i}\):s. We could imagine an additional restriction that would select the identity permutation \(\pi _{1}\) above the others, thus making \(T_{1}(P(R,a,b,c))=\ \text {that } \ Rabc\) the privileged function. But over and above an intuitive naturalness, there is, or seems to be, no mathematical reason for ranking \(T_{1}\) above the other candidates. It is not simpler in a computational sense and does not satisfy (T-Rest-i) in any higher degree otherwise. Thus, by appeal to the Benacerraf-style argument of Sect. 2, neither \(T_{1}\), nor any of the other \(T_{i}\):s is privileged. Hence, given the requirements, there is no privileged function from P-propositions to proposition\(^{*}\).
The upshot is that P-propositions do not satisfy the condition of having intrinsic truth-conditions, (PROP2). Therefore, P-propositions are not propositions*. And therefore, again, propositions* are not structured . Structured objects are too fine-grained to be identical to truth-conditions, and as long as they are not, there is in general no privileged way assigning truth-conditions to them.
Footnotes
- 1.
King states the question specifically with respect to his own theory and his own example. I have changed the formulations to abstract from that.
- 2.
I want to declare at the outset that I am not against structured meanings. In fact, I think that both structured and unstructured meanings are needed for a full account of language and communication, e.g. in the semantics for belief sentences. I have in earlier work already combined structured and unstructured meanings (Pagin and Pelletier 2007; and more is in preparation). It is just that I think that propositions belong to the unstructured side, given their essential characteristics.
- 3.
Some stress that propositions are the primary bearers of truth and falsity, or of truth-conditions, but this issue is immaterial in the present context.
- 4.
You might think that it is enough that for each proposition p there is a function \(T_{p}\) that maps p on its proper truth-conditions, but that there need not be a universal function that works for all propositions. But either \(T_{p}\) is not determined by p itself, in which case there is then no privileged function, or else \(T_{p}\) is determined by p and the value of some general function U from propositions to functions, and we define T so that for any proposition q, \(T(q)=(U(q))(q)\).
- 5.
King (2009, pp. 259–60) says that he cannot see how “how propositions or anything else could represent the world as being a certain way by their very natures and independently of minds and languages”. This is not a topic for the present paper. I argue that nothing that does have truth-conditions intrinsically is a structured object, and this is claimed to hold whether there are such things—propositions*—or not (trivially if not).
- 6.
I don’t mean by this notation that truth-conditions are individuals, and that is also why I don’t here use ‘\(=\)’. However we elect to treat truth-conditions ontologically, identity must satisfy reflexivity and (a counterpart to) Leibniz’s law in reasoning about them.
- 7.
Standardly, \(\langle a,b \rangle \) is defined as \(\{\{a\},\{a,b\}\}\).
- 8.
Do the characteristic functions, i.e. functions from worlds to truth values, fare better? Analogously, we need to stipulate conditions for functions to be true, and the non-traditional conception that takes a function as true at w iff it maps w on 0, or on Falsity, or \(\bot \), is perfectly coherent. In additions, there is a problem with (PROP1), both for sets and functions, for it is not clear what it consists in to believe a set or a function. Again, you can stipulate what it should amount to, but that wouldn’t answer the question what it does amount to before the stipulation.
- 9.
Chartrand and Zhang (2012).
- 10.
The transitive closure \(\mathbf {R}\) of a relation R is defined inductively as the smallest set X of pairs such that (i) \(R \subseteq X\); (ii) if (a, b) and (b, c) are in X, then (a, c) is in X.
- 11.
This is spelled out e.g. in Pagin and Westerståhl (2010).
- 12.
This is not inconsistent with the fact that, with set abstraction, we can specify which the elements are in a relational way, which may even require empirical knowledge. For instance the set represented by ‘\(\{x: x \ \text {is a son of George}\}\)’ is a set of four elements that can also be presented as by ‘\(\{\text {W, Jeb, Neil, Marvin}\}\)’. In the latter case, it can be determined from the representation of the set which the elements are, while background empirical knowledge is needed in the first case. But because of the extensionality of sets, the two expressions denote the same set. So, the property of sets to be intrinsically structured should not be confused with the property that it can be determined from any correct specification (description true uniquely of the object) of the object which the parts are.
- 13.
Some might want to say (as people did say) that it is an essential property of W to be the son of George, but hardly anyone would claim that it is an essential property of George to be the father of W.
- 14.
In fact, this argument can be seen as supporting Russell’s argument (Russell 1903, pp. 47–48) that we lose the essential unity of the proposition by analysing it into parts. Short of circularity, there is in general no unique way mapping the parts on a unified proposition.
- 15.
It is possible that a more complicated definition would satisfy the uniformity condition, but then clearly not the third and fourth requirement.
- 16.
For reasons of space, I shall not do the same for other proposals, but the general idea should be clear.
- 17.
According to King (pc), there is no significant difference.
- 18.
For further discussion of King’s views, see Pickel (2015).
Notes
Acknowledgements
I have benefitted from comments at the conference in Barcelona by Manuel García-Carpintero, Marie Duži, Peter Hanks, Bjørn Jespersen, Lorraine Keller, Jonathan Keller, Jeff King, Bryan Pickel, and Scott Soames, as well as from comments by two anonymous referees and from discussions with Kathrin Glüer-Pagin. The research was supported by a grant from The Tercentenary Foundation of the Swedish National Bank (Riksbankens Jubileumsfond) for the project Interpretational Complexity.
References
- Bealer, G. (1993). A solution to frege’s puzzle. Philosophical Perspectives, 7, 17–60.CrossRefGoogle Scholar
- Benacerraf, P. (1965). What numbers could not be. Philosophical Review, 74, 47–73.CrossRefGoogle Scholar
- Chartrand, G., & Zhang, P. (2012). A first course in graph theory. Mineola, New York: Dover Publications.Google Scholar
- Church, A. (1951). A formulation of the logic of sense and denotation. In P. Henle, H. M. Kallen, & S. K. Langer (Eds.), Structure, method, and meaning: Essays in honor of Henry M. Scheffer (pp. 3–24). New York: Liberal Arts Press.Google Scholar
- Cresswell, M. J. (1985). Structured meanings. the semantics of propositional attitudes. Cambridge, Mass.: MIT Press.Google Scholar
- Cresswell, M. J. (2002). Why propositions have no structure. Nous, 36, 643–662.Google Scholar
- Dummett, M. (1973). Frege: Philosophy of language. London: Duckworth.Google Scholar
- Duzi, M., Jespersen, B., & Materna, P. (2010). Procedural semantics for hyperintensional logic: Foundations and applications of transparent intensional logic. Dordrecht: Springer.CrossRefGoogle Scholar
- Hanks, P. (2011). Structured propositions as types. Mind, 120, 11–52.CrossRefGoogle Scholar
- Hanks, P. (2015). Propositional content. Oxford: Oxford University Press.CrossRefGoogle Scholar
- Jespersen, B. (2003). Why the tuple theory of structured propositions isn’t a theory of structured propositions. Philosophia, 31, 171–183.CrossRefGoogle Scholar
- Jespersen, B. (2012). Recent work on structured meaning and propositional unity. Philosophy Compass, 7, 620–630.CrossRefGoogle Scholar
- King, J. C. (2007). The nature and structure of content. Oxford: OxfordUniversity Press.CrossRefGoogle Scholar
- King, J. C. (2009). Questions of unity. In Proceedings of the Aristotelian Society CIX (pp. 257–277).Google Scholar
- King, J. C. (2011). Structured propositions. In E. N. Zalta (Ed.), Stanford encyclopedia of philosophy. http://plato.stanford.edu/archives/fall2011/entries/propositions-structured/%3E.
- King, J. C. (2014a). Naturalized propositions. In King, Soames, and Speaks 2014, chap. 4.Google Scholar
- King, J. C. (2014b). Structured propositions. In E. N. Zalta (Ed.), Stanford encyclopedia of philosophy. http://plato.stanford.edu/archives/fall2011/entries/propositions-structured/.
- King, J. C., Soames, S., & Speaks, J. (2014). New thinking about propositions. Oxford: Oxford University Press. Electronic resource at SUB.CrossRefGoogle Scholar
- Lewis, D. (1970). General semantics. Synthèse 22:18–67. Reprinted in Lewis, 1983, 189–232.Google Scholar
- Lewis, D. (1983). Philosophical papers (Vol. i). Oxford: Oxford University Press.Google Scholar
- MacFarlane, J. (2014). Assessment sensitivity: Relative truth and its applications. Oxford: Oxford University Press.CrossRefGoogle Scholar
- Pagin, P., & Pelletier, F. J. (2007). Content, context and composition. In G. Peter & G. Preyer (Eds.), Context-sensitivity and semantic minimalism. New Essays on Semantics and Pragmatics (pp. 25–62). Oxford: Oxford University Press.Google Scholar
- Pagin, P., & Westerståhl, D. (2010). Pure quotation and general compositionality. Linguistics and Philosophy, 33, 381–415.CrossRefGoogle Scholar
- Pickel, B. (2015). Are propositions essentially representational? Pacific Philosophical Quarterly. doi: 10.1111/papq.12123.
- Russell, B. (1903). Principles of mathematics (2nd ed.). Routledge. Available at the Internet Archive.Google Scholar
- Soames, S. (2010). What is meaning?. Princeton, NJ: Princeton University Press.CrossRefGoogle Scholar
- Soames, S. (2014). Cognitive propositions. In J. C. King, S. Soames, & J. Speaks, chap 6.Google Scholar
Copyright information
Open AccessThis article is distributed under the terms of the Creative Commons Attribution 4.0 International License (http://creativecommons.org/licenses/by/4.0/), which permits unrestricted use, distribution, and reproduction in any medium, provided you give appropriate credit to the original author(s) and the source, provide a link to the Creative Commons license, and indicate if changes were made.

















