The B–H–B bridging interaction in B-substituted oxazaborolidine–borane complexes: a theoretical study
- 714 Downloads
- 4 Citations
Abstract
Ten oxazaborolidine–borane complexes, nine among them boron-substituted (B–R, R=CH3, CF3, and OCH3), are carefully analysed using quantum-chemistry methods to determine their equilibrium geometries and the corresponding oxazaborolidine–borane interaction energies. It is observed that in all B-trifluoromethyl substituted oxazaborolidine–borane complexes and in one B-methyl substituted complex the B–H–B bond is formed and the interaction energies are 1.5–2.5 times as large as in other investigated complexes. We believe that the presented results may be helpful in experimental recognition of oxazaborolidine–borane complexes which may appear, inter alia, as reaction intermediates.
keywords
B-substituted oxazaborolidine–borane complexes B–H–B bond Ab initio calculations Density functional theory calculations Intermolecular interaction energyIntroduction
Boron is known to form structures stabilized by strong delocalization of valence electrons [1]. A well-known example demonstrating strong unsaturation in boron compounds is borane, BH3, which easily dimerizes into diborane, B2H6, forming electron-deficient three-center two-electron B–H–B bonds [2, 3]. Although very useful in many synthetic applications, gaseous diborane is, however, not convenient to handle and is thus commonly replaced in organic reactions by appropriate BH3 complexes with tetrahydrofuran and dimethyl sulfide [4]. Oxazaborolidine-catalyzed asymmetric reduction of diverse functional groups with excellent enantiomeric excess is a remarkable example of successful application of borane–tetrahydrofuran and borane–dimethyl sulfide complexes in organic synthesis. During the last two decades an increasing interest has been observed in the asymmetric reduction of various types of organic compounds catalyzed by chiral oxazaborolidines, species recognized as catalysts in the Itsuno reaction [5] by Corey et al. [6, 7, 8], and thus often referred to as CBS catalysts. The CBS catalysts are very effective in enantioselective reduction of prochiral ketones [5], imines [9, 10], oxime ethers [11, 12, 13, 14], and in formation of lactones [15]. High enantioselectivity and effectiveness of cationic oxazaborolidines have been reported for Diels–Alder reaction [16]. Moreover, biological activity of oxazaborolidines has also been investigated and some oxazaborolidines have been reported to show antibacterial activity against Streptococcus mutans [17]. The importance of oxazaborolidines in modern organic chemistry is indisputable and the large interest in this area resulted in several comprehensive reviews [18, 19, 20, 21].
Large time savings in experimental procedure could be achieved if the oxazaborolidine–borane complexes used in the synthesis were purchased instead of prepared in situ from appropriate amino alcohols and borane sources, especially in the reactions employing stoichiometric amount of catalyst. However, development of stable oxazaborolidine–borane complexes has been reported to be a nontrivial task. Their short lifetimes and moisture sensitivity make them difficult to isolate, and thus structure of such complexes is rarely examined experimentally in more details [6, 22]. Contrary to oxazaborolidines, there are only two examples of oxazaborolidine–borane complexes in the Cambridge Structural Database [23], the first one isolated in 1992 by Corey et al. [24] and confirmed by Mathre et al. in 1993 [25], and the second reported in 2004 by Ortiz–Marciales et al. [26]. Structures of oxazaborolidine–borane complexes and their interaction energies are undoubtedly of primary importance for better understanding of the nature of intermolecular interactions in these systems, which determine their stability and affects mechanism of reactions involving these species.
The reduction of ketones with borane in the presence of β-amino alcohols, catalyzed by formed in situ oxazaborolidines, has been extensively studied from both experimental and computational points of view. Extensive ab initio studies on model oxazaborolidines and their adducts with borane and symmetric carbonyl compounds were carried out in nineties by Nevalainen [27]. Linney et al. [28] investigated model oxazaborolidine–borane complex within the HF, MP2, and AM1 approximations. Moreover, theoretical studies on the mechanism of reduction of ketones were carried out using the semiempirical MNDO [29] and AM1 [30, 31] methods as well as within the ab initio techniques and the density functional theory (DFT) [32, 33, 34]. Reduction of oxime ethers [35] and imines [36] has been the subject of detailed analyses using DFT. Despite extensive theoretical studies of oxazaborolidine–borane complexes it seems that only limited attention has been paid to the influence of the B-substituents in the oxazaborolidine ring on the geometry of the complex and its interaction energy.
Investigated oxazaborolidine–borane complexes 1–10
Computational details
Careful optimization of geometrical parameters of investigated systems is carried out using MP2 [39] (complexes 1–7) and DFT [40, 41] B3LYP [42, 43] (complexes 1–10) methods, and is followed by vibrational frequency calculations. The aug-cc-pVDZ basis set of Dunning and co-workers [44, 45] is used in geometry optimization and frequency calculations (aug-cc-pVXZ, X = D, T, Q, is abbreviated as aVXZ throughout the paper). Choice of the aVDZ set is based on the conclusions of Alagona et al. [34] that the 6-31G* geometrical parameters in system 1 are very close to those obtained using larger sets. Since the aVDZ basis set is larger and more diffuse than the 6-31G* basis we believe that no significant deterioration is introduced in values of geometrical parameters in investigated complexes. In particular, contrary to medium-sized Pople’s basis set, the Dunning’s correlation-consistent basis set are not found to suffer from spurious stationary points in the potential energy surfaces [46, 47, 48]. All optimized structures correspond to minima on the potential energy surfaces.
Borane molecule can approach oxazaborolidines derived from 3-carene either from the top face of the carene ring forming the exo complex (denoted with letter a) or from the bottom face forming the endo complex (denoted with letter b). Geometry optimization in both types of complexes 8–10 is performed. In B-methoxy-substituted oxazaborolidine–borane complexes (4, 7 and 10), rotation of the methyl group around the O–B bond is also examined. Four starting points are used for each complex with the methyl group rotated by 90°. Two stable conformers are identified for each B-methoxy-substituted complex, the lower energy conformer with the methyl group pointing in the direction of oxygen atom in the ring, and the higher energy one pointing in the direction of nitrogen atom. After test interaction energy calculation performed at the B3LYP/aVDZ level of theory, only the lower energy conformers are used in the regular interaction energy calculations.
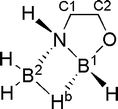
Numbering of boron, carbon, and bridge hydrogen atoms in oxazaborolidine–borane complexes
Interaction energy values are reported in kcal mol−1. All calculations are carried out using the gaussian 03 [55] and gaussian 09 [56] packages.
Results and discussion
MP2/aVDZ optimized geometries of systems 1–4
MP2/aVDZ optimized geometries of systems 5–7
B3LYP/aVDZ optimized geometries of systems 8–10
The B–H–B bond is observed in all investigated B-trifluoromethyl substituted complexes and probably arises from the fact that the electron withdrawing CF3 group decreases the electron density on B1 atom. To compensate the resulting electron shortage B1 forms the B–H–B bonding. In complexes containing the electron-donating methoxy or methyl group the B–H–B bond is not present, with the only exception being complex 5, in which the B–H–B is formed but is somewhat weaker than the ones in B-trifluoromethyl substituted complexes. Formation of the B–H–B bond in complex 5 is probably caused by the electron-withdrawing character of the aromatic ring. The absence of B–H–B bond in complex 7 may result from compensation of the electron-withdrawing effect of the aromatic ring by the strong electron–donating character of methoxy substituent.
The MP2/aVDZ and B3LYP/aVDZ geometrical parameters in oxazaborolidine–borane complexes
| System | C1–N–B1–Oa | B1–Nb | B2–Nc | B1–Od | ||||
|---|---|---|---|---|---|---|---|---|
| MP2 | B3LYP | MP2 | B3LYP | MP2 | B3LYP | MP2 | B3LYP | |
| 1 | −2.2 (−9.0) | −3.8 (−6.0) | 1.568 | 1.555 | 1.586 | 1.580 | 1.425 | 1.409 |
| 2 | −16.0 (−9.2) | −15.6 (−6.4) | 1.512 | 1.507 | 1.685 | 1.681 | 1.372 | 1.361 |
| 3 | −3.7 (−7.7) | −4.7 (−4.1) | 1.559 | 1.553 | 1.580 | 1.572 | 1.417 | 1.404 |
| 4 | −18.5 (−13.1) | −18.1 (−10.0) | 1.505 | 1.501 | 1.682 | 1.679 | 1.379 | 1.367 |
| 5 | −1.9 (0.0) | −3.2 (0.0) | 1.583 | 1.576 | 1.601 | 1.593 | 1.461 | 1.448 |
| 6 | −2.4 (0.0) | −3.2 (0.0) | 1.572 | 1.567 | 1.589 | 1.579 | 1.445 | 1.434 |
| 7 | −8.0 (0.0) | −7.7 (0.0) | 1.506 | 1.503 | 1.731 | 1.727 | 1.400 | 1.389 |
| 8a | – | 9.8 (2.6) | – | 1.500 | – | 1.680 | – | 1.353 |
| 8b | – | 9.1 (2.6) | – | 1.514 | – | 1.669 | – | 1.352 |
| 9a | – | 3.4 (2.5) | – | 1.537 | – | 1.579 | – | 1.393 |
| 9b | – | −8.9 (2.5) | – | 1.548 | – | 1.575 | – | 1.404 |
| 10a | – | 12.6 (3.1) | – | 1.494 | – | 1.680 | – | 1.360 |
| 10b | – | 7.9 (3.1) | – | 1.505 | – | 1.674 | – | 1.360 |
The B–H–B bond formed in investigated complexes is not symmetric. The distance between the hydrogen and the boron atom of the borane molecule is smaller than the one between the hydrogen and the boron in the oxazaborolidine ring, with the complex 6 being the only exception. The difference between the B1–H b and B2–H b distances depends on the system and is the largest in the case of complexes 1 and 5. The B1–H b and B2–H b B3LYP distances in complex 1 (1.457 and 1.310 Å, respectively) are in perfect agreement with the B3LYP/6-31G* values reported by Alagona et al. [34] (1.457 and 1.30 Å, respectively). Small difference between the present MP2/aVDZ B2–H b distance in complex 1 (1.316 Å) and the corresponding MP2/6-31G** bond length reported by Linney et al. [28] (1.298 Å) is observed.
In the case of B-trifluoromethyl-substituted complexes, the two B–H distances are very close to each other making the B–H–B bond the most similar to the one observed in diborane. In the complexes in which the B–H–B bond is not observed the B–H distances in borane are in the order of 1.22 Å, while the presence of B–H–B bond in the complex forces the shortening of the B2 bonds with the remaining two hydrogen atoms to approximately 1.20 Å—result in a good agreement with data reported by Linney et al.[28] for complex 1. In all systems where the B–H–B bridging interaction is observed the B1–N bond distance is in the order of 1.6 Å, in agreement with results earlier reported for complex 1 [28], and in the systems without the B–H–B bonding in the order of 1.7 Å. The latter value is in a good agreement with theoretical values by Quallich et al. [32].
Within the set of investigated systems, oxazaborolidine ring in isolated molecules is planar only in the case of oxazaborolidines derived from 2-aminophenol. Planarity is probably a result of aromaticity of C1 and C2 atoms. In all other cases, isolated oxazaborolidine ring is non–planar. The largest values of the C1–N–B1–O dihedral angle are observed in oxazaborolidines derived from 2-aminoethanol. Smaller values of C1–N–B1–O dihedral in 3-carene oxazaborolidines are probably forced by the rigidity of the carene ring. Except oxazaborolidines derived from 2-aminophenol, isolated methoxy-substituted oxazaborolidines are characterized by larger value of the C1–N–B1–O dihedral angle than other oxazaborolidines derived from the same amino alcohol. Coordination of borane to oxazaborolidine causes a change in the value of C1–N–B1–O dihedral. Decrease (in absolute value) of C1–N–B1–O value with respect to isolated oxazaborolidine is observed for systems 1 and 3, the latter only at the MP2 level of approximation. In all other cases value of the C1–N–B1–O dihedral increases (in absolute value). Formation of the B2–N bond changes hybridization on the N atom from sp 2 to sp 3 and thus decreases planarity of the oxazaborolidine ring.
For systems 8 through 10 we observe that exo complexes are the lower energy structures. Although at the exo face two methyl groups are present, they are far from the nitrogen atom coordinating with borane and thus do not significantly influence the coordination process. Coordination from the bottom face is probably hindered by the steric interaction of borane with the carene ring, see Fig. 5. Within the B3LYP/aVDZ approximation energy of the b complex is about 4.5 kcal mol−1 higher than the energy of a for systems 8 and 9 and approximately 5.0 kcal mol−1 in the case of system 10.
Oxazaborolidine–borane interaction energies in complexes 1–10
| System | Basis | M05-2X//B3LYP | M05-2X//MP2 | CCSD(T)//MP2 |
|---|---|---|---|---|
| 1 | aVQZ | −69.06 | −71.27 | −71.17 a |
| 2 | aVQZ | −45.38 | −44.77 | −44.81 a |
| 3 | aVQZ | −79.66 | −81.36 | −80.04 b |
| 4 | aVQZ | −45.32 | −44.44 | −44.55 b |
| 5 | aVTZ | −64.14 | −65.05 | −63.70 c |
| 6 | aVTZ | −78.28 | −78.58 | −75.66 c |
| 7 | aVTZ | −33.65 | −32.18 | −32.47 c |
| 8a | aVTZ | −45.51 | – | – |
| 8b | aVTZ | −47.74 | – | – |
| 9a | aVTZ | −73.97 | – | – |
| 9b | aVDZd | −79.86 | – | – |
| 10a | aVTZ | −44.90 | – | – |
| 10b | aVTZ | −45.15 | – | – |
Conclusions
Detailed theoretical study of carefully chosen B-substituted oxazaborolidine–borane complexes was presented. In complexes 1 and 5 and in all B-trifluoromethyl substituted complexes formation of B–H–B bond is observed at both, MP2 and DFT/B3LYP levels of approximation. The oxazaborolidine ring in these closed structure complexes is more planar than in open complexes due to the presence of rigid hydrogen bridge connecting the boron atoms. Oxazaborolidine–borane interaction energies in closed complexes are 1.5–2.5 times as large as in the open structure complexes. The largest interaction energy values are obtained in the case of B-trifluoromethyl substituted complexes. This probably arises from the fact that strong electron withdrawing CF3 group substantially shifts the electron density from B1 atom which in turn compensates the resulting shortage in electron density by forming the B–H–B bond.
Relatively strong interaction observed in B-trifluoromethyl substituted complexes suggests where to look for oxazaborolidine–borane complexes of higher stability. Although many factors have been neglected in our computational treatment (e.g., lack of solvent effects) it is possible that B–CF3 substituted oxazaborolidine–borane complexes would be easier to isolate than other studied complexes.
Notes
Acknowledgments
Calculations have been carried out in Centro de Supercomputación de Galicia (CESGA), Spain and in Information & Communication Technology Centre of the Nicolaus Copernicus University, Poland. The authors thank Dr. Romuald Słupski (Information & Communication Technology Centre, NCU) for valuable technical assistance.
Supplementary material
References
- 1.King RB (2001) Chem Rev 101:1119CrossRefGoogle Scholar
- 2.Dixon DA, Pepperberg IM, Lipscomb WN (1974) J Am Chem Soc 96:1325CrossRefGoogle Scholar
- 3.Tian SX, Li HB, Bai Y, Yang J (2008) J Phys Chem A 112:8121CrossRefGoogle Scholar
- 4.Brown HC, Zaidlewicz M (2001) Organic syntheses via boranes, vol 2, Aldrich Chemical Co., MilwaukeeGoogle Scholar
- 5.Itsuno S, Nakano M, Miyazaki K, Masuda H, Ito K, Hirao A, Nakahama SJ (1985) J Chem Soc Perkin Trans 1:2039CrossRefGoogle Scholar
- 6.Corey EJ, Bakshi RK, Shibata S (1987) J Am Chem Soc 109:5551CrossRefGoogle Scholar
- 7.Corey EJ, Bakshi RK, Shibata S, Chen CP, Singh VK (1987) J Am Chem Soc 109:7925CrossRefGoogle Scholar
- 8.Corey EJ, Bakshi RK, Shibata S (1988) J Org Chem 53:2861CrossRefGoogle Scholar
- 9.Cho BT, Chun YS (1990) J Chem Soc Perkin Trans 1:3200CrossRefGoogle Scholar
- 10.Cho BT, Chun YS (1992) Tetrahedron: Asymmetry 3:1583CrossRefGoogle Scholar
- 11.Itsuno S, Sakurai S, Ito K, Hirao A, Nakahama S (1987) Bull Chem Soc Jpn 60:395CrossRefGoogle Scholar
- 12.Sakito Y, Yoneyoshi Y, Suzukamo G (1988) Tetrahedron Lett 29:223CrossRefGoogle Scholar
- 13.Tillyer RD, Boudreau C, Tschaen D, Dolling UH, Reider S (1995) Tetrahedron Lett 36:4337CrossRefGoogle Scholar
- 14.Łączkowski KZ, Pakulski MM, Krzeminski MP, Jaisankar P, Zaidlewicz M (2008) Tetrahedron: Asymmetry 19:788CrossRefGoogle Scholar
- 15.Gnanadesikan V, Corey EJ (2006) Tetrahedron: Asymmetry 8:4943Google Scholar
- 16.Canales E, Corey EJ (2008) Org Lett 10:3271CrossRefGoogle Scholar
- 17.Jabbour A, Steinberg D, Dembitsky VM, Moussaieff A, Zaks B, Srebnik M (2004) J Med Chem 47:2409CrossRefGoogle Scholar
- 18.Deloux L, Srebnik M (1993) Chem Rev 93:763CrossRefGoogle Scholar
- 19.Corey EJ, Helal ChJ (1998) Angew Chem Int Ed 37:1986CrossRefGoogle Scholar
- 20.Glushkov VA, Tolstikov AG (2004) Russ Chem Rev 73:581CrossRefGoogle Scholar
- 21.Cho BT (2006) Tetrahedron 62:7621CrossRefGoogle Scholar
- 22.Gilmore NJ, Jones S, Muldowney MP (2004) Org Lett 6:2805CrossRefGoogle Scholar
- 23.CSD version 5.30 updates (Nov 2008)Google Scholar
- 24.Corey EJ, Azimioara M, Sarshar S (1992) Tetrahedron Lett 33:3429CrossRefGoogle Scholar
- 25.Mathre DJ, Thompson AS, Douglas AW, Hoogsteen K, Carroll JD, Corley EG, Grabowski EJJ (1993) J Org Chem 58:2880CrossRefGoogle Scholar
- 26.Ortiz–Marciales M, De Jesus M, Gonzales E, Raptis RG, Baran P (2004) Acta Crystallogr C 60:o173CrossRefGoogle Scholar
- 27.Nevalainen V (1994) Tetrahedron: Asymmetry 5:395; and references thereinGoogle Scholar
- 28.Linney LP, Self CR, Williams IH (1994) Tetrahedron: Asymmetry 5:813CrossRefGoogle Scholar
- 29.Jones DK, Liotta DC, Shinkai I, Mathre DJ (1993) J Org Chem 58:799CrossRefGoogle Scholar
- 30.Puigjaner C, Vidal–Ferran A, Moyano A, Pericààs MA, Riera A (1999) J Org Chem 64:7902CrossRefGoogle Scholar
- 31.Bringmann G, Hinrichs J, Kraus J, Wuzik A, Schulz T (2000) J Org Chem 65:2517CrossRefGoogle Scholar
- 32.Quallich GJ, Blake JF, Woodall TM (1994) J Am Chem Soc 116:8516CrossRefGoogle Scholar
- 33.Alagona G, Ghio C, Persico M, Tomasi S (2003) J Am Chem Soc 125:10027CrossRefGoogle Scholar
- 34.Alagona G, Ghio C, Tomasi S (2004) Theor Chem Acc 111:287CrossRefGoogle Scholar
- 35.Li M, Zheng WX, Tian AM (2006) Sci China B 49:296; and references thereinGoogle Scholar
- 36.Li M, Tian AM (2003) Sci China B 46:124CrossRefGoogle Scholar
- 37.Łączkowski KZ, Kmieciak A, Kozakiewicz A (2009) Tetrahedron: Asymmetry 20:1487CrossRefGoogle Scholar
- 38.Łączkowski KZ, Baranowska A (2009) Eur J Org Chem 4600Google Scholar
- 39.Møller C, Plesset MS (1934) Phys Rev 46:618CrossRefGoogle Scholar
- 40.Hohenberg P, Kohn W (1964) Phys Rev 136:B864CrossRefGoogle Scholar
- 41.Kohn W, Sham LJ (1965) Phys Rev 140:A1133CrossRefGoogle Scholar
- 42.Becke AD (1993) J Chem Phys 98:5648CrossRefGoogle Scholar
- 43.Lee C, Yang W, Parr RG (1988) Phys Rev B 37:785CrossRefGoogle Scholar
- 44.Dunning Jr TH (1989) J Chem Phys 90:1007CrossRefGoogle Scholar
- 45.Kendall RA, Dunning Jr TH, Harrison RJ (1992) J Chem Phys 96:6796CrossRefGoogle Scholar
- 46.Torrent-Sucarrat M, Luis JM, Duran M, Solà M (2004) J Chem Phys 120:10914CrossRefGoogle Scholar
- 47.Moran D, Simmonett AC, Leach III FE, Allen WD, Schleyer PvR, Schaefer III HF (2006) J Am Chem Soc 128:9342CrossRefGoogle Scholar
- 48.Torrent-Sucarrat M, Geerlings P, Luis JM (2007) Chem Phys Chem 8:1065CrossRefGoogle Scholar
- 49.Zhao Y, Schultz NE, Truhlar DG (2006) J Chem Theory Comput 2:364CrossRefGoogle Scholar
- 50.Raghavachari K, Trucks GW, Pople JA, Head-Gordon M (1989) Chem Phys Lett 157:479CrossRefGoogle Scholar
- 51.Perdew JP (1986) Phys Rev B 33:8822CrossRefGoogle Scholar
- 52.Perdew JP, Wang Y (1992) Phys Rev B 45:13244CrossRefGoogle Scholar
- 53.Zhao Y, Schultz NE, Truhlar DG (2005) J Chem Phys 123:161103CrossRefGoogle Scholar
- 54.Zhao Y, Truhlar DG (2008) Theor Chem Acc 120:215CrossRefGoogle Scholar
- 55.Frisch MJ, Trucks GW, Schlegel HB, Scuseria GE, Robb MA, Cheeseman JR, Montgomery Jr JA, Vreven T, Kudin KN, Burant JC, Millam JM, Iyengar SS, Tomasi J, Barone V, Mennucci B, Cossi M, Scalmani G, Rega N, Petersson GA, Nakatsuji H, Hada M, Ehara M, Toyota K, Fukuda R, Hasegawa J, Ishida M, Nakajima T, Honda Y, Kitao O, Nakai H, Klene M, Li X, Knox JE, Hratchian HP, Cross JB, Bakken V, Adamo C, Jaramillo J, Gomperts R, Stratmann RE, Yazyev O, Austin AJ, Cammi R, Pomelli C, Ochterski JW, Ayala PY, Morokuma K, Voth GA, Salvador P, Dannenberg JJ, Zakrzewski VG, Dapprich S, Daniels AD, Strain MC, Farkas O, Malick DK, Rabuck AD, Raghavachari K, Foresman JB, Ortiz JV, Cui Q, Baboul AG, Clifford S, Cioslowski J, Stefanov BB, Liu G, Liashenko A, Piskorz P, Komaromi I, Martin RL, Fox DJ, Keith T, Al-Laham MA, Peng CY, Nanayakkara A, Challacombe M, Gill PMW, Johnson B, Chen W, Wong MW, Gonzalez C, Pople JA (2004) gaussian 03, Revision D.01. Gaussian, Inc., WallingfordGoogle Scholar
- 56.Frisch MJ, Trucks GW, Schlegel HB, Scuseria GE, Robb MA, Cheeseman JR, Scalmani G, Barone V, Mennucci B, Petersson GA, Nakatsuji H, Caricato M, Li X, Hratchian HP, Izmaylov AF, Bloino J, Zheng G, Sonnenberg JL, Hada M, Ehara M, Toyota K, Fukuda R, Hasegawa J, Ishida M, Nakajima T, Honda Y, Kitao O, Nakai H, Vreven T, Montgomery Jr JA, Peralta JE, Ogliaro F, Bearpark M, Heyd JJ, Brothers E, Kudin KN, Staroverov VN, Kobayashi R, Normand J, Raghavachari K, Rendell A, Burant JC, Iyengar SS, Tomasi J, Cossi M, Rega N, Millam NJ, Klene M, Knox JE, Cross JB, Bakken V, Adamo C, Jaramillo J, Gomperts R, Stratmann RE, Yazyev O, Austin AJ, Cammi R, Pomelli C, Ochterski JW, Martin RL, Morokuma K, Zakrzewski VG, Voth GA, Salvador P, Dannenberg JJ, Dapprich S, Daniels AD, Farkas Ö, Foresman JB, Ortiz JV, Cioslowski J, Fox DJ (2009) gaussian 09, Revision A.02. Gaussian, Inc., WallingfordGoogle Scholar
- 57.Tsuzuki S, Honda K, Uchimaru T, Mikami M, Tanabe K (1999) J Phys Chem A 103:8265CrossRefGoogle Scholar
- 58.Tsuzuki S, Honda K, Uchimaru T, Mikami M, Tanabe K (2002) J Am Chem Soc 124:104CrossRefGoogle Scholar
- 59.Tsuzuki S, Honda K, Uchimaru T, Mikami M (2004) J Chem Phys 120:647CrossRefGoogle Scholar
Copyright information
Open AccessThis article is distributed under the terms of the Creative Commons Attribution License which permits any use, distribution, and reproduction in any medium, provided the original author(s) and the source are credited.




