Landau–Zener transitions in spin qubit encoded in three quantum dots
Abstract
We study generation and dynamics of an exchange spin qubit encoded in three coherently coupled quantum dots with three electrons. For two geometries of the system, a linear and a triangular one, the creation and coherent control of the qubit states are performed by the Landau–Zener transitions. In the triangular case, both the qubit states are equivalent and can be easily generated for particular symmetries of the system. If one of the dots is smaller than the others, one can observe Rabi oscillations that can be used for coherent manipulation of the qubit states. The linear system is easier to fabricate; however, then the qubit states are not equivalent, making qubit operations more difficult to control.
Keywords
Exchange qubits Quantum computation Landau–Zener transition Quantum dots Spin qubit dynamics1 Introduction
Recent progress in the experimental realization of the semiconductor quantum dots (QDs) gives the tool to perform compatible and fully scalable systems needed in the quantum computations. In contrast to charge qubits, spin qubits are characterized by long decoherence times necessary in the quantum computation [1]. To encode the qubit in the single electron spin in QD, one needs to apply a magnetic field which removes the spin degeneracy. Control of the spin qubit can be performed by the electron spin resonance (ESR) [2, 3]. The readout of the final qubit state can be done using transport measurements in the Pauli spin blockade regime with an auxiliary QD or with a quantum point contact (QPC) [4].
There are proposals [5, 6, 7, 8, 9, 10, 11, 12, 13, 14] to build the qubit in a two-spin system in double-quantum dots (2QD). The qubit logical subspace is defined by a singlet (S) and one of the triplets (\(T^{S_Z}\)), which correspond to the north and the south pole of the Bloch sphere, respectively. Applying an external magnetic field, one removes degeneration between the triplets, and the information is stored in the \(S-T^{+ 1}\) subspace. The preparation and manipulation of the qubit can be done by fast electrical pulses (in a nanosecond scale) which change an exchange interaction between the spins [6]. The control of the qubit is performed by the Landau–Zener (L–Z) transition [15, 16, 17] through an anticrossing point in a non-adiabatic regime. The anticrossing comes from mixing between the singlet and triplet states due to nuclear hyperfine fields [6, 7, 8], a spin–orbit coupling [18], or an inhomogeneous magnetic field [12]. The mixing is needed for proper functioning of the \(S-T^{+1}\) qubit; however, it can cause some unwanted decoherence processes. The L–Z method can be used to implement the universal quantum gates with high fidelity [19, 20] and to measure the \(S-T^{+1}\) splitting when the spin–orbit coupling and hyperfine interaction compete with each other [21]. The 2QD system with two spins allows also to encode the qubit in the \(S-T^{0}\) subspace [6, 11, 12, 13]. In the external magnetic field, the qubit state \(T^{0}\) is the excited state; therefore, one needs to pass through the \(S-T^{+1}\) anticrossing quick enough to remain in the qubit state S. The mixing of S and \(T^{0}\) states is induced in an inhomogeneous magnetic field, and the initialization can be performed with high fidelity [13]. Moreover, both the qubit states have \(S_Z=0\); therefore, they are unaffected by noises in an uniform magnetic field.
DiVincenzo et al. [22] proposed an exchange-only qubit in three-spin system in a triple-quantum-dot (TQD) device. An advantage of the proposal is encoding the qubit in the doublet states with the same spin z-component (\(S_Z\)). It was pointed out [23, 24] that the doublet subspace is immune to the decoherence processes. In the system, the full unitary operations of the qubit states are done by purely electrical control of the exchange interactions between the spins. Recently, TQD in a linear geometry has been investigated, both theoretically [25, 26, 27] and experimentally [28, 29, 30, 31]. Another proposition is a resonant exchange qubit [32, 33], where the manipulation is done by applying an rf gate-voltage pulses to one of the gates. If the oscillation frequency is matched to the exchange interaction, one can observe the nutations between the qubit states. The DiVincenzo scheme is not limited only to the linear TQD system. Shi et al. [34] proposed an electrically controlled hybrid qubit encoded in 2QD with many levels and three spins.
Recent theoretical studies [35, 36, 37] showed advantages encoding of the qubit on TQD with a triangular geometry. In this case, both the doublet states are equivalent and can be easily controlled by changing the TQD symmetry. Single-qubit operations, the readout and the decoherence related to external electrodes as well as leakage processes were studied as well [37]. The triangular TQD devices were fabricated in the three lateral quantum dots by the atomic force microscope [38, 39, 40], the electron-beam lithography [41], and in the vertical quantum dots [42]. Similar structures can be found in molecular magnets [43, 44] which exhibit rich quantum dynamics.
In this paper, we would like to show how one can encode the spin qubit and study its dynamics by means of the L–Z transitions for different symmetries of the TQD system. We model the system within the Hubbard Hamiltonian where the symmetry is fully electrically controlled by the local gate potentials applied to the quantum dots. Two geometries of TQD will be taken into consideration, the linear and the triangular one, for which one expects significant differences in qubit generation and its dynamics. The linear case is related to the experimental papers [29, 30] where a qubit state was initialized in the doublet subspace by an adiabatic passage. They observed a coherent rotation between the qubit states when an exchange pulse applied to the system induced the L–Z transition. We would like to extend the investigation on dynamic generation of the qubit states and study conditions for qubit encoding. The main purpose is to study the triangular TQD where one expects that both the qubit states can be easily generated by the L–Z transition. We will examine different symmetries of the system to generate any qubit state on the Bloch sphere. Next, the evolution of the qubit states with time-dependent gate potentials will be analyzed. We expect that the qubit states could be degenerated for a special condition (when a pseudo-magnetic field vanishes). The L–Z passage through this point could lead to Rabi oscillations which can be used for coherent qubit manipulations. We will show that this effect can be observed for some special symmetry: the triangular TQD with one of the dots being smaller.
2 Model of the system
The model (1) neglects hyperfine interactions and a spin–orbit coupling, which means that the doublet and quadruplet subspaces are separated. Therefore, the current studies of qubit dynamics can be confined to the doublet subspace only. The model can be applied to the Si-based quantum dots, the systems which are very promising in quantum computation due to long decoherence and relaxation times which can be in the order of a few seconds [45, 46].
2.1 Qubit encoded in the doublet subspace
Landau–Zener transitions for the linear TQD molecule with symmetric couplings \(t_{12}=t_{23}=-1\) (left panel) and asymmetric couplings \(2t_{12}=t_{23}=-1\) (right panel), for \(U_i=11\). a, c Present the adiabatic (solid lines) and diabatic (dashed lines) evolution of energy levels with respect to the detuning parameter \(\varDelta \epsilon =\tilde{\epsilon }_1-\tilde{\epsilon }_3\). The solid red curve corresponds to the ground state energy, the solid black curve presents the first excited doublet state, while the dashed violet line is for the quadruplet which is independent of the detuning parameter. The charge states \((N_1,N_2,N_3)\) of the system are marked above the plots. Notice that the spin qubit operates in the charge configuration (1,1,1) and is encoded in the states \(|D_S\rangle \) and \(|D_T\rangle \) with the fidelity \(F=0.95\). The lower panels b, d, present the occupation probabilities of various states as a time-dependent function (with respect to \(\varDelta \epsilon =2v t\)) for the rate \(v=0.28\) (b) and \(v=0.1\) (d). For better clarity, we plotted only states with main contribution. Notice that in the symmetric case, \(|D_S\rangle \) is not occupied. For the initial time \(\varDelta \epsilon (t_\mathrm{in})=-10\), the system was in the ground state \(|D_{210}\rangle \) (Color figure online)
3 L–Z effect in the linear molecule
First we consider the dynamics in the linear TQD (see the scheme in Fig. 1a which was studied recently by several experimental groups [29, 30, 31]. The paper [30] showed the initialization of the qubit state by an adiabatic passage between different charge regions. However, there was not presented how the qubit state was encoded on the Bloch sphere. We want to expand these studies and find conditions for the generation of the qubit states \(|D_S\rangle \) and \(|D_T\rangle \) by means of the L–Z transition. The evolution of the doublet state \(|\varPsi _D(t)\rangle \) (4) will be considered for different symmetries of the system for which one can expect initialization of various qubit states on the Bloch sphere. Let us stress that our model (1) conserves the total spin, the system remains in the doublet subspace during the evolution. The advantage of this approach is to operate in the decoherence-free subspace (DFS) [23, 24].
We are interested in the L–Z transition between the charge configurations (2,1,0) to (1,1,1) when the qubit states \(|D_S\rangle \) and \(|D_T\rangle \) are generated. Since the calculations are performed within the Hubbard model, the qubit states are not perfect, they are always in a small superposition with the double occupation states. The accuracy of the initialization operation of the qubit can be defined by a fidelity, which is a measure of closeness of two quantum states and is given by \(F=Tr \left[ \sqrt{\rho _i} \rho _r \sqrt{\rho _i}\right] \), where \(\rho _i\) is a density matrix of a desired ideal state and \(\rho _r=|\varPsi _D\rangle \langle \varPsi _D|\) is the real final state [50]. For a perfect qubit generation, the fidelity is unity; however, due to non-qubit states, the fidelity is lowered. For large \(U_i\), the separation between the double occupied states and the qubit states is larger, and the fidelity goes to unity; however, the exchange interactions \(J_{ij}\) decrease and the gap between the doublet states becomes smaller.
The results of the numerical calculations of the evolution of the doublet states and the energy levels as a function of the detuning parameter are presented in Fig. 1 for the linear TQD with the symmetric tunnelings between the dots \(t_{12}=t_{23}=-1\) (the left panel) and for the asymmetric case with \(2t_{12}=t_{23}=-1\) (the right panel). Figure 1a presents the adiabatic and diabatic energy levels (full and dashed curves, respectively) versus the detuning \(\varDelta \epsilon \) for the symmetric case. The solid red curve describes the evolution of the ground state, from the state \(|D_{210}\rangle \) via \(|D_T\rangle \) (in the (1,1,1) region) to the final state \(|D_{012}\rangle \). The dashed curves correspond to the diabatic energy levels: the blue and the red curves for \(|D_T\rangle \) and \(|D_{210}\rangle \), respectively, while the black dashed curve describes the diabatic energy level \(|D_S\rangle \). Notice that for the symmetric coupling between the dots, the ground state in the region (1,1,1) is \(|D_T\rangle \) and the second doublet \(|D_S\rangle \) can not be generated. Optimal generation of the qubit is for the adiabatic passage for which the fidelity \(F\approx 0.95\) at \(\varDelta \epsilon =0\). The fidelity can be higher for larger \(U_i\) when the occupation of the non-qubit states is negligible.
The numerical calculations of the time evolution of the occupation probabilities of the doublet states are shown in Fig. 1b. At an initial moment \(\varDelta \epsilon (t_\mathrm{in})=-10\), the system was in the ground state \(|D_{210}\rangle \). The calculations were performed for the speed rate \(v=0.28\). Notice that this speed rate is not optimal for the qubit generation and is taken to show the dynamics in the (1,1,1) region clearly. After the crossing point (for \(\varDelta \epsilon > -U/2\)), one can observe the L–Z transition to the qubit state \(|D_T\rangle \) with characteristic oscillations in the occupation probabilities for \(|D_T\rangle \) and \(|D_{210}\rangle \). The period of the oscillations is inversely proportional to the energy gap. At the transition point, the energy gap is \(\varDelta E_{01}\approx 0.66\) and hence one can estimate the generation probability \(P^\mathrm{gen}_{D_T}\approx 0.70\). Notice that the second qubit state \(|D_S\rangle \) is not generated. When the potential becomes larger (\(\varDelta \epsilon >U/2\)), the system goes through the other L–Z passage, to the charge configuration (0,1,2).
Let us estimate the sweep time \(t^{sw}\) needed to transfer the system from the initial state to the center of the (1,1,1) region. The hopping parameter determined in the experiment [31] is \(t_{ij}\approx 10\) \(\upmu \)eV. The energy gap can be estimated as \(\varDelta E_{01}= 6.6\) \(\upmu \)eV, and the speed rate in our calculations is \(v\approx 43\) keV/s. Hence the qubit is generated in the time \(t^{sw}\approx 2.31\) ns with the probability \(P_{|D_T\rangle }^\mathrm{gen}\approx 0.70\). The estimated time is much shorter than spin-flip relaxation [37] and decoherence caused by the charge noise [49], which means that our approximation (17) is justified.
For the asymmetric couplings between the quantum dots, which mimics the experimental situation [30], one can get observe some mixing of the qubit state \(|D_T\rangle \) with \(|D_S\rangle \)—see the right panel in Fig. 1. In the considered case, we take \(2t_{12}=t_{23}=-1\) and the superexchange couplings are asymmetric \(4J_{12}=J_{23}=4t^2_{23}U/(U^2-v^2t^2)\). The qubit parameters are \(\delta =5J_{23}/8\) and \(\gamma =-3\sqrt{3}J_{23}/8\); therefore, the L–Z transition can generate two states \(|D^-\rangle \) and \(|D^+\rangle \) which are superpositions of \(|D_S\rangle \) and \(|D_T\rangle \). One can see a double anticrossing in the adiabatic energy levels in Fig. 1c between the blue–red and the blue–black curves, which correspond the L–Z transitions: \(|D_{210}\rangle \rightarrow |D^-\rangle \) and \(|D_{210}\rangle \rightarrow |D^+\rangle \). The energy gaps at these points are \(\varDelta E_{01}\approx 0.4\) and \(\varDelta E_{02}\approx 0.55\), respectively. For the speed rate \(v=0.1\), which provides the same \(\varDelta E_{01}^2/v\) rate like in the previous case, one can generate these states with the probabilities \(P^\mathrm{gen}_{|D^{-}\rangle }\approx 0.70\) and \(P^\mathrm{gen}_{|D^{+}\rangle }\approx 0.259\). The transition time can be estimated as \(t^{sw}\approx 6.3\) ns. The generated qubit rotates on the Bloch sphere what is seen in Fig. 1d as strong oscillations between the states \(|D_S\rangle \) and \(|D_T\rangle \).
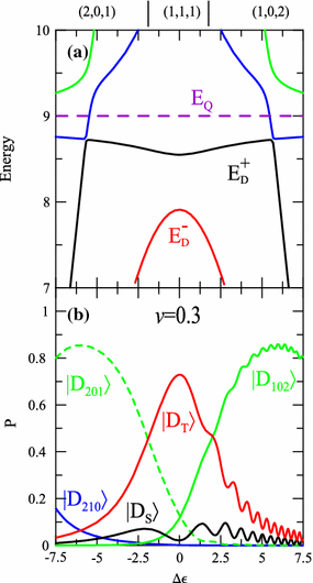
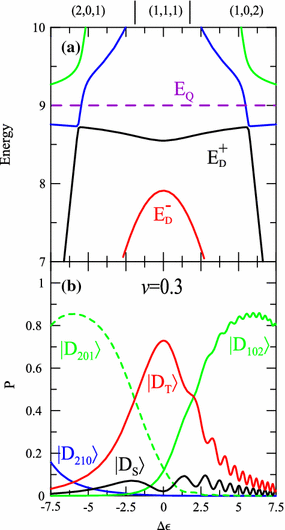
Landau–Zener transitions for the linear molecule with a small central dot for the symmetric tunneling \(t_{12}=t_{23}=-1\). The adiabatic evolution of the energy levels is plotted in a as solid curves: the ground state \(E_D^-\) (red) and the first excited state \(E_D^+\) (black) present the qubit states, the higher energy levels (blue and green curves) are shown for convenience only. The purple-dashed curve corresponds to the energy \(E_Q\) of the quadruplets. Below b presents the time evolution of the probability of the doublet states with the speed rate \(v=0.3\). The other parameters are: \(\epsilon _2=9\), \(\epsilon _{1,3}=0\), \(U_{1,3}=11\) and \(U_2=24\) (Color figure online)
4 L–Z effect in the triangular molecule
Scheme of the TQD in the triangular geometry in the presence of effective electric field caused by the potentials \(V_i\) applied to the gate electrodes
Landau–Zener transitions in TQD with the triangular geometry for three orientations of the electric field: \(\theta =2\pi /3\) (left panel), \(\theta =5\pi /6\) (middle panel) and \(\theta =5\pi /3\) (right panel)—see inserts. The energy spectrum is presented in the top panels where the dashed and the solid curves correspond to the diabatic and the adiabatic passages, respectively. In the adiabatic regime, the fidelity \(F\approx 0.95\). Bottom panels show the time evolution of the occupation probabilities of the doublet states, where \(g_E = v t\). In calculations, we take: \(U=11\), \(t_{ij}=-1\), \(\epsilon _{i}=0\). Plots are taken for the same \(\varDelta E_{01}^2/v\) rate as in Fig. 1: b \(\varDelta E_{01} \approx 2.3\) and \(v=2.2\); d \(\varDelta E_{01} \approx 2.28\) and \(v=3.48\); f \(\varDelta E_{01} \approx 3.47\) and \(v=5.01\)
The situation is different in the right panel of Fig. 4 when the electric field has opposite orientation. Now at the initial condition for \(g_E=-15\), the dot levels are \(\tilde{\epsilon }_2>\tilde{\epsilon }_1\,+\,U_1=\tilde{\epsilon }_3\,+\,U_3\) and the ground state is \(|\psi _\mathrm{in}\rangle =(|D_{102}\rangle -|D_{201}\rangle )/\sqrt{2}\). One can see the initial charge distribution of the function is different than in previous case—the dot 2 is empty. The transfer matrix elements are \(\langle \psi _\mathrm{in}|\hat{H}|D_T\rangle =\sqrt{3}(t_{23}+t_{12})/2=-\sqrt{3}\) and \(\langle \psi _\mathrm{in}|\hat{H}|D_S\rangle =(t_{23}-t_{12})/2=0\) for \(t_{ij}=-1\). In this case, \(|D_S\rangle \) is the dark state and the L–Z transition generates the qubit state \(|D_T\rangle \) (see Fig. 4f). The energy gap is now \(E_{01}\approx 3.47\). We take \(v= 5.01\) to get the same \(\varDelta E_{01}^2/v\) rate with the generated probability \(P^\mathrm{gen}_{|D_T\rangle }\approx 0.85\). The qubit state is generated in time \(t^{sw}= 0.19\) ns. The period of observed oscillations is larger than for the case \(\theta =2\pi /3\) because the gap is larger. Similarly, like in previous case, one can see the crossing between \(|D_T\rangle \) and \(|D_S\rangle \) at \(g_E=0\) but now the generated qubit state \(|D_T\rangle \) is kept in whole charge region (1,1,1). We will show latter how to remove this degeneration point and to perform the L–Z passage between the qubit states.
In the middle panel in Fig. 4, we present an intermediate case for \(\theta =5\pi /6\). Now the parameter \(\gamma \) is nonzero for the whole range of \(g_E\) (except \(g_E=0\)), which leads to mixing between the doublets \(|D_S\rangle \) and \(|D_T\rangle \). The L–Z transition generates the state \(|D^-\rangle \) from the initial state \(|D_{021}\rangle \), with \(P^\mathrm{gen}_{|D^-\rangle }\approx 0.85\) in time \(t^{sw} = 0.46\) ns. The occupation probabilities of \(|D_S\rangle \) and \(|D_T\rangle \) oscillate in phase, see the black and the red curve in Fig. 4d. There is no passage to the excited state \(|D^+\rangle \) because it is decoupled with the initial state \(|D_{021}\rangle \). These results show that generation of the qubit state \(|D^-\rangle \) on the Bloch sphere can be performed by an appropriate orientation of the electric field.
Landau–Zener transitions in TQD with the triangular geometry and the second dot being smaller. The electric field is directed toward the dot 1 (the angle \(\theta =0\)). Figure is plotted for parameters: \(\epsilon _{2}=4\), \(U_2=24\), \(U_{1,3}=11\), \(\epsilon _{1,3}=0\), and \(t_{ij}=-1\). a Presents the energy spectrum for the adiabatic passage, while b the probability of occupations of the doublet states with respect to \(g_E=vt\). The speed rate was taken \(v=0.01\) to clearly show generation of the qubit states and the Rabi oscillations
5 Conclusions
Summarizing, we considered the system of three coherently coupled quantum dots (TQD) in the linear and the triangular geometry, for which quantum dot levels were controlled by the local gate potentials. Applying electrical pulses, the Landau–Zener transitions were generated between different charge configurations \((N_1,N_2,N_3)\) of the system. The spin qubit states were encoded in the doublet subspace \(|D_S\rangle \) and \(|D_T\rangle \) in the charge region (1,1,1), and they were generated from the initial charge states with double dot occupancy (e.g., from (2, 1, 0)).
Our research on the linear TQD expands the investigations presented in [29, 30, 31]. We showed that in this case, the state \(|D_T\rangle \) is preferred, the generated qubit is restricted to the south part of the Bloch sphere only. For Si-based quantum dots [45, 49], the estimated sweep time \(t^{sw}\) for the generation of the qubit is of the order of a few nanoseconds which is much shorter than both the decoherence and relaxation time. We also considered the system with one of the dots smaller than two others. The qubit states cannot be well generated, then the fidelity is rather low, and the final state always contains a large superposition of non-qubit states for any speed rate.
In the triangular geometry, both the qubit states are equivalent and can be easily generated by the L–Z transitions for the mirror symmetries. The symmetry was changed by a rotation of the effective electric field (controlled by the local gate potentials applied to the quantum dots). If the electric field is oriented toward the second quantum dot, then the L–Z transition generates the qubit state \(|D_S\rangle \) from the initial state \(|\psi _\mathrm{in}\rangle =(|D_{021}\rangle +|D_{120}\rangle )/\sqrt{2}\). For the opposite direction of the electric field, the second qubit state \(|D_T\rangle \) is obtained from the initial state \(|\psi _\mathrm{in}\rangle =(|D_{102}\rangle -|D_{201}\rangle )/\sqrt{2}\). The L–Z transition induces characteristic oscillations between the initial and the qubit state with the amplitude related to the speed rate v. For small v, these oscillations can be suppressed and the qubit is generated with a higher fidelity. The energy gaps are larger than in the linear molecule which allows faster generation of the qubit states (with \(t^{sw}\approx \) 0.1 ns). We also showed that one can get any qubit state on the Bloch sphere by a proper orientation of the electric field. The interested case is the triangular TQD with one of the dots smaller for which an additional anticrossing point between the qubit states occurs. We showed that the L–Z passage through this point generates the Rabi oscillations. This effect can be used to perform one-qubit operations. Applying a proper sequence of electrical pulses, one can perform the Pauli X and Z gate which give full unitary control of the qubit rotation on the Bloch sphere [37].
Our calculations showed that the dynamics of the qubit should be observable in an experiment on Si-based quantum dots even in the presence of the decoherence processes for reasonable transition speeds.
The triangular TQD system can be used for construction of a multi-qubit quantum register with fast quantum logical operations. Changing the symmetry of each qubit, one can easily encode a desire initial state in the register. For the linear TQD, the encoding operation is more complex, because one should perform an additional single-qubit gate in order to rotate the qubit states, which significantly increases the operation time.
Notes
Acknowledgements
This work was supported by the National Science Centre under the contract DEC-2012/05/B/ST3/03208.
References
- 1.Vrijen, R., Yablonovitch, E., Wang, K., Jiang, H.W., Balandin, A., Roychowdhury, V., Mor, T., DiVincenzo, D.: Electron-spin-resonance transistors for quantum computing in silicon-germanium heterostructures. Phys. Rev. A 62, 012306 (2000)ADSCrossRefGoogle Scholar
- 2.Engel, H.-A., Loss, D.: Single-spin dynamics and decoherence in a quantum dot via charge transport. Phys. Rev. B 65, 195321 (2002)ADSCrossRefGoogle Scholar
- 3.Nowack, K.C., Koppens, F.H.L., Nazarov, Y.V., Vandersypen, L.M.K.: Coherent control of a single electron spin with electric fields. Science 318, 1430 (2007)ADSCrossRefGoogle Scholar
- 4.Veldhorst, M., Yang, C.H., Hwang, J.C.C., Huang, W., Dehollain, J.P., Muhonen, J.T., Simmons, S., Laucht, A., Hudson, F.E., Itoh, K.M., Morello, A., Dzurak, A.S.: A two-qubit logic gate in silicon. Nature 526, 410 (2015)ADSCrossRefGoogle Scholar
- 5.Loss, D., DiVincenzo, D.P.: Quantum computation with quantum dots. Phys. Rev. A 57, 120 (1998)ADSCrossRefGoogle Scholar
- 6.Petta, J.R., Johnson, A.C., Taylor, J.M., Laird, E.A., Yacoby, A., Lukin, M.D., Marcus, C.M., Hanson, M.P., Gossard, A.C.: Coherent manipulation of coupled electron spins in semiconductor quantum dots. Science 309, 2180 (2005)ADSCrossRefGoogle Scholar
- 7.Bluhm, H., Foletti, S., Neder, I., Rudner, M., Mahalu, D., Umansky, V., Yacoby, A.: Dephasing time of GaAs electron-spin qubits coupled to a nuclear bath exceeding 200 \(\mu \)s. Nat. Phys. 7, 109 (2010)CrossRefGoogle Scholar
- 8.Särkkä, J., Harju, A.: Spin dynamics at the singlettriplet crossings in a double quantum dot. New J. Phys. 13, 043010 (2011)CrossRefGoogle Scholar
- 9.Granger, G., Aers, G.C., Studenikin, S.A., Kam, A., Zawadzki, P., Wasilewski, Z.R., Sachrajda, A.S.: Visibility study of \(S - T_+\) Landau–Zener–Stckelberg oscillations without applied initialization. Phys. Rev. B 91, 115309 (2015)ADSCrossRefGoogle Scholar
- 10.Studenikin, S.A., Aers, G.C., Granger, G., Gaudreau, L., Kam, A., Zawadzki, P., Wasilewski, Z.R., Sachrajda, A.S.: Quantum interference between three two-spin states in a double quantum dot. Phys. Rev. Lett. 108, 226802 (2012)ADSCrossRefGoogle Scholar
- 11.Dial, O.E., Shulman, M.D., Harvey, S.P., Bluhm, H., Umansky, V., Yacoby, A.: Charge noise spectroscopy using coherent exchange oscillations in a singlet-triplet qubit. Phys. Rev. Lett. 110, 146804 (2013)ADSCrossRefGoogle Scholar
- 12.Wu, X., Ward, D.R., Prance, J.R., Kim, D., Gamble, J.K., Mohr, T.R., Shi, Z., Savage, D.E., Lagally, M.G., Friesen, M., Coppersmith, S.N., Eriksson, M.A.: Two-axis control of a singlettriplet qubit with an integrated micromagnet. Proc. Natl. Acad. Sci. USA 111, 11938 (2014)ADSCrossRefGoogle Scholar
- 13.Barthel, C., Reilly, D.J., Marcus, C.M., Hanson, M.P., Gossard, A.C.: Rapid single-shot measurement of a singlet-triplet qubit. Phys. Rev. Lett. 103, 160503 (2009)ADSCrossRefGoogle Scholar
- 14.Maune, B.M., Borselli, M.G., Huang, B., Ladd, T.D., Deelman, P.W., Holabird, K.S., Kiselev, A.A., Alvarado-Rodriguez, I., Ross, R.S., Schmitz, A.E., Sokolich, M., Watson, C.A., Gyure, M.F., Hunter, A.T.: Coherent singlet-triplet oscillations in a silicon-based double quantum dot. Nature 481, 344 (2012)ADSCrossRefGoogle Scholar
- 15.Landau, L.: Zur Theorie der Energieubertragung. II. Phys. Z. Sowjetunion 2, 46 (1932)MATHGoogle Scholar
- 16.Zener, C.: Non-adiabatic crossing of energy levels. Proc. R. Soc. A 137, 696 (1932)ADSCrossRefMATHGoogle Scholar
- 17.Shevchenko, S.N., Ashhab, S., Nori, F.: Landau–Zener–Stckelberg interferometry. Phys. Rep. 492, 1–30 (2010)ADSCrossRefGoogle Scholar
- 18.Hanson, R., Kouwenhoven, L.P., Petta, J.R., Tarucha, S., Vandersypen, L.M.: Spins in few-electron quantum dots. Rev. Mod. Phys. 79, 1217 (2007)ADSCrossRefGoogle Scholar
- 19.Bason, M.G., Viteau, M., Malossi, N., Huillery, P., Arimondo, E., Ciampini, D., Fazio, R., Giovannetti, V., Mannella, R., Morsch, O.: High-fidelity quantum driving. Nat. Phys. 8, 147 (2012)CrossRefGoogle Scholar
- 20.Hicke, C., Santos, L.F., Dykman, M.I.: Fault-tolerant Landau–Zener quantum gates. Phys. Rev. A 73, 012342 (2006)ADSMathSciNetCrossRefGoogle Scholar
- 21.Nichol, J.M., Harvey, S.P., Shulman, M.D., Pal, A., Umansky, V., Rashba, E.I., Halperin, B.I., Yacoby, A.: Quenching of dynamic nuclear polarization by spinorbit coupling in GaAs quantum dots. Nat. Comm. 6, 7682 (2015)ADSCrossRefGoogle Scholar
- 22.DiVincenzo, D.P., Bacon, D., Kempe, J., Burkard, G., Whaley, K.B.: Universal quantum computation with the exchange interaction. Nature 408, 339 (2000)ADSCrossRefGoogle Scholar
- 23.Lidar, D.A., Chuang, I.L., Whaley, K.B.: Decoherence-free subspaces for quantum computation. Phys. Rev. Lett. 81, 2594 (1998)ADSCrossRefGoogle Scholar
- 24.Bacon, D., Kempe, J., Lidar, D.A., Whaley, K.B.: Universal fault-tolerant quantum computation on decoherence-free subspaces. Phys. Rev. Lett. 85, 1758 (2000)ADSCrossRefGoogle Scholar
- 25.Fei, J., Hung, J.-T., Koh, T.S., Shim, Y.-P., Coppersmith, S.N., Hu, X., Friesen, M.: Characterizing gate operations near the sweet spot of an exchange-only qubit. Phys. Rev. B 91, 205434 (2015)ADSCrossRefGoogle Scholar
- 26.Pal, A., Rashba, E.I., Halperin, B.I.: Driven nonlinear dynamics of two coupled exchange-only qubits. Phys. Rev. X 4, 011012 (2014)Google Scholar
- 27.Busl, M., Sánchez, R., Platero, G.: Control of spin blockade by ac magnetic fields in triple quantum dots. Phys. Rev. B 81, 121306(R) (2010)ADSCrossRefGoogle Scholar
- 28.Busl, M., Granger, G., Gaudreau, L., Sánchez, R., Kam, A., Pioro-Ladriere, M., Studenikin, S.A., Zawadzki, P., Wasilewski, Z.R., Sachrajda, A.S., Platero, G.: Bipolar spin blockade and coherent state superpositions in a triple quantum dot. Nat. Nanotechnol. 8, 261 (2013)ADSCrossRefGoogle Scholar
- 29.Aers, G.C., Studenikin, S.A., Granger, G., Kam, A., Zawadzki, P., Wasilewski, Z.R., Sachrajda, A.S.: Coherent exchange and double beam splitter oscillations in a triple quantum dot. Phys. Rev. B 86, 045316 (2012)ADSCrossRefGoogle Scholar
- 30.Laird, E.A., Taylor, J.M., DiVincenzo, D.P., Marcus, C.M., Hanson, M.P., Gossard, A.C.: Coherent spin manipulation in an exchange-only qubit. Phys. Rev. B 82, 075403 (2010)ADSCrossRefGoogle Scholar
- 31.Gaudreau, L., Granger, G., Kam, A., Aers, G.C., Studenikin, S.A., Zawadzki, P., Pioro-Ladriere, M., Wasilewski, Z.R., Sachrajda, A.S.: Coherent control of three-spin states in a triple quantum dot. Nat. Phys. 8, 54 (2012)CrossRefGoogle Scholar
- 32.Taylor, J.M., Srinivasa, V., Medford, J.: Electrically protected resonant exchange qubits in triple quantum dots. Phys. Rev. Lett. 111, 050502 (2013)ADSCrossRefGoogle Scholar
- 33.Medford, J., Beil, J., Taylor, J.M., Rashba, E.I., Lu, H., Gossard, A.C., Marcus, C.M.: Quantum-dot-based resonant exchange qubit. Phys. Rev. Lett. 111, 050501 (2013)ADSCrossRefGoogle Scholar
- 34.Shi, Z., Simmons, C.B., Prance, J.R., Gamble, J.K., Koh, T.S., Shim, Y.-P., Hu, X., Savage, D.E., Lagally, M.G., Eriksson, M.A., Friesen, M., Coppersmith, S.N.: Fast hybrid silicon double-quantum-dot qubit. Phys. Rev. Lett. 108, 140503 (2012)ADSCrossRefGoogle Scholar
- 35.Hawrylak, P., Korusinski, M.: Voltage-controlled coded qubit based on electron spin. Solid State Commun. 136, 508 (2005)ADSCrossRefGoogle Scholar
- 36.Bułka, B.R., Kostyrko, T., Łuczak, J.: Linear and nonlinear Stark effect in a triangular molecule. Phys. Rev. B 83, 035301 (2011)ADSGoogle Scholar
- 37.Łuczak, J., Bułka, B.R.: Readout and dynamics of a qubit built on three quantum dots. Phys. Rev. B 90, 165427 (2014)ADSCrossRefGoogle Scholar
- 38.Rogge, M.C., Haug, R.J.: Two-path transport measurements on a triple quantum dot. Phys. Rev. B 77, 193306 (2008)ADSCrossRefGoogle Scholar
- 39.Rogge, M.C., Haug, R.J.: Noninvasive detection of molecular bonds in quantum dots. Phys. Rev. B 78, 153310 (2008)ADSCrossRefGoogle Scholar
- 40.Rogge, M.C., Haug, R.J.: The three dimensionality of triple quantum dot stability diagrams. New J. Phys. 11, 113037 (2009)ADSCrossRefGoogle Scholar
- 41.Seo, M., Choi, H.K., Lee, S.-Y., Kim, N., Chung, Y., Sim, H.-S., Umansky, V., Mahalu, D.: Charge frustration in a triangular triple quantum dot. Phys. Rev. Lett. 110, 046803 (2013)ADSCrossRefGoogle Scholar
- 42.Amaha, S., Hatano, T., Kubo, T., Teraoka, S., Tokura, Y., Tarucha, S., Austing, D.G.: Stability diagrams of laterally coupled triple vertical quantum dots in triangular arrangement. Appl. Phys. Lett. 94, 092103 (2009)ADSCrossRefGoogle Scholar
- 43.Trif, M., Troiani, F., Stepanenko, D., Loss, D.: Spin-electric coupling in molecular magnets. Phys. Rev. Lett. 101, 217201 (2008)ADSCrossRefGoogle Scholar
- 44.Tsukerblat, B.: Group-theoretical approaches in molecular magnetism: metal clusters. Inorg. Chim. Acta 361, 3746 (2008)CrossRefGoogle Scholar
- 45.Zwanenburg, F.A., Dzurak, A.S., Morello, A., Simmons, M.Y., Hollenberg, L.C.L., Klimeck, G., Rogge, S., Coppersmith, S.N., Eriksson, M.A.: Silicon quantum electronics. Rev. Mod. Phys. 85, 961 (2013)ADSCrossRefGoogle Scholar
- 46.Simmons, C.B., Prance, J.R., Van Bael, B.J., Koh, T.S., Shi, Z., Savage, D.E., Lagally, M.G., Joynt, R., Friesen, M., Coppersmith, S.N., Eriksson, M.A.: Tunable spin loading and \(T_1\) of a silicon spin qubit measured by single-shot readout. Phys. Rev. Lett. 106, 156804 (2011)ADSCrossRefGoogle Scholar
- 47.Kostyrko, T., Bułka, B.R.: Canonical perturbation theory for inhomogeneous systems of interacting fermions. Phys. Rev. B 84, 035123 (2011)ADSCrossRefGoogle Scholar
- 48.Shi, Z., Simmons, C.B., Ward, D.R., Prance, J.R., Mohr, R.T., Koh, T.S., Gamble, J.K., Wu, X., Savage, D.E., Lagally, M.G., Friesen, M., Coppersmith, S.N., Eriksson, M.A.: Coherent quantum oscillations and echo measurements of a Si charge qubit. Phys. Rev. B 88, 075416 (2013)ADSCrossRefGoogle Scholar
- 49.Culcer, D., Hu, X., Das Sarma, S.: Dephasing of Si spin qubits due to charge noise. Appl. Phys. Lett. 95, 073102 (2009)ADSCrossRefGoogle Scholar
- 50.Hauke, P., Cucchietti, F.M., Tagliacozzo, L., Deutsch, I., Lewenstein, M.: Can one trust quantum simulators? Rep. Prog. Phys. 75, 082401 (2012)ADSCrossRefGoogle Scholar
- 51.Kayanuma, Y., Fukuchi, S.: On the probability of non-adiabatic transitions in multiple level crossings. J. Phys. B: At. Mol. Phys. 18, 4089 (1985)ADSCrossRefGoogle Scholar
- 52.Shytov, A.V.: Landau–Zener transitions in a multilevel system: an exact result. Phys. Rev. A 70, 052708 (2004)ADSCrossRefGoogle Scholar
Copyright information
Open AccessThis article is distributed under the terms of the Creative Commons Attribution 4.0 International License (http://creativecommons.org/licenses/by/4.0/), which permits unrestricted use, distribution, and reproduction in any medium, provided you give appropriate credit to the original author(s) and the source, provide a link to the Creative Commons license, and indicate if changes were made.




