The effect of uncertain material properties on free vibrations of thin periodic plates
- 416 Downloads
Abstract
Thin periodic plates with uncertain properties in a periodicity cell are investigated. To describe dynamics of these plates the non-asymptotic tolerance modelling method, cf. Woźniak and Wierzbicki (Averaging techniques in thermomechanics of composite solids. Wydawnictwo Politechniki Częstochowskiej, Częstochowa, 15), Woźniak et al. (eds.) (Thermomechanics of microheterogeneous solids and structures. Tolerance averaging approach. Wydawnictwo Politechniki Łódzkiej, Łódź, 16), for those plates is applied. The governing equations of tolerance models based on this method take into account the effect of period lengths on the overall behaviour of the plate. Hence, the additional effects of the periodicity can be analysed, as higher order vibrations. Moreover, properties of the plate in the periodicity cell are determined uncertainly. To analyse an influence of random variables of the properties with a fixed probability distribution on vibrations of the plate the Monte Carlo analysis is applied.
Keywords
Thin periodic plate Uncertain properties Effect of a microstructure size Tolerance method Monte Carlo method1 Introduction
Elements of constructions in the civil engineering are often periodic structures, e.g. elements of roofs, walls, elements of building foundations, having periodic distribution of reinforcements. Using these elements, constructions can be more optimally designed. However, materials used to made of these structures can have properties specified with some probability. These uncertain properties can play a role in some dynamic problems of such structures.
A fragment of thin periodic plate
Unfortunately, in governing equations of most averaged models the effect of period lengths (called also the effect of the microstructure size) on the overall dynamic plate behaviour is usually omitted. However, some of these effects, like higher order vibrations can be also considered using some special methods. For example, in paper of Zhou et al. [14] an application of the Bloch’s theorem and the centre finite difference method is used to a problem of free flexural vibration of periodic stiffened thin plates in order to obtain basic and higher frequencies as well.
This effect can be taken into account in the governing equations of non-asymptotic averaged models, based on the tolerance averaging method, presented and discussed for periodic composites and structures in the monograph by Woźniak and Wierzbicki [15] and in the book edited by Woźniak et al. [16]. The tolerance averaging procedure is applied to investigate non-stationary problems for various periodic structures in a series of papers, e.g. for periodic grounds by Dell’Isola et al. [17]; for periodic Kirchhoff’s type plates by Jędrysiak [18, 19, 20]; for wavy plates by Michalak [21, 22]; for thin plates reinforced by a periodic system of stiffeners by Nagórko and Woźniak [23]; for Hencky–Bolle’s type plates by Baron [24]; for vibrations of thin periodic plates with the microstructure size of an order of the plate thickness by Mazur-Śniady et al. [25]; for honeycomb periodic lattice-type plates by Cielecka and Jędrysiak [26]; for thin cylindrical periodic shells by Tomczyk [27, 28]; for medium thickness plates resting on a periodic Winkler’s foundation by Jędrysiak and Paś [29]; for periodic three-layered plates by Marczak and Jędrysiak [30]; for nonlinear vibrations of slender periodic beams by Domagalski and Jędrysiak [31]. All these papers showed that the effect of the microstructure size plays a crucial role in dynamics of periodic structures. Moreover, some stability problems of periodic structures are analysed with this effect, e.g. dynamic stability for periodic plates by Jędrysiak [32] and for periodic shells by Tomczyk [28]. Static problems of periodic structures are also considered, e.g. periodic thin plates with moderately large deflections are analysed by Domagalski and Jędrysiak [33, 34]. This modelling method is applied successfully to analysis some non-stationary and stationary problems of functionally graded structures, e.g. stability of functionally graded structure interacting with elastic heterogeneous subsoil is considered by Perliński et al. [35]; transversally graded thin plates are analysed by Jędrysiak and Kaźmierczak [36]; Pazera and Jędrysiak [37] show thermoelastic phenomena in transversally graded laminates; heat conduction phenomenon in micro-heterogeneous solids was investigated by Ostrowski and Michalak [38, 39].
On the other side, an influence of uncertain parameters or properties of various structures using different methods is investigated in many papers, e.g.: a sensitivity of probabilistic characteristics in an eigenvalue problem and buckling is considered by Śniady and Żukowski [40]. Probabilistic approaches are used to show some formulations of optimal structural design problems for beams with internal cracks by Banichuk et al. [41]. Vibrations of a beam with periodically varying geometry under moving load using a deterministic and stochastic approach are analysed by Mazur-Śniady and Śniady [42], where to a dynamics of the beam is used the tolerance averaging approach. An application of a perturbation method of geometrically nonlinear uncertain systems under static and dynamic deterministic loads is used by Impollonia and Muscolino [43]. By Li and Chen [44] it is proposed a probability density evolution method to analyse a dynamic response of structures with random parameters. A certain overview of non-probabilistic methods for non-deterministic numerical analysis, and a comparison to the classical probabilistic approaches is presented by Moens and Vandepitte [45]. By Śniady et al. [46] a probabilistic dynamic analysis of a structure with uncertain parameters under stochastic excitations is shown. Statistical dynamic responses of geometrically nonlinear shells with stochastic Young’s modulus are considered by Chang et al. [47], where the stochastic finite element method with the perturbation technique and the Newton–Raphson iteration procedure are applied. Axial vibrations of a finite micro-periodic rod with uncertain parameters under a moving random load are analysed by Mazur-Śniady et al. [48], where the perturbation method is used and the tolerance averaging approach is applied to pass from differential equations with periodic coefficients to differential equations with constant coefficients. Natural frequencies of a bridge beam are modelled by fuzzy numbers, random variables or fuzzy random variables by Gładysz and Śniady [49]. By Chiba [50] the Monte Carlo method is used to analytical solutions for the deterministic temperature and thermal stresses, obtained for an axisymmetrically heated functionally graded annular disc of variable thickness with spatially random heat transfer coefficients. The effects of dispersion in material properties on free vibration response of composite plates with geometric nonlinearity in von-Karman sense are investigated by Singh et al. [51]. A non-stationary stochastic excitation process is used to a flexural stiffness or eigenvalue frequency identification of a linear structure by Jarczewska et al. [52], where the dynamical problem is transformed into a static one by integrating the input and the output signals. The generalized stochastic perturbation technique is applied to thermo-piezoelectric analysis of solid continua by Kamiński and Corigliano [53], where the discretization is made of the stochastic perturbation-based finite element method. The effect of the prestress on the overall mechanical properties of the random elastic composite with residual stresses is considered by Dal Corso and Deseri [54]. First order perturbation technique is applied to find the solution of random eigenvalue problem by Shegokar and Lal [55], where large amplitude free vibrations of shear deformable functionally graded material beams with thermopiezoelectric loadings, and with random material properties are presented. An efficient uncertainty quantification scheme for frequency responses of laminated composite plates is examined by Dey et al. [56]. Seçgin et al. [57] introduced a modal impedance technique for mid frequency vibration analyses and employed a Monte Carlo simulation for uncertainty analysis. The cantilever non-uniform gravity-loaded Euler–Bernoulli beams are numerically analysed to find the probabilistic nature of the stiffness distribution for the known probability distributions of the frequencies by Sarkar et al. [58].
The main aim of this note is to investigate a problem of the influence of uncertain parameters of a thin periodic plate on its vibrations. In order to make this dynamic analysis a non-asymptotic averaged model, called the tolerance model, which describes the effect of the microstructure size in non-stationary problems, is applied. Some probabilistic characteristics of free vibrations of the plate, which has a periodicity cell with uncertain material properties, are analysed using the Monte Carlo simulation method. Hence, in this paper it is investigated the influence of random variables of the properties with a fixed probability distribution on fundamental lower and additional higher vibrations of the plate.
2 Fundamental relations
Let 0x 1 x 2 x 3 be the orthogonal Cartesian co-ordinate system in the physical space and t be the time co-ordinate. Let subscripts α, β, …(i, j, …) run over 1, 2 (over 1, 2, 3) and indices A, B,… (a, b,…) run over 1,…,N (1,…,n). It is assumed that summation convention holds for all aforementioned indices. Let us introduce x ≡ (x 1,x 2) and z ≡ x 3. Let the region Ω ≡ {(x,z): −d(x)/2 < z < d(x)/2, x ∈ Π} be occupied by the undeformed plate, with Π as the midplane with length dimensions L 1, L 2 along the x 1- and x 2-axis, respectively, and d(x) as the plate thickness.
Plates under consideration are assumed to have a periodic structure along the x 1- and x 2-axis directions with periods l 1, l 2, respectively, in planes parallel to the plate midplane. By ∆ ≡ [−l 1/2, l 1/2] × [−l 2/2, l 2/2] the periodicity basic cell on 0x 1 x 2 plane is denoted. The cell size is specified by a parameter l ≡ [(l 1)2 + (l 2)2]1/2, which satisfies the condition max(d) ≪ l ≪ min(L 1,L 2), and l is called the microstructure parameter. Let (·),α ≡ ∂/∂x α denote the partial derivatives with respect to a space co-ordinate.
Properties of the plate, i.e. thickness d(x), elastic moduli a ijkl = a ijkl (x,z) and mass density ρ = ρ(x,z) can be periodic functions in x. Moreover, the material plate properties are assumed to be even functions in z. Denote by a αβγδ, a αβ33, a 3333 the non-zero components of the elastic moduli tensor. Hence, we define c αβγδ ≡ a αβγδ–a αβ33 a γδ33(a 3333)−1.
Let u i , e ij and s ij , be displacements, strains and stresses, respectively; \(\bar{u}_{i}\) and \(\bar{e}_{ij}\)—virtual displacements and virtual strains; p—loadings along the z-axis.
- The kinematic assumptions of thin plateswhere w(x,t) is the deflection of the midplane. Similarly, these are for virtual displacements:$$u_{\alpha } ({\mathbf{x}},z,t) = - z\partial_{\alpha } w({\mathbf{x}},t),\quad u_{3} ({\mathbf{x}},z,t) = w({\mathbf{x}},t),$$(1)$$\bar{u}_{\alpha } ({\mathbf{x}},z) = - z\partial_{\alpha } \bar{w}({\mathbf{x}}),\quad \bar{u}_{3} ({\mathbf{x}},z) = \bar{w}({\mathbf{x}}).$$(2)
- The strain–displacement relations$$e_{\alpha \beta } = u_{(\alpha ,\beta )} .$$(3)
- The stress–strain relations (it is assumed that the plane of elastic symmetry is parallel to the plane z = 0)with:$$s_{\alpha \beta } = c_{\alpha \beta \gamma \delta } e_{\gamma \delta } ,$$(4)$$c_{\alpha \beta \gamma \delta } = a_{\alpha \beta \gamma \delta } - a_{\alpha \beta 33} a_{33\gamma \delta } /a_{3333} ,\quad c_{\alpha 3\gamma 3} = a_{\alpha 3\gamma 3} - a_{\alpha 333} a_{33\gamma 3} /a_{3333} .$$(5)
- The virtual work equationwhich is satisfied for arbitrary virtual displacements (2) neglected on the plate boundary; da = dx 1 dx 2; the virtual displacements are sufficiently regular, independent functions.$$\int_{\varPi } {\int_{ - d/2}^{d/2} {\rho \ddot{u}_{i} \bar{u}_{i} dzda} } + \int_{\varPi } {\int_{ - d/2}^{d/2} {s_{\alpha \beta } \bar{e}_{\alpha \beta } dzda} } = \int_{\varPi } {p\bar{u}_{3} ({\mathbf{x}},\tfrac{d}{2})da} { ,}$$(6)
- the constitutive equations:$$m_{\alpha \beta } = d_{\alpha \beta \gamma \delta } w_{,\gamma \delta } ,$$(8)
- the equilibrium equation:$$m_{\alpha \beta ,\alpha \beta } + \mu \ddot{w} - j\ddot{w}_{,\alpha \alpha } = p,$$(9)
For periodic plates coefficients of Eqs. (8)–(9) [or (10)] are highly oscillating, periodic functions in x, cf. (7), and can be also discontinuous. Finding solutions to these equations is rather very difficult.
Firstly, in this paper original equations are replaced by systems of equations with constant coefficients of approximated models, which describe (or not) the information about the microstructure of considered plates. Secondly, the effect of uncertain properties of the plate in the periodicity cell is analysed, using the Monte Carlo simulation method.
3 Tolerance modelling
3.1 Introductory concepts
Some introductory concepts are used in the tolerance modelling. Following books [15, 16] some of them are reminded below.
Let ∂ k φ be the kth gradient of function φ = φ(x), x ∈ Π, k = 0, 1,…,α, α ≥ 0, and ∂0φ ≡ φ. Let \(\tilde{\phi }^{(k)} = \tilde{\phi }^{(k)} ({\mathbf{x}},{\mathbf{y}})\) be a function defined in \(\bar{\varPi } \times {\text{R}}^{m}\), and \(\tilde{\phi } \equiv \tilde{\phi }^{(0)}\). Denote also \(\varPi_{{\mathbf{x}}} \equiv \varPi \cap \mathop \cup \limits_{{{\mathbf{z}} \in \Delta ({\mathbf{x}})}} \Delta ({\mathbf{z}})\), \({\mathbf{x}} \in \bar{\varPi }\).
3.2 Tolerance fundamental assumptions
In the tolerance modelling there are used two fundamental modelling assumptions. These assumptions are formulated in the general form in the books [15, 16]. Below, they are presented in the form for thin periodic plates.
3.3 The modelling procedure
In the modelling procedure there are applied the above concepts and fundamental assumptions. The procedure can be divided into four steps.
Applying the divergence theorem and the du Bois–Reymond lemma to Eq. (21) after some manipulations governing equations of the tolerance model are obtained.
4 Models equations
4.1 Tolerance model
- the constitutive equations:$$M_{\alpha \beta } = D_{\alpha \beta \gamma \delta } W_{,\gamma \delta } + D_{\alpha \beta }^{A} V^{A} ,\quad M^{A} = D_{\alpha \beta }^{A} W_{,\gamma \delta } + D^{AB} V^{B} ,$$(23)
- the equilibrium equations:$$\begin{aligned} & M_{\alpha \beta ,\alpha \beta } + m\ddot{W} - \vartheta \ddot{W}_{,\alpha \alpha } - l\vartheta_{\alpha }^{A} \ddot{V}_{,\alpha }^{A} = P, \\ & M^{A} + l\vartheta_{\alpha }^{A} \ddot{W}_{,\alpha } + l^{2} (l^{2} m^{AB} + \vartheta_{\alpha \beta }^{AB} )\ddot{V}^{B} = l^{2} P^{A} . \\ \end{aligned}$$(24)
Equations (23)–(24) together with micro–macro decomposition (17) define the tolerance model of thin periodic plates. These equations have constant coefficients and involve terms with the microstructure parameter l. Hence, this model describes the effect of the microstructure size on the overall plate behaviour by these terms in the governing equations. For considered plates boundary conditions have to be formulated only for the macrodeflection W. Moreover, the basic unknowns of Eqs. (23)–(24) have to satisfy the following conditions: \(W( \cdot ,t),\;V^{A} ( \cdot ,t) \in SV_{\delta }^{2} (\varPi ,\Delta ),\) i.e. they are slowly-varying functions in x.
4.2 Asymptotic model
Model equations of the asymptotic model can be obtained, from the formal point of view, using the asymptotic modelling procedure. Below, this is done by simply neglecting O(l n ) terms, n = 1,2,…, in Eqs. (23)–(24).
- the constitutive equations:$$\begin{aligned} & M_{\alpha \beta } = D_{\alpha \beta \gamma \delta } W_{,\gamma \delta } + D_{\alpha \beta }^{A} V^{A} , \\ & M^{A} = D_{\alpha \beta }^{A} W_{,\gamma \delta } + D^{AB} V^{B} , \\ \end{aligned}$$(25)
- the equilibrium equations:$$M_{\alpha \beta ,\alpha \beta } + m\ddot{W} - \vartheta \ddot{W}_{,\alpha \alpha } = P,\quad M^{A} = 0,$$(26)
It can be observed that Eqs. (25)–(26) with micro–macro decomposition (17) constitute the asymptotic model of thin periodic plates. This model describes these plates under consideration only on the macro level.
5 An example: vibrations of a plate band
5.1 Introduction
A fragment of thin periodic plate band under consideration
A periodicity cell of the plate band under consideration
5.2 Free vibrations of a periodic plate band
5.3 Free vibration frequencies of a periodic plate band
5.4 Benchmark analysis
Tolerance model natural frequencies and its relative errors for the first three modes (TM—the tolerance model; FEM—the finite element method; AS—the analytical solution)
| Mode | TM ω− [1/s] | FEM | AS | ||
|---|---|---|---|---|---|
| ω [1/s] | ε [%] | ω [1/s] | ε [%] | ||
| Uniform plate band for E″/E′ = ρ″/ρ′ = 1 | |||||
| 1 | 9.444 | 9.444 | 0.000 | 9.445 | 0.003 |
| 2 | 37.773 | 37.770 | 0.008 | 37.779 | 0.015 |
| 3 | 84.971 | 84.955 | 0.019 | 85.002 | 0.037 |
| Heterogeneous plate band for E″/E′ = ρ″/ρ′ = 0.8 | |||||
| 1 | 9.426 | 9.406 | 0.006 | ||
| 2 | 37.700 | 37.621 | 0.001 | ||
| 3 | 84.808 | 84.628 | 0.000 | ||
| Heterogeneous plate band for E″/E′ = ρ″/ρ′ = 0.5 | |||||
| 1 | 9.238 | 9.089 | 1.644 | ||
| 2 | 36.948 | 36.358 | 1.624 | ||
| 3 | 83.115 | 81.820 | 1.583 | ||
6 Calculational results
Now, some calculational results for the plate band presented in Sect. 5 are shown below.
6.1 Introduction
Numerical simulations are made using the Monte Carlo method, in which it is assumed that ratios (36) are calculated around of their expected value 0.5 in 10,000 points. Since formulas (37) are quite complex, we expect that the new random variables of frequencies might be not of normal distributions (non-vanishing skewness and kurtosis). They could be however close to such ones, what will be investigated.
-
generate expected values of frequencies for the above random variables;
-
calculate variances of frequencies;
-
calculate standard deviations of frequencies;
-
calculate kurtoses of frequencies;
-
calculate skewnesses of frequencies;
-
calculate coefficients of variation of frequencies.
All calculations are made for the following values of dimensionless parameters of the plate: ν = 0.3, d/l = 0.1, l/L = 0.1.
6.2 Results
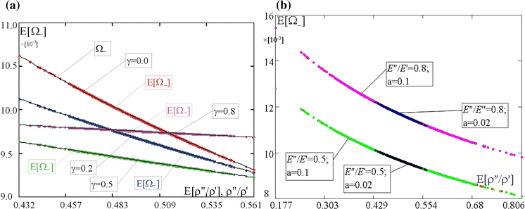
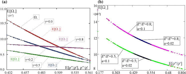
Plots of lower frequency parameters Ω− versus E[ρ″/ρ′]: a with a parameter a = 0.02 (d/l = 0.1; l/L = 0.1; E″/E′ = 0.5), b with a parameter a = 0.02 or a = 0.1 (d/l = 0.1; l/L = 0.1; γ = 0.2)
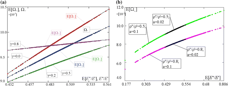
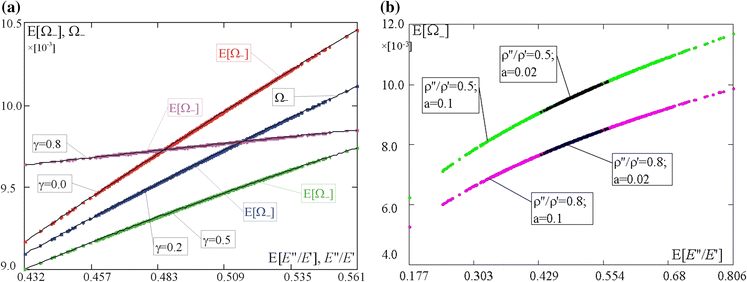
Plots of lower frequency parameters Ω− versus E[E″/E′]: a with a parameter a = 0.02 (d/l = 0.1; l/L = 0.1; ρ″/ρ′ = 0.5), b with a parameter a = 0.02 or a = 0.1 (d/l = 0.1; l/L = 0.1; γ = 0.2)
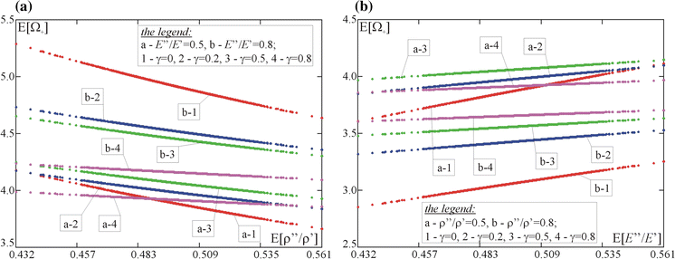
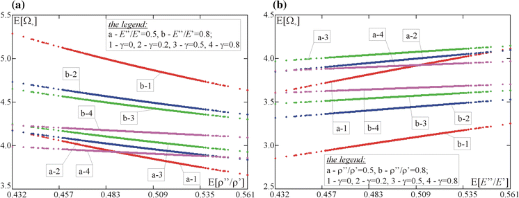
Plots of higher frequency parameters: a Ω+ versus E[ρ″/ρ′], b Ω+ versus E[E″/E′]; for a parameter a = 0.02 and d/l = 0.1; l/L = 0.1
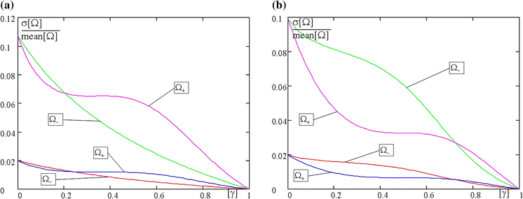
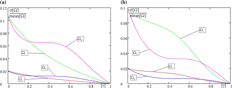
Plots of coefficient of variation of frequency parameters versus γ ∈ [0;1] for: a uncertained ratio ρ″/ρ′ (E″/E′ = 0.5); b uncertained ratio E″/E′ (ρ″/ρ′ = 0.5); (d/l = 0.1; l/L = 0.1; a = 0.02,0.1)
Plots of variances var(Ω) of frequency parameters versus a ∈ [0.01;0.1] (for ratio of Young’s modulus E[E″/E′] = 0.25;0.5;0.75; for parameter γ = 0.2;0.5;0.8; d/l = 0.1; l/L = 0.1): a lower frequency parameter Ω−; b frequency parameter Ω; c higher frequency parameter Ω+
Plots of standard deviations dev(Ω) of frequency parameters versus a ∈ [0.01;0.1] (for ratio of Young’s modulus E[E″/E′] = 0.25;0.5;0.75; for parameter γ = 0.2;0.5;0.8; d/l = 0.1; l/L = 0.1): a lower frequency parameter Ω−; b frequency parameter Ω; c higher frequency parameter Ω+
Plots of kurtoses kurt(Ω) of frequency parameters versus a ∈ [0.01;0.1] (for ratio of Young’s modulus E[E″/E′] = 0.25;0.5;0.75; for parameter γ = 0.2;0.5;0.8; d/l = 0.1; l/L = 0.1): a lower frequency parameter Ω−; b frequency parameter Ω; c higher frequency parameter Ω+
Plots of skewnesses skew(Ω) of frequency parameters versus a ∈ [0.01;0.1] (for ratio of Young’s modulus E[E″/E′] = 0.25;0.5;0.75; for parameter γ = 0.2;0.5;0.8; d/l = 0.1; l/L = 0.1): a lower frequency parameter Ω−; b frequency parameter Ω; c higher frequency parameter Ω+
In Figs. 8, 9, 10 and 11 there are shown curves of probabilistic functions of frequencies versus parameter a ∈ [0.01;0.1] assumed for the random variable E″/E′ with its expected values E[E″/E′] = 0.25, 0.5 and 0.75. These diagrams are made for fixed values of ratio ρ″/ρ′ = 0.25, 0.5, 0.75, and fixed values of parameter γ = 0.2, 0.5, 0.8. Figure 8 presents variances of analyzed frequencies—lower frequency by the tolerance model var[Ω−], lower frequency by the asymptotic model var[Ω], higher frequency by the tolerance model var[Ω+]. Standard deviations of these frequencies σ[Ω−], σ[Ω], σ[Ω+] can be observed in Fig. 9. Kurtoses of them kurt[Ω−], kurt[Ω], kurt[Ω+] are shown in Fig. 10, and Fig. 11 presents skewnesses skew[Ω−], skew[Ω], skew[Ω+].
6.3 Discussion of results
- a)
From Figs. 4, 5 and 6 it can be observed that plots of analyzed frequencies calculated from the tolerance and asymptotic models have identical values for random variables E″/E′ or ρ″/ρ′ (with their expected values equal 0.5 and parameter a = 0.02, 0.1) as for fixed ratios E″/E′ or ρ″/ρ′ (for their values from intervals [0.177,0.806] or [0.432,0.561]).
- b)
For parameter γ = 0.0 obtained frequencies are related to certain homogeneous plate bands, cf. Figs. 4a, 5a, 6, i.e. the Young’s modulus of the plate is E = E″ and the mass density ρ = ρ″, e.g. in Fig. 6 curves a-1, b-1.
- c)
Coefficient of variation of both frequencies, lower and higher, from the tolerance model are rather smaller than assumed values of these parameters (a = 0.02, 0.1) for random variables ρ″/ρ′ or E″/E′ (cf. Fig. 7). It means that these ratios of normal distribution generate new random variables, the free vibration frequencies, having smaller coefficients of variation then a. Hence, knowing at the beginning coefficient a, we can perhaps predict with even higher probability the value of free vibration frequency. Only for small values of parameter γ (cf. Fig. 3), γ ≤ 0.05, coefficient of variation of frequencies for random variable ρ″/ρ′ is greater than this parameter assumed for this variable.
- d)Values of variances of frequencies are small and close to zero:
- e)The greatest values of variances of all frequencies are for small values of parameter γ, γ = 0.2, and expected values of ratio E″/E′, E″/E′ = 0.25, Fig. 8a–c. For other values of parameter γ and expected values of ratio E″/E′ variances are smaller than:
- f)Values of kurtoses of frequencies are small and near zero:
- g)The greatest values of kurtoses of frequencies are:
-
for lower frequency of the tolerance model—for values of parameter a ≤ 0.74 and for small values of parameter γ, γ = 0.2, and expected values of ratio E″/E′, E″/E′ = 0.25, but for a > 0.74—for γ = 0.2 and E″/E′ = 0.5, Fig. 10a,
-
for lower frequency of the asymptotic model and higher of the tolerance model—for small values of parameter γ, γ = 0.2, and expected values of ratio E″/E′, E″/E′ = 0.25, Fig. 10b, c.
For other values of parameter γ and expected values of ratio E″/E′ kurtoses are smaller than:-
for lower frequency from the tolerance model they are smaller than 0.8, Fig. 10a,
-
for lower frequency from the asymptotic model they are smaller than 0.5, Fig. 10b,
-
for higher frequency from the tolerance model they are smaller than 0.08, Fig. 10c.
-
All these results suggest so far that we deal here with non-Gaussian distribution of frequency since the kurtosis is not zero. However, the more similar materials we use as plate components, the closer to normal distribution of frequencies we get. Especially for the higher frequencies.
-
- h)Absolute values of skewnesses of frequencies are small and close to zero:
- i)The greatest absolute values of skewnesses of frequencies are:
-
for lower frequency of the tolerance model—for values of parameter a ≤ 0.82 and for small values of parameter γ, γ = 0.2, and expected values of ratio E″/E′, E″/E′ = 0.25, but for a > 0.82—for γ = 0.2 and E″/E′ = 0.5, Fig. 11a,
-
for lower frequency of the asymptotic model and higher of the tolerance model—for small values of parameter γ, γ = 0.2, and expected values of ratio E″/E′, E″/E′ = 0.25, Fig. 10b, c.
-
- j)For other values of parameter γ and expected values of ratio E″/E′ absolute values of skewnesses are smaller than:
As mentioned above to the kurtoses, the obtained numerical results show that the frequencies are new random variables, close to the one with normal distribution.
7 Final remarks
Using the tolerance averaging method, which was proposed for periodic structures by Woźniak and Wierzbicki [15] and summarized in the book edited by Woźniak et al. [16], the governing equations with constant coefficients of a non-asymptotic averaged tolerance model for thin periodic plates is derived. The tolerance model makes it possible to analyse the effect of the microstructure size on vibrations of these plates.
- 1.
The proposed tolerance model is governed by equations with terms dependent explicitly on parameter l (being the diameter of the periodicity cell). Thus, certain phenomena of dynamics, related to the internal periodic structure of the plate, can be investigated in the framework of this model, e.g. additional higher free vibration frequencies.
- 2.
Neglecting terms with parameter l in the governing equations, we obtain an averaged model, called the asymptotic model, which makes it possible to analyse dynamical problems of such plates only on the macrolevel.
- 3.
The benchmark analysis revealed sufficiently small differences of frequencies from tolerance model compared to the finite element method. It justified use of the proposed mathematical model to the forthcoming numeric experiments.
- 4.
The tolerance model together with the known probabilistic methods, e.g. the Monte Carlo method, can be applied successfully to analyse the effect of random variables of the properties with a fixed probability distribution on vibrations.
- 1.
Based on the values of kurtoses and skewnesses (cf. Figs. 10, 11), which are relatively close to zero for sufficiently small parameter a, the new random variables—of lower and higher frequencies obtained from the tolerance model—can be treated as variables of Gaussian distribution. This is direct consequence of assuming that Young’s modulus ratio E″/E′ and mass densities ratio ρ″/ρ′ are random variables of normal distribution, and of dependence character of frequencies from material properties.
- 2.
It can be also observed that obtained coefficient of variation for these frequencies is smaller or equal to this parameter assumed for the random variables of properties E″/E′, ρ″/ρ′, for the most cases determined by parameter γ > 0.05. This could be used to the frequencies prognosis in considered structures. Another words, knowing statistics of input random variables (like mean value and coefficient of variation), we get frequencies as the new random variables and its expected values given with the same or even greater probability then the input ones.
Some other applications of the presented models to dynamic problems of thin periodic plates with uncertain properties will be presented in the forthcoming papers.
Notes
Acknowledgements
This research was supported in part by PLGrid Infrastructure under grant number plgpostrow2016a.
Compliance with ethical standards
Conflict of interest
The authors declare that they have no conflict of interest.
References
- 1.Bensoussan A, Lions J-L, Papanicolaou G (1978) Asymptotic analysis for periodic structures. North-Holland, AmsterdamMATHGoogle Scholar
- 2.Caillerie D (1984) Thin elastic and periodic plates. Math Methods Appl Sci 6:159–191CrossRefMATHMathSciNetGoogle Scholar
- 3.Kohn RV, Vogelius M (1984) A new model for thin plates with rapidly varying thickness. Int J Solids Struct 20:333–350CrossRefMATHGoogle Scholar
- 4.Matysiak SJ, Nagórko W (1989) Microlocal parameters in the modelling of microperiodic plates. Ing Arch 59:434–444CrossRefMATHGoogle Scholar
- 5.Matysiak SJ, Perkowski DM (2014) Temperature distributions in a periodically stratified layer with slant lamination. Heat Mass Transf 50:75–83ADSCrossRefGoogle Scholar
- 6.Ambartsumyan SA (1969) Theory of anisotropic plates. Tech Pub CoGoogle Scholar
- 7.Reinhall PG, Miles RN (1989) Effect of damping and stiffness on the random vibration of non-linear periodic plates. J Sound Vib 132:33–42ADSCrossRefMATHGoogle Scholar
- 8.Massimo R, Panos T (2003) Control of wave propagation in sandwich plate rows with periodic honeycomb core. J Eng Mech 129(9):975–986CrossRefGoogle Scholar
- 9.Batra RC, Qian LF, Chen LM (2004) Natural frequencies of thick square plates made of orthotropic, trigonal, monoclinic, hexagonal and triclinic materials. J Sound Vib 270:1074–1086ADSCrossRefGoogle Scholar
- 10.He W-M, Chen W-Q, Qiao H (2013) Two-scale analytical solutions of multilayered composite rectangular plates with in-plane small periodic structure. Eur J Mech A Sol 40:123–130CrossRefMathSciNetGoogle Scholar
- 11.Fantuzzi N, Tornabene F, Viola E, Ferreira AJM (2014) A strong formulation finite element method (SFEM) based on RBF and GDQ techniques for the static and dynamic analyses of laminated plates of arbitrary shape. Meccanica 49:2503–2542CrossRefMATHMathSciNetGoogle Scholar
- 12.Zhi-Jing W, Li F-M, Wang Y-Z (2014) Vibration band gap properties of periodic Mindlin plate structure using the spectral element method. Meccanica 49:725–737CrossRefMATHMathSciNetGoogle Scholar
- 13.Grygorowicz M, Magnucki K, Malinowski M (2015) Elastic buckling of a sandwich beam with variable mechanical properties of the core. Thin Walled Struct 87:127–132CrossRefGoogle Scholar
- 14.Zhou XQ, Yu DY, Shao X, Wang S, Tian YH (2014) Band gap characteristics of periodically stiffened-thin-plate based on center-finite-difference-method. Thin Walled Struct 82:115–123CrossRefGoogle Scholar
- 15.Woźniak C, Wierzbicki E (2000) Averaging techniques in thermomechanics of composite solids. Wydawnictwo Politechniki Częstochowskiej, CzęstochowaMATHGoogle Scholar
- 16.Woźniak C, Michalak B, Jędrysiak J (eds) (2008) Thermomechanics of microheterogeneous solids and structures. Tolerance averaging approach. Wydawnictwo Politechniki Łódzkiej, ŁódźGoogle Scholar
- 17.Dell’Isola F, Rosa L, Woźniak C (1998) A micro-structural continuum modelling compacting fluid-saturated grounds. Acta Mech 127:165–182CrossRefMATHMathSciNetGoogle Scholar
- 18.Jędrysiak J (1999) Dynamics of thin periodic plates resting on a periodically inhomogeneous Winkler foundation. Arch Appl Mech 69:345–356CrossRefMATHGoogle Scholar
- 19.Jędrysiak J (2003) Free vibrations of thin periodic plates interacting with an elastic periodic foundation. Int J Mech Sci 45(8):1411–1428CrossRefMATHGoogle Scholar
- 20.Jędrysiak J (2009) Higher order vibrations of thin periodic plates. Thin Walled Struct 47:890–901CrossRefGoogle Scholar
- 21.Michalak B (2000) Vibrations of plates with initial geometrical periodical imperfections interacting with a periodic elastic foundation. Arch Appl Mech 70:508–518CrossRefMATHGoogle Scholar
- 22.Michalak B (2001) The meso-shape functions for the meso-structural models of wavy-plates. ZAMM 81:639–641ADSCrossRefMATHGoogle Scholar
- 23.Nagórko W, Woźniak C (2002) Nonasymptotic modelling of thin plates reinforced by a system of stiffeners. Electr J Polish Agric Univ Civ Eng 5(2). www.ejpau.media.pl
- 24.Baron E (2003) On dynamic behaviour of medium-thickness plates with uniperiodic structure. Arch Appl Mech 73:505–516CrossRefMATHGoogle Scholar
- 25.Mazur-Śniady K, Woźniak C, Wierzbicki E (2004) On the modelling of dynamic problems for plates with a periodic structure. Arch Appl Mech 74:179–190CrossRefMATHGoogle Scholar
- 26.Cielecka I, Jędrysiak J (2006) A non-asymptotic model of dynamics of honeycomb lattice-type plates. J Sound Vibr 296:130–149ADSCrossRefGoogle Scholar
- 27.Tomczyk B (2007) A non-asymptotic model for the stability analysis of thin biperiodic cylindrical shells. Thin Walled Struct 45:941–944CrossRefGoogle Scholar
- 28.Tomczyk B (2010) Dynamic stability of micro-periodic cylindrical shells. Mech Mech Eng 14:137–150Google Scholar
- 29.Jędrysiak J, Paś A (2014) Dynamics of medium thickness plates interacting with a periodic Winkler’s foundation: non-asymptotic tolerance modeling. Meccanica 49:1577–1585CrossRefMATHMathSciNetGoogle Scholar
- 30.Marczak J, Jędrysiak J (2015) Tolerance modelling of vibrations of periodic three-layered plates with inert core. Compos Struct 134:854–861CrossRefGoogle Scholar
- 31.Domagalski Ł, Jędrysiak J (2016) Geometrically nonlinear vibrations of slender meso-periodic beams. The tolerance modelling approach. Compos Struct 136:270–277CrossRefGoogle Scholar
- 32.Jędrysiak J (2007) The tolerance averaging model of dynamic stability of thin plates with one-directional periodic structure. Thin Walled Struct 45:855–860CrossRefGoogle Scholar
- 33.Domagalski Ł, Jędrysiak J (2012) On the elastostatics of thin periodic plates with large deflections. Meccanica 47:1659–1671CrossRefMATHMathSciNetGoogle Scholar
- 34.Domagalski Ł, Jędrysiak J (2015) On the tolerance modelling of geometrically nonlinear thin periodic plates. Thin Walled Struct 87:183–190CrossRefGoogle Scholar
- 35.Perliński W, Gajdzicki M, Michalak B (2014) Modelling of annular plates stability with functionally graded structure interacting with elastic heterogeneous subsoil. J Theor Appl Mech 52:485–498Google Scholar
- 36.Jędrysiak J, Kaźmierczak-Sobińska M (2015) On free vibration of thin functionally graded plate bands resting on an elastic foundation. J Theor Appl Mech 53:629–642CrossRefGoogle Scholar
- 37.Pazera E, Jędrysiak J (2015) Thermoelastic phenomena in transversally graded laminates. Compos Struct 134:663–671CrossRefGoogle Scholar
- 38.Ostrowski P, Michalak B (2015) The combined asymptotic-tolerance model of heat conduction in a skeletal micro-heterogeneous hollow cylinder. Compos Struct 134:343–352CrossRefGoogle Scholar
- 39.Ostrowski P, Michalak B (2016) A contribution to the modelling of heat conduction for cylindrical composite conductors with non-uniform distribution of constituents. Int J Heat Mass Transf 92:435–448CrossRefGoogle Scholar
- 40.Śniady P, Żukowski S (1994) Design sensitivity random eigenvalue problem in dynamics and buckling of structures. In: Spanos PD et al (eds) Probabilistic structural mechanics: advances in structural reliability methods. Springer, BerlinGoogle Scholar
- 41.Banichuk N, Ragnedda F, Serra M (1999) Probabilistic approaches for optimal beam design based on fracture mechanics. Meccanica 34:29. doi: 10.1023/A:1004399922580 CrossRefMATHMathSciNetGoogle Scholar
- 42.Mazur-Śniady K, Śniady P (2001) Dynamic response of a micro-periodic beam under moving load-deterministic and stochastic approach. J Theor Appl Mech 39:323–338MATHGoogle Scholar
- 43.Impollonia N, Muscolino G (2002) Static and dynamic analysis of non-linear uncertain structures. Meccanica 37:179–192CrossRefMATHGoogle Scholar
- 44.Li J, Chen JB (2004) Probability density evolution method for dynamic response analysis of structures with uncertain parameters. Comput Mech 34:400–409CrossRefMATHGoogle Scholar
- 45.Moens D, Vandepitte D (2006) Recent advances in non-probabilistic approaches for nondeterministic dynamic finite element analysis. Arch Comput Methods Eng 13:389–464CrossRefMATHGoogle Scholar
- 46.Śniady P, Adamowski R, Kogut G, Zielichowski-Haber W (2008) Spectral stochastic analysis of structures with uncertain parameters. Prob Eng Mech 23:76–83CrossRefGoogle Scholar
- 47.Chang T-P, Liu M-F, Chang H-C (2008) Finite element analysis of nonlinear shell structures with uncertain material property. Thin Walled Struct 46:1055–1065CrossRefGoogle Scholar
- 48.Mazur-Śniady K, Śniady P, Zielichowski-Haber W (2009) Dynamic response of micro-periodic composite rods with uncertain parameters under moving random load. J Sound Vib 320:273–288ADSCrossRefGoogle Scholar
- 49.Gładysz M, Śniady P (2009) Spectral density of the bridge beam response with uncertain parameters under a random train of moving forces. Arch Civ Mech Eng 9:31–47CrossRefGoogle Scholar
- 50.Chiba R (2009) Stochastic thermal stresses in an FGM annular disc of variable thickness with spatially random heat transfer coefficients. Meccanica 44:159. doi: 10.1007/s11012-008-9158-y CrossRefMATHMathSciNetGoogle Scholar
- 51.Singh BN, Bisht AKS, Pandit MK, Shukla KK (2009) Nonlinear free vibration analysis of composite plates with material uncertainties: a Monte Carlo simulation approach. J Sound Vib 324(1–2):126–138ADSCrossRefGoogle Scholar
- 52.Jarczewska K, Koszela P, Śniady P, Korzec A (2011) Identification of the structure parameters using short-time non-stationary stochastic excitation. J Sound Vib 330(14):3352–3367ADSCrossRefGoogle Scholar
- 53.Kamiński M, Corigliano A (2012) Sensitivity, probabilistic and stochastic analysis of the thermo-piezoelectric phenomena in solids by the stochastic perturbation technique. Meccanica 47:877. doi: 10.1007/s11012-011-9458-5 CrossRefMATHMathSciNetGoogle Scholar
- 54.Dal Corso F, Deseri L (2013) Residual stresses in random elastic composites: nonlocal micromechanics-based models and first estimates of the representative volume element size. Meccanica 48:1901. doi: 10.1007/s11012-013-9713-z CrossRefMATHMathSciNetGoogle Scholar
- 55.Shegokar NL, Lal A (2014) Stochastic finite element nonlinear free vibration analysis of piezoelectric functionally graded materials beam subjected to thermo-piezoelectric loadings with material uncertainties. Meccanica 49:1039. doi: 10.1007/s11012-013-9852-2 CrossRefMATHMathSciNetGoogle Scholar
- 56.Dey S, Mukhopadhyay T, Spickenheuer A, Adhikari S, Heinrich G (2016) Bottom up surrogate based approach for stochastic frequency response analysis of laminated composite plates. Compos Struct 140:712–727CrossRefGoogle Scholar
- 57.Seçgin A, Kara M, Ozankan A (2016) A modal impedance technique for mid and high frequency analysis of an uncertain stiffened composite plate. J Sound Vib 366:396–406ADSCrossRefGoogle Scholar
- 58.Sarkar K, Ganguli R, Ghosh D et al (2016) Closed-form solutions and uncertainty quantification for gravity-loaded beams. Meccanica 51:1465. doi: 10.1007/s11012-015-0314-x CrossRefMATHMathSciNetGoogle Scholar
Copyright information
Open AccessThis article is distributed under the terms of the Creative Commons Attribution 4.0 International License (http://creativecommons.org/licenses/by/4.0/), which permits unrestricted use, distribution, and reproduction in any medium, provided you give appropriate credit to the original author(s) and the source, provide a link to the Creative Commons license, and indicate if changes were made.










