Multi-stage classifier design
- 576 Downloads
- 7 Citations
Abstract
In many classification systems, sensing modalities have different acquisition costs. It is often unnecessary to use every modality to classify a majority of examples. We study a multi-stage system in a prediction time cost reduction setting, where the full data is available for training, but for a test example, measurements in a new modality can be acquired at each stage for an additional cost. We seek decision rules to reduce the average measurement acquisition cost. We formulate an empirical risk minimization problem (ERM) for a multi-stage reject classifier, wherein the stage k classifier either classifies a sample using only the measurements acquired so far or rejects it to the next stage where more attributes can be acquired for a cost. If we restrict ourselves to binary classification setting then, to solve the ERM problem, we show that the optimal reject classifier at each stage is a combination of two binary classifiers, one biased towards positive examples and the other biased towards negative examples. We use this parameterization to construct stage-by-stage global surrogate risk, develop an iterative algorithm in the boosting framework and present convergence and generalization results. We test our work on synthetic, medical and explosives detection datasets. Our results demonstrate that substantial cost reduction without a significant sacrifice in accuracy is achievable.
Keywords
Multi-stage classification Sequential decision Boosting Cost sensitive learning1 Introduction
In many applications including homeland security and medical diagnosis, decision systems are composed of an ordered sequence of stages. Each stage is associated with a sensor or a physical sensing modality. Typically, a less informative sensor is cheap (or fast) while a more informative sensor is either expensive or requires more time to acquire a measurement. In practice, a measurement budget (or throughput constraint) does not allow all the modalities to be used simultaneously in making decisions. The goal in these scenarios is to attempt to classify examples with low cost sensors and limit the number of examples for which more expensive or time consuming informative sensor is required.
For example, in explosives detection, in the first stage, an infrared imager or a metal detector can be used with high throughput and low cost. A second stage could be the use of a slower, more expensive active millimeter wave (AMMW) scanner. The final third stage is a time consuming human inspection. In medical applications, first stages are typically non-invasive procedures (such as a physical exam) followed by more expensive tests (blood test, CT scan etc) and the final stages are invasive (surgical) procedures.
- (A)
Sensors & ordered stages: Each stage is associated with a new sensor measurement or a sensing modality. Multiple stages are an ordered sequence of sensors or sensor modalities with later stages corresponding to expensive or time-consuming measurements. In many situations, there is often some flexibility in choosing a sensing modality from a collection of possible modalities. In these cases, the optimal choice of sensing actions also becomes an issue. While our methodology can be modified to account for this more general setting, we primarily consider a fixed order of stages and sensing modalities in this paper. This is justified on account of the fact that many of the situations we have come across consist of a handful of sensors or sensing modalities. Consequently, for these situations, the problem of choosing sensor ordering is not justified since one could by brute force enumerate and optimize over the different possibilities.
- (B)
Reject classifiers: Our sequential decision rules either attempt to fully classify an instance at each stage or “reject” the instance on to the next stage for more measurements in case of ambiguity. For example, in explosives detection, a decision rule in the first stage, based on IR scan, would attempt to detect whether or not a person is a threat and identify the explosive type/location in case of a threat. If the person is identified as a threat at the first stage it is unnecessary (and indeed dangerous—the explosive could be detonated) to seek more information. Similarly in medical diagnosis if a disease is diagnosed at an early stage, it makes sense to begin early treatment rather than waiting for more conclusive tests.
- (C)
Information vs. computation: Note that our setup can only use the partial measurements acquired up to a stage in making a decision. In other methods, such as detection cascades (Viola and Jones 2004), the full measurement and therefore all the information is available to every stage. Therefore, any region in the feature space can be carved out with more complex regions in the measurement space, or equivalently complex features can be extracted but with higher costs. In contrast, we have only partial measurements (or information) and so any feature or classifier that we employ has to be agnostic to unavailable measurements at that stage.
Multi-stage system consists of K stages. Each stage is a binary classifier with a reject option. The system incurs a penalty of δ k+1 at kth stage if it rejects to seek more measurements. The kth classifier only sees the first k sensing modalities in making a decision
Advantage of a 2 stage classifier: 10 samples, binary (squares, circles). The red line is the optimal decision when using only 1st stage modality. The blue line is optimal if using both. The curve is classification error vs. samples rejected (cost) The red point corresponds to classifying everything at stage 1. The blue corresponds to rejecting everything and classifying using both modalities. The green is a partial reject strategy. The samples outside the green region are classified using only the first modality, and samples inside the region are rejected to stage 2 and are classified using both modalities. Note that blue and green have the same error, while the reject strategy (green) has to use 2nd stage sensor only for \({1 \over2}\) of examples, reducing the cost by a factor of 2 (Color figure online)
Our approach is based on the so-called Prediction Time Cost Reduction approach (Kanani and Melville 2008). Specifically, we assume a set of training examples in which measurements from all the sensors or sensing modalities as well as the ground truth labels are available. Our goal is to derive sequential reject classifiers that reduces cost of measurement acquisition and error in the prediction (or testing) phase.
We show that this sequential reject classifier problem can be formulated as an instance of a partially observable Markov Decision Process (POMDP) (Kaelbling et al. 1998) when the class-specific probability models for the different sensor measurements are known. In this case the optimal sequential classifier can be cast as a solution to a Dynamic Program (DP). The DP solution is a sequence of stage-wise optimization problems, where each stage problem is a combination of the cost from the current stage and the cost-to-go function that is carried on from later stages.
Nevertheless, class probability models are typically unknown; our scenarios produce high-dimensional sensor data (such as images). Consequently, unlike some of the conventional approaches (Ji and Carin 2007), where probability models are first estimated to solve POMDPs, we have to adopt a non-parametric discriminative learning approach. We utilize the structure of the POMDP solution to empirically approximate the value of the cost-to-go function only at a discrete subset of the data-space. Next, instead of interpolating or parameterizing the cost-to-go function and learning it from data, we formulate an empirical discriminative objective that utilizes point-wise cost-to-go estimates evaluated on the training set and directly learn classifiers that minimize this objective. Using this decomposition, we formulate a novel multi-stage expected risk minimization (ERM) problem.
We solve this ERM problem at each stage by first factoring the cost function into classification and rejection decisions. When probability models are known, optimal strategies for a multi-class setting are given by the DP solution, but it is unclear how to mimic these strategies in the empirical setting. However, if we restrict ourselves to a binary classification setting then we can transform reject decisions into binary classification problems. Specifically, we show that the optimal reject classifier at each stage is a combination of two binary classifiers, one biased towards positive examples and the other biased towards negative examples. The disagreement region of the two then defines the reject region.
We then approximate this empirical risk with a global surrogates. We present an iterative solution and demonstrate local convergence properties. The solution is obtained in a boosting framework. We then extend well-known margin-based generalization bounds (Schapire et al. 1998) to this multi-stage setting. We tested our methods on synthetic, medical and explosives datasets. Our results demonstrate an advantage of multistage classifier: cost reduction without a significant sacrifice in accuracy.
1.1 Related work
1.1.1 Active feature acquisition (AFA)
The subject of this paper is not new and has been studied in the Machine Learning community as early as (MacKay 1992). Our work is closely related to the so called prediction time active feature acquisition (AFA) approach in the area of cost-sensitive learning. The goal there is to make sequential decisions of whether or not to acquire a new feature to improve prediction accuracy. A natural approach is to formalize a problem as an POMDP. Ji and Carin (2007) and Kapoor and Horvitz (2009) model the decision process and infer feature dependencies while taking acquisition costs into account. Sheng and Ling (2006), Bilgic and Getoor (2007), and Zubek and Dietterich (2002) study strategies for optimizing decision trees while minimizing acquisition costs. The construction is usually based on some purity metric such as entropy. Kanani and Melville (2008) propose a method that acquires an attribute if it increases an expected utility. However, all these methods require estimating a probability likelihood that a certain feature value occurs given the features collected so far. While surrogates based on classifiers or regressors can be employed to estimate likelihoods, this approach requires discrete, binary or quantized attributes. In contrast, our problem domain deals with high dimensional measurements (images consisting of million of pixels), so we develop a discriminative learning approach and formulate a multi-stage empirical risk optimization problem to reduce measurement costs and misclassification errors. At each stage, we solve the reject classification problem by factorizing the cost function into classification and rejection decisions. We then embed the rejection decision into a binary classification problem.
1.1.2 Single stage reject classifiers
(a) Gaussian Mixture (binary). (b) Error rate vs reject rate on complementary measurements. 1st stage uses only dim 1. 2nd stage uses only dim 2. Myopic strategy (green) is thresholding the margin of the classifier, our method is global surrogate; Bayesian classifier (best performance). Thresholding the margin performs significantly worse than our method (Color figure online)
1.1.3 Detection cascades
Our multi-stage sequential reject classifiers bears close resemblance to detection cascades. There is much literature on cascade design (see Zhang and Zhang 2010; Chen et al. 2012 and references therein) but most cascades roughly follow the set-up introduced by Viola and Jones (2004) to reduce computation cost during classification. At each stage in a cascade, there is a binary classifier with a very high detection rate and a mediocre false alarm rate. Each stage makes a partial decision; it either detects an instance as negative or passes it on to the next stage. Only the last stage in the cascade makes a full decision, namely, whether the example belongs to a positive or negative class.
There are several fundamental differences between detection cascades and the multi-stage reject classifiers (MSRC). A key difference is the system architecture. Detection cascades make partial binary decisions, delaying a positive decision until the final stage. In contrast, MSRCs can make full classification decisions at any stage. Conceptually, this distinction requires a fundamentally new approach; detection cascades work because their focus is on unbalanced problems with few positives and a large number of negatives; and so the goal at each stage is to admit large false positives with negligible missed detections. Consequently, each stage can be associated with a binary classification problem that is acutely sensitive to missed detections. In contrast, our scheme at each stage is a composite scheme composed of a classifier as well as a rejection decision. The rejection decision is itself a binary classification problem. In practice, MSRCs arise in important areas such as medical diagnosis and explosives detection as we argued in Sect. 1, item (B). As a performance metric detection cascades tradeoff missed detections at the final stage with average computation. MSRC’s tradeoff average misclassification errors against number of examples that reached later stages (i.e. required more sensors or sensing modalities). For these reasons it is difficult to directly compare algorithms developed for MSRCs to those developed for detection cascades. Nevertheless, our goals and resulting algorithms are similar to some of the issues that arise in cascade design (see Chen et al. 2012 and references therein), namely, perform a joint optimization for all the stages in a cascade given a cost structure for different features.
1.1.4 Other cost sensitive methods
Network intrusion detection systems (IDS) is an area where sequential decision systems have been explored (see Fan et al. 2000; Lee et al. 2002; Cordella and Sansone 2007). In IDS, features have different computation costs. For each cost level, a ruleset is learned. The goal is to use as many low cost rules as possible. In a related set-up, Fan et al. (2002) and Wang et al. (2003) consider a more general ensemble of base classifiers and explore how to minimize the ensemble size without sacrificing performance. In the test phase, for a sample, another classifier is added to the ensemble if the confidence of the current classification low. Here, similar to detection cascades, the goal is to reduce computation time. As we described in Sect. 1, item (C), the important distinction is that, in our setting, a decision is based only on the partial information acquired up to a stage. In a computation driven method, a stage (or base classifier) decides using a feature computed from the full measurement vector.
2 Problem statement
Let Open image in new window
be distributed according to an unknown distribution Open image in new window
. A data point has K features, x={x 1,x 2,…,x K }, and belongs to one of C classes indicated by its label y. A kth feature is extracted from a measurement acquired at kth stage. x k is allowed to be a vector. We define a truncated feature vector at kth stage: x k ={x 1,x 2,…,x k }. Let Open image in new window
be the space of the first k features such that Open image in new window
.
, or delay the decision until the next stage, f k (x k )=r and incur a penalty of δ k+1. Here, r indicates the “reject” decision. f k has to make a decision using only the first k sensing modalities. The last stage K is terminal, a standard classifier. Define the system risk to be, Here, R k is the cost of classifying at kth stage, and S k (x k )∈{0,1} is the binary state variable indicating whether x has been rejected up to kth stage. If x is active and is misclassified, the penalty is 1.1 If it is rejected then the system incurs a penalty of δ k+1, and the state variable for that example remains at 1. 2.1 Bayesian setting
In this section, we will digress from the discriminative setting and analyze the problem under the assumption that the underlying distribution Open image in new window
is known. In doing so, we hope to discover some fundamental structure that will simplify our empirical risk formulation in the next section.
is known the problem reduces to an POMDP, and the optimal strategy is to minimize the expected risk, If we allow arbitrary decision functions then we can equivalently minimize conditional risk, This problem—by appealing to dynamic programming—remarkably reduces to a single stage optimization problem for a modified risk function. To see this, we denote the cost-to-go, and the modified risk functional, and prove the following theorem,Theorem 1
Proof
The main implication of this result is that if the cost-to-go function \(\tilde{\delta}^{k}(\mathbf{x}^{k})\) is known then the risk \(\tilde{R}_{k}(\cdot)\) is only a function of the current stage decision f k . Therefore, we can ignore all of the other stages and minimize a single stage risk. Effectively, we decomposed the multi-stage problem in Eq. (4) into a stage-wise optimization in Eq. (5).
Note that the modified risk functional, \(\tilde{R}_{k}\), is remarkably similar to R k except that the modified reject cost \(\tilde{\delta}^{k}(\mathbf{x}^{k})\) replaces the constant stage cost δ k . Also, consider the range for which δ k (x k ) is meaningful. If we have C classes then a random guessing strategy would incur an average risk of \(1-\frac{1}{C}\). Therefore the risk for rejecting, \(\tilde{\delta}^{k}(\mathbf{x}^{k}) \leq1-\frac{1}{C}\) in order to be a meaningful option. The work in Chow (1970) contains a detailed analysis of single stage reject classifier in a Bayesian setting.
In the analysis of the POMDP, we allowed multiple classes because it is a natural extension of the binary case. However, each stage still has C+1 decisions, and it is unclear how to parameterizing such multi-class classifier with a reject option in an empirical setting. Parameterizing regular multi-class learning is a difficult problem in itself, and most existing techniques (Allwein et al. 2001) reduce the problem to a series of binary learning methods. In our setting, the reject option cannot be treated as an additional class since there is no ground truth labels for which examples should be rejected. So in forming the empirical risk problem, we restrict ourselves to the binary setting since it allows for an intuitive parametrization of a reject option which we describe in the next section. We leave the multi-class setting to be the subject of future research.
Reject classifier as two binary decisions
Theorem 2
Proof
for binary variables a,b,c. Optimal Reject Region can be expressed as the disagreement region of two binary classifiers (f n and f p )
2.2 Stage-wise empirical minimization
In this section, we assume that the probability model Open image in new window
is no longer known and cannot be estimated due to high-dimensionality of the data. Instead, our task is to find multi-stage decision rules based on a given training set: (x 1,y 1),(x 2,y 2),…,(x N ,y N ). Here, we consider binary classification setting: y i ∈{+1,−1}.
. Instead of trying to learn this complex function, we will define a point-wise empirical estimate of the cost-to-go on the training data:
. Observe that, as in standard setting, we need to constrain the class of decision rules Open image in new window
here. This is because with no constraints the minimum risk is equal to zero and can be achieved in the first stage itself.Note, our stage-wise decomposition significantly simplifies the ERM. The objective in Eq. (18) is only a function of \(f_{p}^{k},f_{n}^{k}\) given \(\tilde{\delta}^{k}_{i}\) and the state \(S^{k}_{i}\). To minimize an empirical version of a multi-stage risk in Eq. (3) is much more difficult due to stage interdependencies.
Note the advantage of our parametrization from Theorem 2. We converted the problem from learning a complicated three region decision to learning two binary classifiers (f p ,f n ), where learning each of the binary classifiers reduces to solving a weighted binary classification problem. This is desirable since binary classification is a very well studied problem, and existing machine learning techniques can be utilized here, as we will demonstrate in the next section.
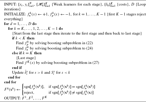
3 Algorithm
Minimizing the indicator loss is a hard problem. Instead, we take the usual ERM (empirical risk minimization; Friedman et al. 2001) approach and replace it with a surrogate. We introduce an algorithm in the boosting framework based on the analysis from the previous section. Boosting is just one of our many possible machine learning approaches that can be used to solve it. We use boosting because it is easy to implement and is known to have good performance.
Boosting is a way to combine simple classifiers to form a strong classifier. We are given a set of such weak classifiers Open image in new window
. Note that the set of weak classifiers need not be finite. Also, denote Open image in new window
as a subset of weak classifiers that operate only on the first k measurements of x. Open image in new window
.
Global surrogate
In our algorithm, we use the sigmoid loss function \(\mathbf{C}(z)={1 \over1+\exp(z)} \) to approximate the indicator. Similar sigmoid based losses have been used in boosting before (Masnadi-Shirazi and Vasconcelos 2009). Each subproblem (19) reduces to boosting a weighted loss.
: To solve for \(f_{n}^{k}\), we solve the same problem but keep \(f_{p}^{k}\) constant instead: Note that the terms \(\tilde{\delta}_{i}^{k}\) and \(S_{i}^{k}\) do not depend on stage k and remain constant when solving for \(f_{p}^{k}\) and \(f_{n}^{k}\). For the ease of notation, we define a new term C r that indicates if x i is rejected at a kth stage. The term is close to one if \(f^{k}_{p}\) and \(f^{k}_{n}\) disagree (reject) and small if they agree. Our algorithms performs cyclical optimization over the stages. To initialize \(f^{k}_{n},~f^{k}_{p}~\forall k\), we simply hard code \(f^{k}_{p}\) to classify any x as +1 and \(f^{k}_{n}\) as −1 so that all x’s are rejected to the last stage. Using these nominal classifiers, we compute \(S^{k}_{i}\) and \(\delta^{k}_{i}\) according to Eqs. (25) and (26), respectively.
At a stage k, for a fixed \(\delta^{k}_{i}\) and \(S^{k}_{i}\), we alternate among minimizing \(f^{k}_{p}\) and \(f^{k}_{n}\) according to Eqs. (22) and (24). In practice, we found that one iteration is sufficient.
Given a new estimate of stage k, we update \(\delta^{s}_{i}\) for s>k and \(S^{s}_{j}\) for s<k and then move on to optimizing another stage k′. Given an estimate for stage k′, we again update the state variables and cost-to-go for the rest of the system.
Global algorithm
Our formulation allows us to form a surrogate for the entire risk in Eq. (1), not just for each subproblem. This enables us to prove the following theorem,
Theorem 3
Our global surrogate algorithm converges to a local minimum.
Proof
This is simply due to a fact that we are minimizing a global smooth cost function by coordinate descent over \(\mathbf{q}_{p}^{1}, \mathbf{q}^{1}_{n}, \mathbf{q}_{p}^{2}, \mathbf{q}^{2}_{n}, \ldots, \mathbf{q}^{K}\). Here, \(\mathbf{q}^{k}_{p}\) is the vector of weak learner weights parameterizing \(f^{k}_{p}\). For the derivation of three stage system global cost refer to Appendix B. □
However, since the global loss and the loss for each subproblem are non-convex programs, there is no global optimality guarantee. Theorem 3 ensures that our algorithm terminates.
Regularization to reduce overfitting
To reduce overtraining, we introduce a simple but effective regularization. For any loss C(z) and a parameter λ, we introduce a multiplicative term to the cost function: Open image in new window
. Here, \(C'(z)=\frac{dC(z)}{dz}\). The term exp(λ|q|) limits how large a step size for a weak hypothesis can become. It also introduces a simple stopping criteria: abort if \({\sum_{i=1}^{n} C'(y_{i} f_{t}(x_{i})) y_{i} h_{t+1}(x_{i}) \over\sum_{i=1}^{n} \mathbf{C}(y_{i} f_{t}(x_{i}))} \leq\lambda\). This corresponds to a situation when no descent directions ( weak hypothesis h t+1 ) can be found to minimize the cost function.
4 Generalization error
Theorem 4
be a distribution on Open image in new window
, and let Open image in new window
be a sample of m examples chosen independently at random according to Open image in new window
, and a rejected subsample of size m r , Open image in new window
. Assume that the base-classifier spaces Open image in new window
and Open image in new window
are finite, and let δ>0. Then with probability at least 1−δ over the random choice of the training set S, all boosted classifiers \(f^{1}_{n},f^{1}_{p},f^{2}\) satisfy the following bound for all θ 1>0 and θ 2>0: Proof
The proof extends the approach in Schapire et al. (1998) to a two stage system. For complete details please refers to the appendix. □
5 Experiments
The goal is to demonstrate that a large fraction of data can be classified at an early stage using a cheap modality. In our experiments, we use four real life datasets with measurements arising from meaningful stages.
5.1 Related algorithms
We compare our algorithm to two methods:
Myopic
An absolute margin of a classifier is a measure of how confident a classifier is on an example. Examples with small margin have low confidence and should be rejected to the next stage to acquire more features. This approach is based on reject classification (Bartlett and Wegkamp 2008). We know from Theorem 1 that the optimal classifier is a threshold of the posterior. For each stage, we obtain a binary boosted classifier, f k (⋅), trained on all the data. We then threshold the margin of the classifier, |f k (x k )|. It is known that given an infinite amount of training data, boosting certain losses (sigmoid loss in our case) approaches the log likelihood ratio, \(f(\mathbf{x})={1 \over2} \log{ \mathrm{P}(y=1|\mathbf{x}) \over \mathrm{P}(y=-1|\mathbf{x})}\) (Masnadi-Shirazi and Vasconcelos 2009). So a reject region for a given threshold t k is defined: {x∣|f k (x)|≤t k }. This is a completely myopic approach as the rejection does not take into account performance of later stages. This method is very similar to TEFE (Liu et al. 2008) which also uses absolute margin as a measure for rejection. The difference is that our myopic strategy is a boosting classifier not an SVM as used in TEFE.
Expected utility/margin
denotes the possible values that x k+1 can take. Note this approach requires estimating P(x k+1|x k ),2 therefore the (k+1)th measurement has to be discrete or distribution needs to be parametrized. Due to this limitation, we only compare this method on two datasets.5.2 Simulations
Performance metric
A natural performance metric is the trade off between system error and measurement cost. Note, for utility and myopic methods, it is unclear how to set a thresholds t k for each stage given a measurement cost δ k . For this reason, we only compare them in a two stages system. More than two stages is not-practical because we would need to test every possible t k for every stage k.
In a two stage setting, since every example has to pass through the first stage, only the cost of the second stage, δ 2, affects the performance. The average measurement cost of the system is proportional to δ 1+ (the fraction of examples rejected to the second stage) ×δ 2. So knowing the exact cost of the second stage sensor, δ=δ 2, is not necessary. In our algorithm, we vary δ to generate a system error vs reject rate plot. For margin and utility, we sweep a threshold t k . System error is the sum of 1st stage and 2nd stage errors. Reject rate is the fraction of examples rejected to the 2nd stage and require additional measurements. Low reject rate (cost) corresponds to higher error rate as most of the data will be classified at the first stage using less informative measurements. High reject rate will have performance similar to a centralized classifier, as most examples will be classified at the 2nd stage.
Set up
In all our experiments, we use stumps as weak learners. A stump classifier h d,g,s ∈{+1,−1} is parametrized by a threshold g on dth dimension and a sign variable s∈{+1,−1}: h d,g,s (x)=s×sgn[x d −g]. We chose stumps for their simplicity, computation speed and relatively good performance. While more complicated weak learners, such as decision trees can be used, they would only change the absolute performance of our experiments. The entire curves would just move vertically up or down. Our goal is to demonstrate the advantage of a multi-stage classifier relative to the centralized system (a system that uses all the measurements for all examples).
Dataset descriptions
| Name | Size | 1st stage | 2nd stage |
|---|---|---|---|
| Gaussian mixture | 1000 | 1st dim | 2nd dim |
| Mammogram mass | 830 | 3 CAD meas. | Radiologist rating |
| Pima diabetes | 810 | 6 simple tests: BMI, sex, … | 2 blood tests |
| Polyps | 310 | 12 freq. bins | 126 freq. bins |
| Threat | 1300 | Images in IR, PMMW | Images in AMMW |
Performance illustration for different datasets (quantitate view of the curves). Datasets have 2 sensing modalities. Centralized denotes the test error obtained with all modalities. Last three columns denote performance for different approaches. Performance is measured by the average number of examples requiring 2nd stage to achieve error close to centralized. Utility approach does not work for last three datasets due to high-dimensionality issues. We note the significant gains of our approach over competing ones of many interesting datasets
| Name | Centralized | Utility | Myopic | Ours |
|---|---|---|---|---|
| 2D Gaussian Mix | 0.09 | 50 % | – | 30 % |
| Mammogram | 0.165 | 60 % | – | 15 % |
| Pima diabetes | 0.26 | – | 60 % | 45 % |
| Polyps | 0.24 | – | 75 % | 50 % |
| Threat | 0.185 | – | 50 % | 45 % |
Discrete valued data experiments
To compare our method to the utility approach, we consider discrete data. The first dataset is a quantized (with 20 levels) Gaussian mixture synthetic data in two dimension. The 1st dimension is stage one; the 2nd dimension is stage two. The second dataset is Mammogram Mass from UCI Machine Learning Repository. It is used to predict the severity of a mammographic mass lesion (malicious or benign). It contains 3 attributes extracted from the CAD image and also an evaluation by a radiologist on a confidence scale in addition to the true biopsy results. The first stage are features extracted from the CAD image, and the second stage is the expert confidence rated on a discrete scale 1–5. Automatic analysis of the CAD image is cheaper than employing an opinion of a radiologist.
Comparison of Global to Utility on (a) quantized two Gaussian clusters and (b) mammogram dataset. Reject Rate vs System Error. Reject Rate is the fraction of examples with measurements from both stages. Our approach outperforms Utility possibly because we do not need to estimate probability likelihoods
Continuous valued data experiments
We compare our global method to the myopic method on three datasets. The Pima Indians Diabetes Dataset (UCI MLR) consists of 8 measurements. Since the stages are not specified in this dataset, we group measurements with similar costs into separate modalities. 6 of the measurements are inexpensive to acquire and consist of simple tests such as body mass index, age, pedigree. These we designate as the first stage. The other two measurements constitute the second stage and require more expensive procedures.
The polyp dataset consists of hyper-spectral measurements of colon polyps collected during colonoscopies (Rodríguez-Díaz and Castañón 2009). The attribute is a measured intensity at 126 equally spaced frequencies. Finer resolution requires higher photon count which is proportional to acquisition time. For a first stage, we use a coarse measurement downsampled to only 12 frequency bins. The second stage is the full resolution frequency response. Using the course measurements is cheaper than acquiring the full resolution.
The threat dataset contains images taken of people wearing various explosives devices. The imaging is done in three modalities: infrared (IR), passive millimeter wave (PMMW), and active millimeter (AMMW). All the images are registered. We extract many patches from the images and use them as our training data. A patch carries a binary label, it either contains a threat or is clean. IR and PMMW are the fastest modalities but also less informative. AMMW requires raster scanning a person and is slow but also the most useful.
Three datasets are evaluated: pima, polyps and threat. Reject Rate vs Error Rate for a varying reject cost δ. Reject Rate is the fraction of examples with measurements from both stages. Global and Myopic are compared. Global (our approach) has a better performance over all while Myopic does better in some situations
The goal is to reach the performance of a centralized classifier (100 % reject rate) while utilizing the 2nd stage sensor only for a small fraction of examples. Overall, the results demonstrate the benefit of multi-stage classification: rejection rate can be set to less than 50 % with only small sacrifices in performance. For the mammogram data, this implies that for half of the patients a diagnoses can be made solely by an automatic analysis of a CAD image without an expensive opinion of a radiologist. For the Pima data, similar error can be achieved without an expensive medical procedures. For the polyps dataset, a fast low resolution measurement is enough to classify a large fraction of patience. In the threat dataset, IR and PMMW are sufficient to decide whether or not a threat is present for the majority of instances without requiring a person to go through a slower AMMW scanner.
Unbalanced false positive and false negative penalties
Two Stage ROC using the global surrogate method. Each ROC curve corresponds to a different value of reject cost δ. The inset displays average reject rate for δ’s. Note, the red ROC corresponds to the centralized system (100 % reject rate). Very good performance can be achieved by requesting only 50 % of instances to be measured at the second stage (Color figure online)
Three stages
Three Stage System. The color maps error. A point on the map corresponds to a performance of a particular multistage classification strategy. The vertical axis is the fraction of examples for which only IR and PMMW measurements are used in making a decision. The horizontal axis is the fraction of examples for which all three modalities are used. An example red point in the figure, {.4,.15,.195}, correspond to a system where 40 % of examples use IR and PMMW, 15 % use only IR and the rest of data (45 %) use all the modalities. And this strategy achieves a system error rate of 19.5 % (Color figure online)
6 Conclusion
In this paper, we propose a general framework for a sequential decision system in a non-parametric setting. Starting from basic principles, we derive the Bayesian optimal solution. Then, to simplify the problem, we parameterize a classifier at each stage in terms of two binary decisions. We formulate an ERM problem and optimize it by alternatively minimizing one stage at a time. Remarkably, all subproblems turn out to be weighed binary error minimizations. We introduce a practical boosting algorithm that minimizes a global surrogate of the empirical risk and test it on several datasets. Results show the advantage of our formulation to more heuristic approaches. Overall, our experiments demonstrate how multi-stage classifiers can achieve good performance by acquiring full measurements only for a fraction of samples.
Footnotes
- 1.
To simplify our discussion, we consider equal error penalties. However, our approach can be easily extended to unbalanced error penalties as we will demonstrate in the experiments section.
- 2.
While there are many different ways to estimate a probability likelihood we used a Gaussian mixture due to its computational efficiency. The number of mixture components is equal to the number of discrete values that x 2 can take from an alphabet Open image in new window
. The conditional P(x 1∣x 2=j) is a Gaussian whose parameters are learned from the training set. Using Bayes rule, \(\mathrm{P}(x_{2} \mid x_{1})=\frac{\mathrm{P}(x_{1} \mid x_{2})}{ \sum_{x' \in X2} \mathrm{P}(x_{1} \mid x_{2}=x')}\).
Notes
Acknowledgements
This work is partially supported by the U.S. DHS Award 2008-ST-061-ED000, NSF Grant 0932114 and NGA Grant HM1582-09-1-0037.
References
- Allwein, E. L., Schapire, R. E., & Singer, Y. (2001). Reducing multiclass to binary: a unifying approach for margin classifiers. Journal of Machine Learning Research, 1, 113–141. MathSciNetMATHGoogle Scholar
- Bartlett, P. L., & Wegkamp, M. H. (2008). Classification with a reject option using a hinge loss. The Journal of Machine Learning Research, 9, 1823–1840. MathSciNetMATHGoogle Scholar
- Bilgic, M., & Getoor, L. (2007). Voila: efficient feature-value acquisition for classification. In AAAI conference on artificial intelligence. Google Scholar
- Chen, M., Xu, Z., Weinberger, K. Q., Chapelle, O., & Kedem, D. (2012). Classifier cascade: tradeoff between accuracy and feature evaluation cost. In International conference on artificial intelligence and statistics. Google Scholar
- Chow, C. (1970). On optimum recognition error and reject tradeoff. IEEE Transactions on Information Theory, 16(1), 41–46. doi: 10.1109/TIT.1970.1054406. MATHCrossRefGoogle Scholar
- Cordella, L. P., & Sansone, C. (2007). A multi-stage classification system for detecting intrusions in computer networks. Pattern Analysis & Applications, 10(2), 83–100. MathSciNetCrossRefGoogle Scholar
- El-Yaniv, R., & Wiener, Y. (2011). Agnostic selective classification. In Advances in neural information processing systems. Google Scholar
- Fan, W., Chu, F., Wang, H., & Yu, P. S. (2002). Pruning and dynamic scheduling of cost-sensitive ensembles. In AAAI conference on artificial intelligence. Google Scholar
- Fan, W., Lee, W., Stolfo, S. J., & Miller, M. (2000). A multiple model cost-sensitive approach for intrusion detection. In European conference on machine learning. Google Scholar
- Friedman, J., Hastie, T., & Tibshirani, R. (2001). Springer series in statistics: Vol. 1. The elements of statistical learning. Berlin: Springer. MATHGoogle Scholar
- Grandvalet, Y., Rakotomamonjy, A., Keshet, J., & Canu, S. (2008). Support vector machines with a reject option. In Advances in neural information processing systems. Google Scholar
- Ji, S., & Carin, L. (2007). Cost-sensitive feature acquisition and classification. Pattern Recognition, 40(5), 1474–1485. MATHCrossRefGoogle Scholar
- Kaelbling, L. P., Littman, M. L., & Cassandra, A. R. (1998). Planning and acting in partially observable stochastic domains. Artificial Intelligence, 101(1), 99–134. MathSciNetMATHCrossRefGoogle Scholar
- Kanani, P., & Melville, P. (2008). Prediction-time active feature-value acquisition for cost-effective customer targeting. In Advances in neural information processing systems. Google Scholar
- Kapoor, A., & Horvitz, E. (2009). Breaking boundaries: active information acquisition across learning and diagnosis. In Advances in neural information processing systems. Google Scholar
- Lee, W., Fan, W., Miller, M., Stolfo, S. J., & Zadok, E. (2002). Toward cost-sensitive modeling for intrusion detection and response. Journal of Computer Security, 10(1), 5–22. Google Scholar
- Liu, L. P., Yu, Y., Jiang, Y., & Zhou, Z. H. (2008). TEFE: a time-efficient approach to feature extraction. In International conference on data mining. Google Scholar
- MacKay, D. J. (1992). Information-based objective functions for active data selection. Neural Computation, 4(4), 590–604. CrossRefGoogle Scholar
- Masnadi-Shirazi, H., & Vasconcelos, N. (2009). On the design of loss functions for classification: theory, robustness to outliers, and savageboost. In Advances in neural information processing systems. Google Scholar
- Rodríguez-Díaz, E., & Castañón, D. A. (2009). Support vector machine classifiers for sequential decision problems. In IEEE conference on decision and control. Google Scholar
- Rosset, S., Zhu, J., & Hastie, T. (2004). Boosting as a regularized path to a maximum margin classifier. The Journal of Machine Learning Research, 5, 941–973. MathSciNetMATHGoogle Scholar
- Schapire, R. E., Freund, Y., Bartlett, P., & Lee, W. S. (1998). Boosting the margin: a new explanation for the effectiveness of voting methods. The Annals of Statistics, 26(5), 1651–1686. MathSciNetMATHCrossRefGoogle Scholar
- Sheng, V. S., & Ling, C. X. (2006). Feature value acquisition in testing: a sequential batch test algorithm. In International conference on machine learning (pp. 809–816). Google Scholar
- Trapeznikov, K., Saligrama, V., & Castañon, D. A. (2012). Multi-stage classifier design. In Asian conference on machine learning. Google Scholar
- Viola, P., & Jones, M. J. (2004). Robust real-time face detection. International Journal of Computer Vision, 57(2), 137–154. CrossRefGoogle Scholar
- Wang, H., Fan, W., Yu, P. S., & Han, J. (2003). Mining concept-drifting data streams using ensemble classifiers. In Knowledge discovery and data mining. CrossRefGoogle Scholar
- Yuan, C., & Casasent, D. (2003). A novel support vector classifier with better rejection performance. In Computer vision and pattern recognition. Google Scholar
- Zhang, C., & Zhang, Z. (2010). A survey of recent advances in face detection (Microsoft research technical report). Google Scholar
- Zubek, V. B., & Dietterich, T. G. (2002). Pruning improves heuristic search for cost-sensitive learning. In International conference on machine learning. Google Scholar












































