Pyrolysis of cyclo-aromatic diesters
- 658 Downloads
- 3 Citations
Abstract
Studies on the pyrolysis of cyclo-aromatic diesters derivatives of 3-phenylprop-2-en-1-ol are presented. The diesters are obtained during catalyzed esterification process of a stoichiometric ratio of 3-phenylprop-2-en-1-ol with suitable cycloaliphatic or aromatic acid anhydride in the solvent-free medium. As an acid anhydrides cyclohexane-1,2-dicarboxylic anhydride, cis-4-cyclohexene-1,2-dicarboxylic anhydride, bicyclo[2.2.1]-5-heptene-2,3-dicarboxylic anhydride, and phthalic anhydride were applied. The thermal properties of obtained compounds under inert atmosphere were tested by means of differential scanning calorimetry and thermogravimetry coupled with FTIR analysis. The pyrolysis products were determined and the probable mechanism of their decomposition was proposed.
Keywords
Esterification 3-Phenylprop-2-en-1-ol Pyrolysis DSC TG/FTIRIntroduction
Thermogravimetric analysis is one of the most useful techniques of thermal analysis. It is commonly applied to characterize the thermal behavior of various compounds. This technique measures the mass loss as a function of temperature or time. It allows understanding the thermal degradation pathways and degradation kinetics of polymers, organic or inorganic compounds [1, 2, 3, 4, 5, 6, 7]. Also, it makes it possible to study the evaporation process, product and component stability, and changes in component properties during heating in inert or oxidative atmospheres, which is a necessary knowledge in order to find the practical applications of many compounds. In addition, the TG coupled to FTIR or QMS allows identifying the compounds which are released during decomposition or degradation process of studied materials. It can be useful in characterization of the decomposition and thermal degradation mechanism of polymers, copolymers, inorganic and organic compounds [8, 9, 10, 11, 12, 13], oxidation of materials [14, 15, 16, 17, 18], and in estimation of possible air pollution during manufacturing the materials in high temperatures.
In our previous papers, we have used the techniques of thermal analysis coupled to FTIR or/and QMS to study the degradation mechanism under pyrolysis or oxidation conditions of aliphatic, linear chain diesters [19, 20]. Such compounds can be successfully applied as low volatile compounds to many practical applications, especially as aroma compounds which are widely used in cosmetic, perfumery, and food industries as a flavor and fragrance components [19, 20, 21, 22, 23].
According to literature survey, among the aromatic esters the most valuable and important fragrance and flavor substances are the monoesters which are obtained during esterification process of aromatic alcohols e.g., benzyl alcohol, 2-phenylethyl alcohol, 1-phenylethyl alcohol, 3-phenylpropanol, 1-phenyl-2-methyl-2-propanol, or cinnamic alcohol with the suitable aliphatic monoacid or acid anhydride [24, 25, 26, 27]. However, rare information is available on the preparation and thermal characterization of cyclo-aromatic diesters derivatives of 3-phenylprop-2-en-1-ol. The main objective of the present paper is to study the thermal stability and the degradation mechanism of aromatic and cyclo-aromatic diesters derivatives of naturally occurring alcohol: 3-phenylprop-2-en-1-ol. The information regarding the thermal stability and degradation mechanism of those compounds can help to evaluate their possible practical applications. Due to the pleasant, balsamic odor they can find their place as flavor and fragrance ingredients added to many products, e.g., for polymers, plastics, and their commercial products particularly manufactured at high-temperature processing.
Experimental
Materials
3-Phenylprop-2-en-1-ol (98 %) was from Fluka. Phthalic anhydride (98 %), cyclohexane-1,2-dicarboxylic anhydride (98 %), 4-cyclohexene-1,2-dicarboxylic anhydride (98 %) and bicyclo[2.2.1]-5-heptene-2,3-dicarboxylic anhydride (97 %) were delivered by Merck. Butylstannoic acid was obtained from Arkema Inc., USA. The reagents were used as received.
Synthesis of esters
The scheme of the esterification process
Characterization
1H-NMR spectra were obtained using an NMR Brucker-Avance 300 MSL (Germany) spectrometer at 300 MHz. The CDCl3 was used as the solvent. The TMS was applied as an internal standard. 1H NMR chemical shifts in parts per million (ppm) were reported downfield from 0.00 ppm with the use of TMS.
13CNMR spectra were gathered on a Brucker 300MSL instrument (Germany). Chemical shifts were referred to chloroform serving as an internal standard.
ATR-FTIR spectra were recorded on a Tensor 27 Bruker (Germany) spectrometer equipped with diamond crystal. The spectra were recorded in the spectral range of 600-4,000 cm−1 with a resolution of 4 cm−1 and 16 scans.
Elemental analysis was made using a Perkin Elmer CHN 2400 analyser (USA)
Viscosity at 25 °C was estimated using rotating spindle rheometer, Brookfield, model DV-III (Germany).
Density at 23 °C was measured with the use of a glass pycnometer with capillary fuse Gay/Lussac (25 mL).
Refractive index was determined by the use of refractometer Carl Zeis Jena at 23 °C.
Thermal studies
Differential scanning calorimetry analysis was performed with the use of a DSC 204 calorimeter, Netzsch (Germany). All DSC measurements were carried out in Al pans with pierced lid. As a reference empty Al crucible was applied. The mass of the sample was about 10 mg. The dynamic scans were performed at a heating rate of 10 °C min−1 from 20 to 500 °C under argon atmosphere (20 mL min−1).
Thermal analysis was carried out on a STA 449 Jupiter F1, Netzsch (Germany). All measurements were made in Al2O3 crucibles. As a reference empty Al2O3 crucible was applied. Dynamic scans were performed at a heating rate of 10 °C min−1 under helium atmosphere (40 mL min−1) from 40 to 700 °C. The sample weight was about 10 mg.
The gas composition evolved during heating process was analyzed by FT IR spectrometer Brucker TGA 585 (Germany) coupling on-line to STA instrument. The FTIR spectrometer with IR cell maintained at 200 °C was connected on-line to STA instrument by a Teflon transfer line with diameter of 2 mm heated to 200 °C. The FTIR spectra were recorded in the spectral range of 600–4,000 cm−1 with a resolution of 4 cm−1 and 16 scans per spectrum.
Results and discussion
Characterization
The structure of the unsaturated (cyclo)-aromatic diesters
Elemental analysis of newly obtained compounds
| Compound | Formula | M/g mol−1 | w i calc./% w i found/% | |
|---|---|---|---|---|
| C | H | |||
| 1 | C26H22O4 | 398.46 | 78.37 | 5.56 |
| 78.33 | 5.50 | |||
| 2 | C26H28O4 | 404.51 | 77.20 | 6.98 |
| 77.16 | 6.95 | |||
| 3 | C26H26O4 | 402.49 | 77.59 | 6.51 |
| 77.52 | 6.45 | |||
| 4 | C27H26O4 | 414.50 | 78.24 | 6.32 |
| 78.19 | 6.23 | |||
ATR-FTIR spectra of newly obtained compounds
1H NMR spectra of newly obtained compounds
13C NMR spectra of newly obtained compounds
The all resonance signals responsible for the carbons in the structure of those compounds are marked in Fig. 5. In addition, the absence of the signals for carbon in –CH2– group of 3-phenylprop-2-en-1-ol (at 64 ppm) and the presence of new signals at 67 ppm (carbons in –CH2– groups) and at 175 ppm (carbons in carbonyl groups) confirms the formation of ester products.
Properties of newly obtained compounds
| Compound | Viscosity/m Pas | Density/g dm−3 | n D 20 | T boil/°C |
|---|---|---|---|---|
| 1 | 885 | 1.212 | 1.4955 | 220 |
| 2 | 725 | 1.156 | 1.4870 | 200 |
| 3 | 890 | 1.179 | 1.4920 | 215 |
| 4 | 950 | 1.225 | 1.4910 | 210 |
Thermal studies
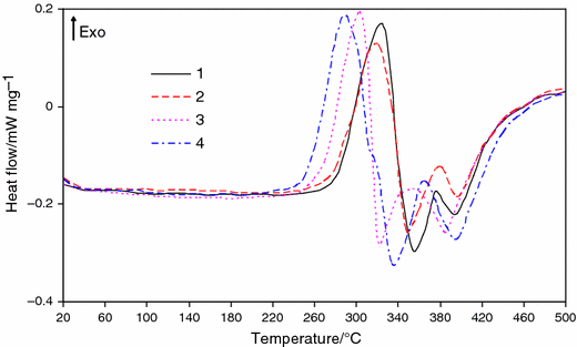
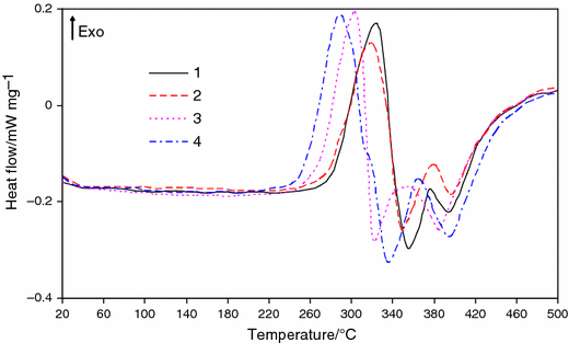
DSC curves of newly obtained compounds
DSC data of cyclo-aromatic diesters
| diester | T onset/°C | T peak (exo)/°C | T peak (endo)/°C |
|---|---|---|---|
| 1 | 280 | 324 | 355/395 |
| 2 | 272 | 320 | 346/393 |
| 3 | 263 | 302 | 319/383 |
| 4 | 244 | 292 | 331/396 |
TG and DTG curves of newly obtained compounds
TG–DTG data of cyclo-aromatic diesters
| diester | IDT/°C | T 10 %/°C | T 20 %/°C | T 50 %/°C | T max1/T max1′/°C | W loss1/% | T max2/°C | W loss2/% | RM/% |
|---|---|---|---|---|---|---|---|---|---|
| 1 | 237 | 256 | 278 | 315 | 320/376 | 97.09 | – | – | 2.91 |
| 2 | 209 | 243 | 282 | 318 | 321/375 | 98.04 | – | – | 1.96 |
| 3 | 236 | 259 | 279 | 316 | 295/373 | 84.40 | 574 | 14.85 | 0.75 |
| 4 | 220 | 251 | 281 | 359 | 293/380 | 82.90 | 654 | 8.56 | 8.54 |
In addition, the changes in the degradation path of studied compounds are observed from TG/DTG results. The compound containing phthalic unit (number 1) and compound containing cyclohexane unit (number 2) in the structure decompose in one main step. This decomposition step is appeared as a one non-well separated signal in DTG curves. It occurred from c.a. 200 °C up to temperatures over 450 °C with the significant mass loss above 97 % for compound 1 and above 98 % for compound 2. However, the decomposition of the compound containing cyclohexene unit (number 3) and compound containing nadic unit (number 4) in the structure run through two main steps. The first, non-well separated step is visible from IDT to almost 480 °C with the mass loss over 84 % for compound 3 and over 82 % for compound 4. The second decomposition step is observed at considerably higher temperatures (over 480 °C) with T max2 574 °C for compound number 3 and 654 °C for compound number 4 with the mass loss 14.85 % (compound 3) and 8.56 % (compound 4). The presence of this signal is not detected for compound containing phthalic and compound containing cycloalkane units (number 1 and 2).
FTIR spectra of the gaseous products evolved during the first decomposition step, the spectra gathered at a—T 20 %, b—at T max1, c—at T max1′
The FTIR spectra for all four cyclo-aromatic compounds exhibited bands characteristic for carbon dioxide at 670 cm−1 and 2,310–2,358 cm−1, carbon monooxide at 2,182 and 2,110 cm−1 and water or acids (the region of 3,600–3,700 cm−1) [29, 30, 31, 32].
In addition, for all studied compounds, the bands attributed to the aliphatic fragments (stretching vibrations of C–H in –CH2– groups) at 2,860–2,923 cm−1 are observed. The presence of the stretching vibrations of =C–H and out-of-plane deformation vibrations of =C–H groups which appears as bands in the region of 660–900 cm−1 and as two bands at 3,029 and at 3,081 cm−1 characteristic for alkene is indicated. The absorption signals at 3,029–3,081 cm−1 and at 660–900 cm−1 may also be the result of the stretching vibrations of CAr–H and out-of-plane deformation vibrations of CAr–H. The presence of the stretching vibrations of C=C in phenyl rings at 1,440–1,598 cm−1 and in-plane deformation vibrations of aromatic =C–H groups for monosubstituted benzenes at 1,146–1,200 cm−1 also indicates the formation of aromatic compounds over the gases emitted during the first decomposition step.
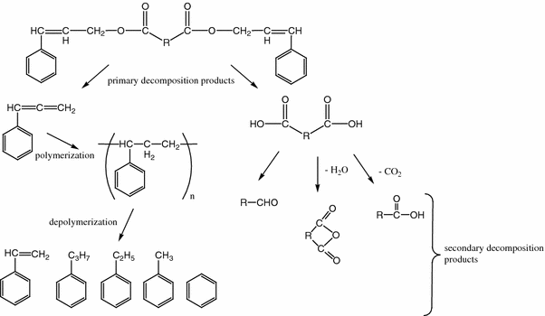
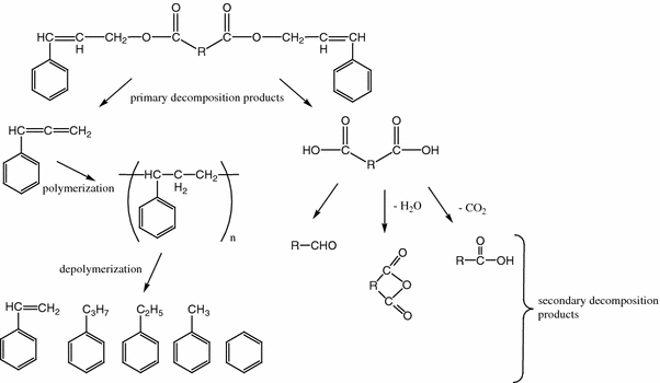
The scheme of pyrolysis of studied compounds
FTIR spectra of the gaseous products evolved during the second decomposition step (T max2)
Conclusions
TG studies proved that the prepared compounds are characterized by high thermal stability with initial decomposition temperature higher than 200 °C. Dependent on the structure of cyclo-aromatic compounds their thermal decomposition in inert atmosphere run as one or two non-separated steps visible as the peaks in T max1 and T max2 on DTG curves. The formation of various compounds during pyrolysis was confirmed by TG/FTIR. The emission of carbon dioxide, carbon monooxide, water vapor, alkene, aromatic, aldehyde, acids, and cyclic anhydrides fragments indicated mainly on the cis elimination reactions, partial decarboxylation, and condensation process of carboxyl groups of primary formed decomposition products during pyrolysis.
References
- 1.Homzová K, Győryová K, Bujdošová Z, Hudecová D, Ganajová M, Vargová Z, Kovářová J. Synthesis, thermal, spectral and biological properties of zinc(II) 4-hydroxybenzoate complexes. J Therm Anal Calorim. 2014;. doi: 10.1007/s10973-014-3702-x.Google Scholar
- 2.Febrero L, Granada E, Pérez C, Patiño D, Arce E. Characterisation and comparison of biomass ashes with different thermal histories using TG-DSC. J Therm Anal Calorim. 2014;. doi: 10.1007/s10973-014-3717-3.Google Scholar
- 3.Alves APM, Araujo AS, Bezerra FA, Sousa KS, Lima SJG, Fonseca MG. Kinetics of dehydration and textural characterizations of selectively leached vermiculites. J Therm Anal Calorim. 2014;. doi: 10.1007/s10973-014-3692-8.Google Scholar
- 4.Simplício S, Fernandes Lucas E, da Silva Antonio, Costa M, Cunha Costa L, de Santa Claudio, Maria L. Thermal resistance of magnetic polymeric composites based on styrene, divinylbenzene, and Ni and Co particles. J Therm Anal Calorim. 2014;. doi: 10.1007/s10973-014-3703-9.Google Scholar
- 5.Soares Maria, de Mendonça C, de Barros Prado, Lima I, Flávio Soares Aragão C, Paula Barreto Gomes A. Thermal compatibility between hydroquinone and retinoic acid in pharmaceutical formulations. J Therm Anal Calorim. 2014;. doi: 10.1007/s10973-013-2941-6.Google Scholar
- 6.Grochowicz M, Gawdzik B, Jaćkowska M, Buszewski B. Thermal characterization of polymeric anion exchangers with a dendrimeric structure. J Therm Anal Calorim. 2013;114:955–61.CrossRefGoogle Scholar
- 7.Grochowicz M, Gawdzik B, Jaćkowska M, Buszewski B. Investigation of the thermal behavior of new silica-polymer anion exchangers. J Therm Anal Calorim. 2013;112:885–91.CrossRefGoogle Scholar
- 8.Veselá P, Slovák V. Organic xerogels based on condensation of different m-substituted phenols with formaldehyde. J Therm Anal Calorim. 2014;. doi: 10.1007/s10973-014-3708-4.Google Scholar
- 9.Fuliaş A, Vlase G, Şoica C, Bercean V, Vlase T, Ledeţi I. Thermal behaviour of a modified encapsulation agent. J Therm Anal Calorim. 2014;. doi: 10.1007/s10973-014-3727-1.Google Scholar
- 10.Xu Q, Jin C, Jiang Y. Analysis of the relationship between MCC and thermal analysis results in evaluating flammability of EPS foam. J Therm Anal Calorim. 2014;. doi: 10.1007/s10973-014-3736-0.Google Scholar
- 11.Correia DM, Gámiz-González MA, Botelho G, Vidaurre A, Gomez Ribelles JL, Lanceros-Mendez S, Sencadas V. Effect of neutralization and cross-linking on the thermal degradation of chitosan electrospun membranes. J Therm Anal Calorim. 2014;. doi: 10.1007/s10973-014-3707-5.Google Scholar
- 12.Silva ACM, Gálico DA, Guerra RB, Legendre AO, Rinaldo D, Galhiane MS, Bannach G. Study of some volatile compounds evolved from the thermal decomposition of atenolol. J Therm Anal Calorim. 2014;115:2517–20.CrossRefGoogle Scholar
- 13.Jiao Q-J, Zhu Y-L, Xing J-Ch, Ren H, Huang H. Thermal decomposition of RDX/AP by TG–DSC–MS–FTIR. J Therm Anal Calorim. 2014;. doi: 10.1007/s10973-013-3621-2.Google Scholar
- 14.Shabanian M, Faghihi K, Raeisi A, Varvanifarahani M, Khonakdar HA, Wagenknecht U. New poly(ether-imide)/MWCNT nanocomposite. J Therm Anal Calorim. 2014;. doi: 10.1007/s10973-014-3682-x.Google Scholar
- 15.Cucos A, Budrugeac P. Simultaneous TG/DTG–DSC–FTIR characterization of collagen in inert and oxidative atmospheres. J Therm Anal Calorim. 2014;115:2079–87.CrossRefGoogle Scholar
- 16.Gálico DA, Perpétuo GL, Castro RAE, Treu-Filho O, Legendre AO, Galhiane MS, Bannach G. Thermoanalytical study of nimesulide and their recrystallization products obtained from solutions of several alcohols. J Therm Anal Calorim. 2014;115:2385–90.CrossRefGoogle Scholar
- 17.Lysenko EN, Surzhikov AP, Zhuravkov SP, Vlasov VA, Pustovalov AV, Yavorovsky NA. The oxidation kinetics study of ultrafine iron powders by thermogravimetric analysis. J Therm Anal Calorim. 2014;115:1447–52.CrossRefGoogle Scholar
- 18.Ratkovic S, Peica N, Thomsen Ch, Bukur DB, Boskovic G. Thermal stability evolution of carbon nanotubes caused by liquid oxidation. J Therm Anal Calorim. 2014;115:1477–86.CrossRefGoogle Scholar
- 19.Worzakowska M, Ścigalski P. TG/DSC/FTIR characterization of linear geranyl diesters. J Therm Anal Calorim. 2013;113:53–60.CrossRefGoogle Scholar
- 20.Worzakowska M, Ścigalski P. Synthesis and thermal behavior of linera neryl diesters in inert and oxidative atmosphere. J Therm Anal Calorim. 2014;115:783–92.CrossRefGoogle Scholar
- 21.Peter TR, Robert B. Beeswax through the ages. Pers Care. 2001;10:27–31.Google Scholar
- 22.Misra S, Ghosh A. In: Linskens HF, Jackson JF, editors. Analysis of epicuticular waxes. Essential oils and waxes. New York: Springer-Verlag; 1992.Google Scholar
- 23.Chatterjee T, Bhattacharyya DK. Synthesis of terpene esters by an immobilized lipase in a solvent-free system. Biotechnol Lett. 1998;20:865–8.CrossRefGoogle Scholar
- 24.Bauer K, Garbe D, Surburg H. Common fragrance and flavor materials: preparation, properties and uses. New York: Wiley; 2001. p. 43–5.CrossRefGoogle Scholar
- 25.Croteau R. Fragrance and flavour substances. Germany, D&PS Verlag; 1980. p. 13.Google Scholar
- 26.Gildemeister E, Hoffmann FR. The volatile oils. New York: Wiley; 1913.Google Scholar
- 27.Armstrong DW, Gillies B, Yamazaki H. In: Charalambous G, editor. Flavor chemistry, trends and development. New York: Elsevier Science Publisher; 1989.Google Scholar
- 28.Sokrates G. Infrared and raman characteristic group frequencies, tables and charts. New York: Wiley; 2001.Google Scholar
- 29.NIST chemistry webbook standard reference database number 69, 2011, http://webbook.nist.gov/chemistry. Accessed 17 Mar 2014.
- 30.Ionashiro EY, Caires FJ, Siqueira ABS, Lima LS, Carvalho CT. Thermal behaviour of fumaric acid, sodium fumarate and its compounds with light trivalent lanthanides. J Therm Anal Calorim. 2012;108:1183–8.CrossRefGoogle Scholar
- 31.Shi J, Wang Z, Liu Y, Wang C. Investigation of thermal behavior of enoxacin and its hydrochloride. J Therm Anal Calorim. 2012;108:299–306.CrossRefGoogle Scholar
- 32.Bassilakis R, Carangelo RM, Wojtowicz MA. TG-FTIR analysis of biomass pyrolysis. Fuel. 2001;80:1765–86.CrossRefGoogle Scholar
- 33.Bailey WJ, Barclay R Jr. Pyrolysis of esters. V. Mechanism of 1,4-elimination. J Org Chem. 1956;21:328–31.CrossRefGoogle Scholar
- 34.Bilger EM, Hibbert H. Mechanism of organic reactions. IV. Pyrolysis of esters and acetals. J Am Oil Chem Soc. 1936;58:823–6.CrossRefGoogle Scholar
- 35.Arnold RT, Smith GG, Dodson RM. Mechanism of the pyrolysis of esters. J Org Chem. 1950;15:1256–60.CrossRefGoogle Scholar
Copyright information
Open AccessThis article is distributed under the terms of the Creative Commons Attribution License which permits any use, distribution, and reproduction in any medium, provided the original author(s) and the source are credited.










