Perfect and nearly perfect silsesquioxane (SQs) nanoconstruction sites and Janus SQs
- 276 Downloads
- 27 Citations
Abstract
Cubic silsesquioxanes (SQs) offer perfect and nearly perfect 3-D symmetry with eight functional groups with each functional group occupying a different octant in Cartesian space. This paper is concerned with the synthesis of both highly symmetrical octa-monofunctional SQs and statistically bifunctional SQs wherein because of similar properties each functionality separates to one side of the cubically symmetric SQ giving Janus-like behavior. In the latter case we find these materials to offer novel properties of use in making both coatings with controlled contact angles ranging from 50–120 °C, with hardnesses (pencil) as high as 6H and the opportunity to make layer-by-layer coatings.
Keywords
Silsesquioxanes Perfect 3-D nanobuilding blocks 3-D star molecules Janus silsesquioxanes Layer-by-layer coatings Spray coating1 Introduction
The synthesis and assembly of 2- and 3-D structures from molecular components (nanobuilding blocks) is of great current interest because of the potential to realize novel properties in nanostructured materials. The use of space filling 2- and 3-D structures requires components that fulfill the mathematical relationships found for Bravais lattices. Cubic structures are expected to offer the highest symmetry and therefore would require the least energy to assemble [1].
SQs. (a) Q8 (Q = SiO2/2) R = H, vinyl, epoxy, methacrylate, etc. (b) RPh8 (T = R-SiO3/2) R = alkyl, alkene, alkyne, R’X (X = halogen, amine, epoxy, etc. R’ = R same or mixed)
Silsesquioxanes contain rigid silica cores with eight vertices (body diagonal ≈ 0.5 nm) with an organic functional group in each octant in Cartesian space giving spherical, nanobuilding blocks 1–2 nm in dia [10, 11, 12, 13, 14, 15, 16, 17, 18, 19, 20, 21, 22, 23, 24, 25, 26, 27, 28, 29, 30, 31, 32, 33, 34, 35, 36, 37, 38, 39, 40, 41, 42, 43, 44, 45, 46, 47, 48, 49, 50, 51, 52, 53, 54]. The positioning of the functional groups, the variety possible, and their size provide unique opportunities to build nanocomposites in 1-, 2-, or 3-D with tailorability at nanometer length scales [10, 11, 12, 13, 14, 15, 16, 17, 18, 19, 20, 21, 22, 23, 24, 25, 26, 27, 28, 29, 30, 31, 32, 33, 34, 35, 36, 37, 38, 39, 40, 41, 42, 43, 44, 45, 46, 47, 48, 49, 50, 51, 52, 53, 54]. In addition, the core adds the rigidity and heat capacity of silica making these compounds quite robust, e.g. [PhSiO1.5]8 (OPS) [31] is air stable to >500 °C. As such, cubes (e.g., Fig. 1) are subjects of diverse studies [10, 11, 12, 13, 14, 15, 16, 17, 18, 19, 20, 21, 22, 23, 24, 25, 26, 27, 28, 29, 30, 31, 32, 33, 34, 35, 36, 37, 38, 39, 40, 41, 42, 43, 44, 45, 46, 47, 48, 49, 50, 51, 52, 53, 54].
In the past decade, we have published more than 30 papers on octafunctional SQs and nanocomposites from them [32, 33, 34, 35, 36, 37, 38, 39, 40, 41]. We have developed routes to numerous octafunctional SQs (Fig. 1a) including mixed-substituent systems. Other researchers have made star polymers [25a], octaphenols [29], octaisocyanates [48], oligoethylene oxides [49], and liquid crystalline materials [50]. We also developed routes to nitro, amino, halo, alkyl, and aryl, OPS (RxOPS) (Fig. 1b) and the T12 SQs (RxPhSiO1.5)12 = RxDPS [39, 44, 45, 46, 51]. A brief overview of our work on structure-property relationships of nanocomposites and on the synthesis of star compounds is given in Sect. 2.
Modification of hydroxylated surfaces by silanization
Researchers at Mayaterials recently developed (see Sect. 4) low-cost SQs prepared directly from an agricultural waste product, rice hull ash, that are bifunctionalized, with about four of each type of functional group. These bifunctional SQs offer the potential to: (1) serve as superior silanizing agents, (2) build layer-by-layer structures at nanometer length scales, (3) build graded property thin films and also (4) porous, high strength interlayer dielectrics; as a direct result of the Janus properties of these materials.
2 Background
2.1 Structure–processing–property relationships
Silsesquioxanes provide access to epoxy nanocomposites with nearly complete definition (nm length scales) of all organic and inorganic components [37, 42, 43, 44, 47]. In turn, these nanocomposites provide structure–processing–property relationships that delineate the effects of changes in the organic component (tether) architectures on global mechanical properties [34, 35, 36, 37, 38, 39, 40, 41, 42, 43, 53]. For example, tailoring provides control of coefficients of thermal expansion of epoxy resin composites from 25 to 250 ppm/ °C [52]. Likewise, we were able to tailor O2 barrier properties to equal commercial systems (<1 cc · 20 μm/m2 · day · atm) and superior to polysiloxanes at 19,000 cc · 20 μm/m2 · day · atm) [53]. Moreover optimal values obtain from epoxy:amine ratios of 1:1 rather than the 1:2 stoichiometry used traditionally, pointing to the novelty of these materials [43, 44, 45, 51, 52].
Other novel properties include [(NO2)2PhSiO1.5]8, which is stable to ≈400 °C, but decomposes explosively thereafter [51]. In contrast, i-butyl and i-hexyl alkylated OPS behave as “self-lubricating nanoball bearings,” forming liquids air stable to >400 °C because the alkyl chains interdigitate in the melt [54].
2.2 Star compounds from octavinylsilsesquioxane
Star cubes with conjugated functionality produced via Grubbs and Heck reactions [62]
UV–Vis, Emission (THF) [62]
2.3 Star compounds from octaiodophenylsilsesquioxane
(a) I8OPS: (b) MALDI TOF of 99% I8OPS, >90% p, 3% o-I, 4% m-I [64]
I8OPS derivatives (i) Cu2O/carbazole/150°C/1d. (ii) (Ph3P)4Pd/Zn(CN)2/120 °C/1d. (iii) RC2H/CuI/(Ph3P)4Pd/TEA/dioxane/60 °C/1d. (iv) BipyB(OH)3/(Ph3P)4Pd/PR3/120 °C/1d. v. (v) w/2-vinypy [45, 46, 64, Asuncion and Laine, Octaalkynylsilsesquioxanes, Sea Urchin Molecular connectors for 3-D-Nanostructures, "unpublished data"]
Characteristic absorptions of various functional groups of Janus cubes
| Functional group | Wavenumber (cm−1) | Vibration type |
|---|---|---|
| Si–H | 2,200 | νs |
| Si–C | 1,250 | νs |
| Si–O–Si | 1,030–1,110 | νs |
| C–H, aliphatic | 2,840–3,000 | νs, νas |
| Epoxy | 1,250 | νs |
| Epoxy | 810–950 | νas |
3 Results and discussion
The concept of Janus cubes or double sticky sided SQs arises from a striking single crystal X-ray structure of (octylSiO1.5)8, one of several reported by Bassindale et al. [66] that points to a feature common to long chain flexible groups, they align uniformly to either side of the cage or silica core rather than in a typical 3-D SQs structure as seen in Fig. 3, with each R group lying in a different octant in Cartesian space. This has very important implications.
Two Janus configurations possible
On a statistical basis alone, and assuming that it is possible to find SQs with at least three groups on a face or vertex, it is possible to calculate that nearly 90% of all bifunctional SQs will be Janus-like!
Indeed it may be that the catalytic addition of a second group is driven to occur more frequently on the same face as the first group of that same type by its chemical affinity to the first group. In either case, one face is very likely to have more than two groups whose affinity for each other should drive lateral alignment such as seen by Bassindale et al. [66].
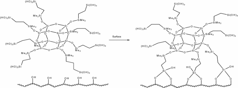
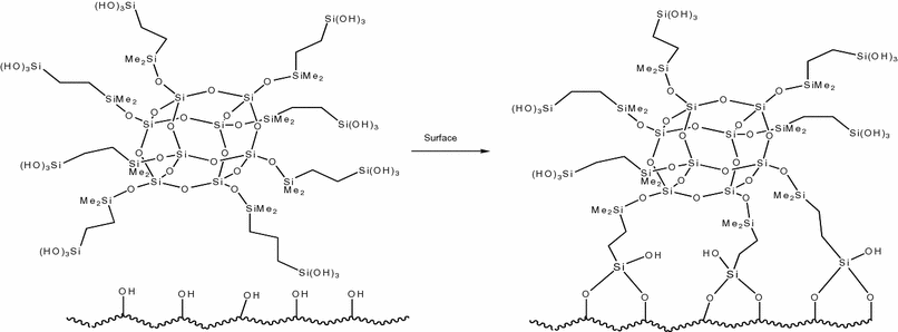
At any point in the (3)-(6) reaction sequence, the Si–H bonds of these intermediates can be modified by hydrosilylation to introduce a second type of functional group. As we demonstrate below, adding bifunctionality provides access to an enormous number of new coating systems and to novel methods of surface modification.
OTSE binding to an Al surface
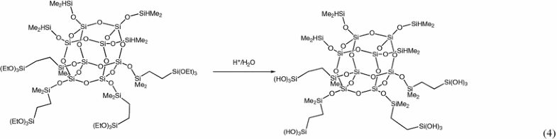
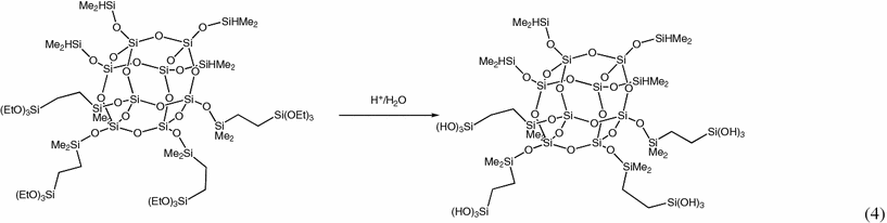
Bifunctional SQs synthesized to date see experimental for standard procedures and FTIR and GPC data
Three water droplets placed on uncoated and coated Al 7075 surface. (a) Bare aluminum substrate. (b) Aluminum substrate coated with TCTSE
Reaction (10) below adds a second layer suggesting that the potential to make not only adhesive coatings on surfaces but also to create flexible layers by reversing the process. Thus it is possible to put epoxy layers on top of the first adhesive coating and then a coating of TGTSE on the amine layer and thereafter some quantity of hydrolyzed OTSE to create hard layers akin to those produced by Ro et al. [67] but without heating. These represent the potential commercial utility of these materials.
Comparison of contact angles for TCPTSE coated Al and after reaction with OAPS
Contact angles for TCPTSE coated Al after reaction with (a) DEA and (b) MEA
Contact angles for a series of coatings on Al made sequentially with TCPTSE, MAE, OCP, and DEA showing the changes in contact angles with each application. Only the first coating is sprayed on
Possible modifications to TCPTSE coatings as a route to new coatings with tailored properties
4 Experimental
4.1 Chemical compounds
All solvents, allyl chloride, glycidoxyallylether, N-methylethanolamine, and diethanolamine, were purchased from Aldrich Inc. The solvents were distilled from drying agents under nitrogen prior to use. Vinyl triethoxysilane, was purchased from Gelest. Octahydridodimethylsilox octasilsesquioxane is produced commercially by Mayaterials and was recrystallized from hexane prior to use. Octaaminooctaphenyloctasilsesquioxane is a product of Mayaterials and was used as produced (>95% purity).
4.2 Spray coating methods
For a typical coating, 6 g of TRTSE is added to 25 mL of 70% MeOH 30% acetone mixture and stirred for 30 min. Thereafter, 1 mL of an HCl/water solution (1 mL of 37% HCl to 99 mL water) is added and the solution stirred for ∼10 min. Then the solution is applied by dipcoating, spin casting, or spraying. For example, it can be sprayed using a Binks M1-G HVLP spray gun across the substrate to a thickness of 2.5–15 μm.
4.3 Gel permeation chromatography
All gel permeation chromatography (GPC) analyses were run on a Waters 440 system with Breeze software equipped with Waters Styragel columns (7.8 × 300, HT 0.5, 2, 3, 4) with RI detection and THF as solvent. The system was calibrated using polystyrene standards and toluene as a reference. Note that it is common for GPC analyses to show molecular weight data that are 15–20% lower than the calculated molecular weight data because SQs are spherical with very similar hydrodynamic radii rather than the hydrodynamic radii of linear molecules as used for the GPC standards.
4.4 Fourier transform infrared analyses
Diffuse reflectance infrared Fourier transform (DRIFT) spectra were obtained using a Thermo-Fisher Nicolet 6700 Fourier transform infrared (FTIR), using a Praying Mantis DRIFT accessory (Harrick Scientific Products, Inc.). Optical grade potassium bromide (International Crystal Laboratories) was used as the supporting medium. Attenuated total reflectance spectra were obtained neat using an FTIR 4100 (Jasco, Inc.) using a MIRacle diamond accessory.
4.5 Contact angle measurements
Spray-coated samples from above were placed horizontally in the specimen holder in an optical microscope and three drops of water of varying size were applied to the surface. A digital camera was used to photograph each set of droplets. The resulting images were then imported into iPhoto and the angles measured from these images. The error for each measurement is estimated to be ±4°.
General synthesis procedures followed the synthesis illustrated for TCPTSE below.
4.6 TCPTSE synthesis, reaction (11)
TTSE (25 g, 14 mmol) is dissolved in 250 mL of solvent, typically THF. Allyl chloride (6 mL, 56 mmol) and 5 wt% 0.1 g Pt/C catalyst are added. The reaction is refluxed for 24–48 h and followed by FTIR until the νSi–H peak 2,200 cm−1 disappears. The product is isolated by filtration and obtained in 85% yield. Analytical results for the majority of the compounds shown in Fig. 5 are presented below.
4.7 Octatriethoxysilylethyloctadimethylsiloxyoctasilsesquioxane (OTSE)
Selected characterization data: IR (cm−1) ν C–H: 2,980, 2,930, 2,850; ν Si–C: 1,260; ν Si–O: 1,110. GPC analysis: Mn = 2,210 (2.2 × 103), Mw = 2,377 (2.3 × 103), PDI 1.07 (FW of OTSE is 2,528).
4.8 Tetratriethoxysilylethyldimethylsiloxy(tetradimethylsiloxy)octasilsesquioxane (TTSE)
Selected characterization data: IR (cm−1) ν C–H: 2,980, 2,930, 2,850; ν Si–H: 2,200; ν Si–C: 1,260; ν Si–O: 1,110. GPC analysis: Mn = 1,542 (1.5 × 103), Mw = 1,742 (1.7 × 103), PDI 1.1 (FW of TTSE is 1,772).
4.9 Tetratriethoxysilylethyldimethylsiloxy(tetraglycidoxypropyldimethylsiloxy)octasilsesquioxane (TGTSE)
Selected characterization data: IR (cm−1) ν C–H: 2,980, 2,930, 2,850; ν Si–C: 1,260; ν epoxy ring: 1,250, 900; ν Si–O: 1,110. GPC analysis: Mn = 1,891 (1.8 × 103), Mw = 2,369 (2.3 × 103), PDI 1.2 (FW of TGTSE is 2,225).
4.10 (tetracyclohexenylethyldimethylsiloxy)tetratriethoxysilylethyldimethylsiloxyoctasilsesquioxane (TCTSE)
Selected characterization data: IR (cm−1) ν C–H: 2,980, 2,930, 2,850; ν Si–C: 1,260; ν epoxy ring: 1,250, 900; ν Si–O: 1,110. GPC analysis: Mn = 1,955 (1.9 × 103), Mw = 2,392 (2.3 × 103), PDI 1.2 (FW of TCTSE is 2,201).
4.11 (tetra-3-chloropropyldimethylsiloxy)Tetratriethoxysilylethyldimethylsiloxyoctasilsesquioxane (TCPTSE)
Selected characterization data: IR (cm−1) ν C–H: 2,980, 2,930, 2,850; ν Si–C: 1,260; ν Si–O: 1,110. GPC analysis: Mn = 1,416 (1.4 × 103), Mw = 1,814 (1.8 × 103), PDI 1.2 (FW of TCPTSE is 2,074).
Notes
Acknowledgments
The authors would like to thank AFRL (Wright Patterson AFB) through contract FA8650-05-C-5046 for support of the coating work. The NSF, Canon Ltd, Kuraray, Delphi Inc., Nippon Shokubai Ltd, and Matsushita Electric Ltd. provided partial support as well.
References
- 1.Detken A, Zimmermann H, Haeberlen U, Poupko R, Luz Z (1996) J Phys Chem 100:9598CrossRefGoogle Scholar
- 2.Eaton PE (1992) AngewChem Int Ed Engl 31:421Google Scholar
- 3.Yildrim T, Yildrim PMG, Neumann DA, Eaton PE, Emrick T (1998) Carbon 36:809CrossRefGoogle Scholar
- 4.Ganesan P, Yang X, Loos J, Savenije TJ, Abellon RD, Zuilhof H, Sudhölter ERR (2005) J Am Chem Soc 127:14530CrossRefGoogle Scholar
- 5.Seidel SR, Stang PJ (2002) Acc Chem Res 35:972CrossRefGoogle Scholar
- 6.Oldham WJ Jr, Lachicotte RJ, Bazan GC (1998) J Am Chem Soc 120:2987CrossRefGoogle Scholar
- 7.Robello DR, Andre A, McCovick TA, Kraus A, Mourey TH (2002) Macromolecules 35:9334CrossRefGoogle Scholar
- 8.Wang S, Oldham W Jr, Hudack RA Jr, Bazan GC (2000) J Am Chem Soc 122:5695CrossRefGoogle Scholar
- 9.a. Peymann T, Knobler CB, Khan SI, Hawthorne MF (2001) J Am Chem Soc 123:2182. b. Farha OK, Julius RL, Lee MW, Huertas RE, Knobler CB, Hawthorne MF (2005) J Am Chem Soc 127:18243Google Scholar
- 10.a. Feher FJ, Newman DA, Walzer JF (1989) J Am Chem Soc 111:1741. b. Feher FJ, Budzichowski TA, Blanski RL, Weller KJ, Ziller JW (1991) Organometallic 10:2526. c. Maschmeyer T, Klunduk MC, Martin CM, Shephard DS, Thomas JM, Johnson BFG (1997) Chem Comm 1847Google Scholar
- 11.a. Feher FJ, Blanski RL (1992) J Am Chem Soc 114:5886. b. Feher FJ, Soulivong D, Eklud AG, Wyndham KD (1997) Chem Comm 1185. c. Severn JR, Duchateau R, van Santen RA, Ellis DD, Spek AL (2002) Organometallic 21:4. d. Duchateau R, Abbenhuis HCL, van Santen RA, Meetsma A, Thiele SKH, van Tol MFH (1998) Organometallic 17:5222Google Scholar
- 12.Maxim N, Magusin PCMM, Kooyman PJ, van Wolput JHMC, van Santen RA, Abbenhuis HCL (2002) J Phys Chem B 106:2203CrossRefGoogle Scholar
- 13.Bonhomme C, Toledano P, Maquet J, Livage J, Bonhomme-Coury L (1997) J Chem Soc Dalton Trans 1617Google Scholar
- 14.a. Bassindale AR, Pourny M, Taylor PG, Hursthouse MB, Light ME (2003) Angew Chem Inter Ed 42:3488. b. Bassindale AR, Parker DJ, Pourny M, Taylor PG, Horton PN, Hursthouse MB (2004) Organometallic 23:4400Google Scholar
- 15.Tsuchida A, Bolln C, Sernetz FG, Frey H, Mülhaupt R (1997) Macromolecules 30:2818CrossRefGoogle Scholar
- 16.Reviews: a. Voronkov MG, Lavrent’yev VI (1982) Top Curr Chem 102:199. b. Baney RH, Itoh M, Sakakibara A, Suzuki T (1995) Chem Rev 95:1409. c. Provatas A, Matisons JG (1997) Trends Polym Sci 5:327. d. Loy DA, Shea KJ (1995) Chem Rev 95:1431. e. Lichtenhan J (1996) In: Salmone JC (ed) Polymeric materials encycyclopedia, vol. 10. CRC Press, NY, 7768. e. Laine RM (2005) J Mater Chem 15:3725Google Scholar
- 17.a. Lichtenhan JD, Vu HQ, Carter JA, Gilman JW, Feher FJ (1993) Macromolecules 26:2141. b. Gilman JW, Schlitzer DS, Lichtenhan JD (1996) J. Appl Poly Sci 60:591. c. Gonzalez RI, Phillips SH, Hoflund GB (2000) J Spacecraft and Rockets 37:463Google Scholar
- 18.a. Weidner R, Zeller N, Deubzer B, Frey V (1991) US Patent 5,047,492, Sept 1991. b. Dathe S, Popowski E, Sonnek G, Feiher T, Jancke H, Schelm U (1989) Euro Patent 0,348,705 A1. c. Freyer C, Wolferseder J, Peetz U (1993) Euro Patent 0,624, 691 A1Google Scholar
- 19.Zhang Y, Lee SH, Liang K, Toghiani H, Pittman CU (2006) Polymer 47:2984. b. Patel RR, Mohanraj R, Pittman CU (2006) J Polym Sci B Polym Phys 44:234Google Scholar
- 20.a. Stewart MD, Willson CG (2005) MRS Bulletin 30:947. b. Stewart MD, Wetzel JT, Schmid GM, Palmieri F, Thompson E, Kim EK, Wang D, Sotodoeh K, Jen K, Johnson SC, Hao J, Dickey MD, Nishimura Y, Laine RM, Resnick DJ, Willson CG (2005) Proc SPIE Int Soc Opt Eng 5751:219Google Scholar
- 21.a. Hasegawa I, Sakka S, Sugahara Y, Kuroda K, Kato C (1989) J Chem Soc Chem Commun 208. b. Hasegawa I, Moto-Jima S (1992) J Organomet Chem 441:373. c. Hasegawa I, Sakka S (1988) Chem Lett 8:1319Google Scholar
- 22.Agaskar PA (1991) Inorg Chem 30:2707CrossRefGoogle Scholar
- 23.a. Hoebbel D, Endres K, Reinert T, Pitsch I (1994) J Noncryst Sol 176:179. b. Hoebbel D, Pitsch I, Heidmann D (1992) Eurogel ‘91, Elsevier Science Publication, p 467Google Scholar
- 24.Pach M, Stösser R (1997) J Phys Chem A 101:8360CrossRefGoogle Scholar
- 25.a. Hong B, Thoms TPS, Murfee HJ, Lebrun HJ (1997) Inorg Chem 36:6146. b. Feher FJ, Wyndham KD (1998) Chem Comm 323. c. Dvornic PR, Hartmann-Thompson C, Keinath SE, Hill EJ (2004) Macromolecules 37:7818Google Scholar
- 26.a. Kim GM, Qin H, Fang X, Sun FC, Mather PT (2003) J Poly Sci B Polym Phys 41:3299. b. Kim BS, Mather PT (2002) Macromolecules 35:8378Google Scholar
- 27.a. Waddon AJ, Coughlin EB (2003) Chem Mater 15:4555. b. Cardoen G, Coughlin EB (2004) Macromolecules 37:5123Google Scholar
- 28.a. Fu BX, Hsiao BS, White H, Rafailovich M, Mather P, Joen HG, Phillips S, Lichtenhan J, Schwab J (2000) Poly Inter 49:437. b. Fu BX, Zhang W, Hsiao BS, Rafailovich M, Sokolov J, Johansson G, Sauer BB, Phillips S, Blanski R (2001) High Perform Poly 12:565Google Scholar
- 29.Lin HC, Kuo SW, Huang CF, Chang FC (2006) Macromol Rapid Commun 27:537CrossRefGoogle Scholar
- 30.a. Baker ES, Gidden J, Anderson SE, Haddad TS, Bowers MT (2004) Nano Lett 4:779. b. Fu BX, Lee A, Haddad TS (2004) Macromolecules 37:5211. c. Kopesky ET, Haddad TS, Cohen RE, McKinley GH (2004) Macromolecules 37:8992Google Scholar
- 31.Brown JF, Vogt LH, Perescott PI (1964) J Am Chem Soc 86:1120CrossRefGoogle Scholar
- 32.Zhang C, Babonneau F, Bonhomme C, Laine RM, Soles CL, Hristov HA, Yee AF (1998) J Am Chem Soc 120:8380CrossRefGoogle Scholar
- 33.Sellinger A, Laine RM (1996) Macromolecules 29:2327CrossRefGoogle Scholar
- 34.Choi J, Harcup J, Yee AF, Zhu Q, Laine RM (2001) J Am Chem Soc 123:11420CrossRefGoogle Scholar
- 35.Sellinger A, Laine RM (1996) Chem Mater 8:1592CrossRefGoogle Scholar
- 36.Zhang C, Laine RM (2000) J Am Chem Soc 122:6979CrossRefGoogle Scholar
- 37.Laine RM, Choi J, Lee I (2001) Adv Mater 13:800CrossRefGoogle Scholar
- 38.Zhang C, Laine RM (1996) J Organomet Chem 521:199CrossRefGoogle Scholar
- 39.Tamaki R, Tanaka Y, Asuncion MZ, Choi J, Laine RM (2001) J Am Chem Soc 123:12416CrossRefGoogle Scholar
- 40.Costa ROR, Vasconcelos WL, Tamaki R, Laine RM (2001) Macromolecules 34:5398CrossRefGoogle Scholar
- 41.Laine RM, Zhang C, Sellinger A, Viculis L (1998) J Appl Organomet Chem 12:715CrossRefGoogle Scholar
- 42.a. Tamaki R, Choi J, Laine RM (2003) Chem Mater 15:793. b. Choi J, Tamaki R, Kim SG, Laine RM (2003) Chem Mater 15:3365Google Scholar
- 43.Choi J, Yee AF, Laine RM (2003) Macromolecules 15:5666CrossRefGoogle Scholar
- 44.a. Choi J, Kim SG, Laine RM (2004) Macromolecules 37:99. b. Choi J, Yee AF, Laine RM (2004) Macromolecules 37:3267Google Scholar
- 45.a. Brick CM, Tamaki R, Kim SG, Asuncion MZ, Roll M, Nemoto T, Laine RM (2005) Macromolecules 38:4655. b. Brick CM (2005) PhD dissertation. University of MichiganGoogle Scholar
- 46.Brick CM, Ouchi Y, Chujo Y, Laine RM (2005) Macromolecules 38:4661CrossRefGoogle Scholar
- 47.a. Zhang ZL, Horsch MA, Lamm MH, Glotzer SC (2003) Nano Lett 3:1341. b. Zhang X, Chan ER, Glotzer SC (2005) J Chem Phys 123:184718Google Scholar
- 48.Neumann D, Fisher M, Tran L, Matisons JG (2002) J Am Chem Soc 124:13998Google Scholar
- 49.Maitra P, Wunder SL (2002) Chem Mater 140:4494CrossRefGoogle Scholar
- 50.Mehl GH, Goodby JW (1996) Angew Chem 35:2641CrossRefGoogle Scholar
- 51.Takahashi K, Sulaiman S, Katzenstein JM, Snoblen S, Laine RM (2006) Aust J Chem 59:564CrossRefGoogle Scholar
- 52.Sulaiman S, Brick C, De Sana CM, Katzenstein JM, Laine RM, Basheer RA (2006) Macromolecules 39:5167CrossRefGoogle Scholar
- 53.Asuncion MZ, Laine RM (2007) Macromolecules 40:555CrossRefGoogle Scholar
- 54.a. Brick C, Chan ER, Glotzer SC, Martin DC, Laine RM (2007) Adv Mater 19:82. b. Brick C (2004) PhD dissertation. University of MichiganGoogle Scholar
- 55.Fréchet JMJ, Hawker CJ (1996) In: Aggarwal SL, Russo S (eds) Comprehensive polymer science, p 140Google Scholar
- 56.Tomalia DA, Naylor AM, Goddard III WA (1990) Angew Chem Int Ed Engl 29:138CrossRefGoogle Scholar
- 57.Dykes G (2001) J Chem Tech Biotech 76:903CrossRefGoogle Scholar
- 58.Feher FJ, Budzichowski TA (1989) J Organomet Chem 379:33CrossRefGoogle Scholar
- 59.a. Marciniec B, Pietraszuk C (2003) Current Org Chem 7:691. b. Kujawa-Welten M, Pietraszuk C, Marciniec B (2002) Organometallic 21:840Google Scholar
- 60.a. Sellinger A, Tamaki R, Laine RM, Ueno K, Tanabe H, Williams E, Jabbour GE (2005) Chem Comm 3700. b. Sellinger A, Laine RM (2003) US Patent, 6,517,958, Feb 2003Google Scholar
- 61.a. Lo MY, Ueno K, Tanabe H, Sellinger A (2006) Chem Rec 6:157. b. Lo MY, Zhen C, Lauters M, Jabbour GE, Sellinger A (2007) J Am Chem Soc 129:5808Google Scholar
- 62.Sulaiman S, Brick C, Roll M, Bhaskar A, Goodson T, Zhang, J, Laine, RM J Am Chem Soc (to be submitted)Google Scholar
- 63.a. Stang PJ, Diederich F (1988) Metal-catalyzed cross-coupling reactions. Wiley-VCH, Weinheim. b. Frost CG, Mendonca P (1998) J Chem Soc Perkin Trans I:2615Google Scholar
- 64.Roll M, Asuncion MZ, Kampf J, Laine RM (2008) ACS Nano ASAP publication, Jan 21Google Scholar
- 65.Takahashi K, Laine RM (in preparation)Google Scholar
- 66.Bassindale AR, Chen H, Liu Z, MacKinnon IA, Parker DJ, Taylor PG, Yang Y, Light ME, Norton PN, Hursthouse MB (2004) J Organomet Chem 689:3287CrossRefGoogle Scholar
- 67.Ro HW, Char K, Jeon EC, Kim HJ, Kwon K, Lee HJ, Lee JK, Rhee HW, Soles CL, Yoon DY (2007) Adv Mater 19:705CrossRefGoogle Scholar


























