Abstract
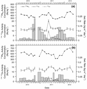
Sediment transport processes and their responses to hydrological conditions were investigated based on sediment trap observations in a reservoir–catchment system in Japan. The annual discharge rate of 134Cs from the catchment was much higher than that of 137Cs. This difference suggests that 134Cs freshly derived from the Fukushima Dai-ichi Nuclear Power Plant accident accumulated in the surface soil, which acted as a major sediment source. The seasonal changes in the 137Cs/210Pbex ratio in the trap samples corresponded well to the precipitation changes. This suggests that the precipitation intensity affects the source of eroded sediment in the catchment.
This is a preview of subscription content, access via your institution.



References
- 1.
Page MJ, Trustrum NA, DeRose RC (1994) J Paleolimnol 11:333–348
- 2.
Kashiwaya K, Okimura T, Harada T (1997) Earth Surf Proc Land 22:913–922
- 3.
Lamoureux S (2000) Water Resour Res 36:309–318
- 4.
Peng Y, Xiao J, Nakamura T, Liu B, Inouchi Y (2005) Earth Planet Sci Lett 233:467–479
- 5.
Richie JC, McHenry JR (1990) J Environ Qual 19:215–233
- 6.
Le Cloarec MF, Bonté P, Lefèvre I, Mouchel JM, Colbert S (2007) Sci Total Environ 375:125–139
- 7.
The Ministry of Education, Culture, Sports, Science and Technology (MEXT) (2011) Results of the fourth airborne monitoring survey by MEXT. http://radioactivity.mext.go.jp/en/contents/4000/3179/view.html. Accessed 17 Oct 2012
- 8.
The Ministry of Education, Culture, Sports, Science and Technology (MEXT) (2011) Summarized version of the “Results of the research on distribution of radioactive substances discharged by the accident at TEPCO’s Fukushima Dai-ichi NPP. http://radioactivity.mext.go.jp/en/contents/1000/294/view.html. Accessed 17 Oct 2012
- 9.
Yasunari TJ, Stohl A, Hayano RS, Burkhart JF, Eckhardt S, Yasunari T (2011) P Natl Acad Sci USA 108:19530–19534
- 10.
Katata G, Terada H, Nagai H, Chino M (2012) J Environ Radioactiv 111:2–12
- 11.
Shotbolt LA, Thomas AD, Hutchinson SM (2005) Progr Phys Geogr 29:337–361
- 12.
Kashiwaya K, Ochiai S, Okimura T, Nahm WH, Yang DY, Kim JY (2012) Trans, Japanese Geomorphol Union 33:219–236
- 13.
Ishikawa Prefecture (2012) http://atom.pref.ishikawa.lg.jp/resource/genan/1F2011/1F20110311.html. Accessed 27 June 2012
- 14.
Yamamoto M, Sakaguchi A, Sasaki K, Hirose K, Igarashi Y, Kim CK (2006) J Environ Radioact 86:110–131
- 15.
Kato H, Onda Y, Teramage M (2012) J Environ Radioact 111:59–64
Author information
Affiliations
Corresponding author
Rights and permissions
About this article
Cite this article
Ochiai, S., Yamamoto, M., Nagao, S. et al. Sediment transport processes in a reservoir–catchment system inferred from sediment trap observations and fallout radionuclides. J Radioanal Nucl Chem 303, 1497–1501 (2015). https://doi.org/10.1007/s10967-014-3577-0
Received:
Published:
Issue Date:
Keywords
- Reservoir sediment
- Sediment trap
- 210Pb
- 137Cs
- 134Cs