Abstract
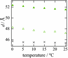
Effects of monovalent and monatomic salts on lamellar repeat distances d of nonionic surfactants (monomyristolein and \({\mathrm {C_{12}E_{2}}}\)) are investigated using small-angle X-ray diffraction. The lamellar repeat distances (sum of thicknesses of a bilayer and a sandwiched water layer) increase with increasing salt concentration with a strong anion dependence (Br\(^->\) Cl\(^- \)). The increase of the thickness of the water layer is found to dominate the increase in d. Since the anion dependence is inconsistent with the ion dependence of the strength of the primary hydration, we reported previously (Hishida et al. J Chem Phys 142:171101, 2015), the hydration force classically considered is not the origin of the increase in d. This means the increase in d cannot be explained by the existing model of the forces between neutrally charged bilayers. The temperature dependence of d also supports the necessity for a new mechanism of the effect of ions. The new mechanism seems to be related to the water structure beyond the primary hydration water, i.e., the secondary hydration water, which depends on the ion species.
This is a preview of subscription content, access via your institution.
We’re sorry, something doesn't seem to be working properly.
Please try refreshing the page. If that doesn't work, please contact support so we can address the problem.





References
- 1.
Israelachvili, J.N.: Intermolecular Surface Forces. Academic Press, Elsevier, Amsterdam (2010)
- 2.
Hofmeister, F.: On the understanding of the effects of salts. On regularities in the precipitating effect of salts and their relationship to their physiological behavior. Arch. Exp. Pathol. Pharmakol. 24, 247–260 (1888)
- 3.
Zhang, Y., Furyk, S., Bergbreiter, D.E., Cremer, P.S.: Specific ion effects on the water solubility of macromolecules: PNIPAM and the Hofmeister series. J. Am. Chem. Soc. 127, 14505–14510 (2005)
- 4.
Schott, H., Royce, A.E., Han, S.K.: Effect of inorganic additives on solutions of nonionic surfactants VII. Cloud point shift values of individual Ions. J. Colloid Interface Sci. 98, 196–201 (1984)
- 5.
Parsons, D.F., Boström, M.: Lo Nostro, P., Ninham, B.W.: Hofmeister effects: Interplay of hydration, nonelectrostatic potentials, and ion size. Phys. Chem. Chem. Phys. 13, 12352–12367 (2011)
- 6.
Nostro, Lo Nostro, Ninham, B.M.: Hofmeister phenomena: an update on ion specificity in biology. Chem. Rev. 112, 2286–2322 (2012)
- 7.
Milhaud, J.: New insights into water-phospholipid model membrane interactions. Biochim. Biophys. Acta 1663, 19–51 (2004)
- 8.
Parsegian, V.A., Zemb, T.: Hydration forces: observations, explanations, questions. Curr. Opin. Colloid Interface Sci. 16, 618–624 (2011)
- 9.
Schneck, E., Netz, R.R.: From simple surface models to lipid membranes: universal aspects of the hydration interaction from solvent-explicit simulations. Curr. Opin. Colloid Interface Sci. 16, 607–611 (2011)
- 10.
Kilpatrick, J.I., Loh, S., Jarvis, S.P.: Directly probing the effects of ions on hydration forces at interfaces. J. Am. Chem. Soc. 135, 2628–2634 (2013)
- 11.
Rand, R.P., Parsegian, V.A.: Hydration forces between phospholipid bilayers. Biochim. Biophys. Acta 988, 351–376 (1989)
- 12.
Hishida, M., Tanaka, K.: Long-range hydration effect of lipid membrane studied by terahertz time-domain spectroscopy. Phys. Rev. Lett. 106, 158102 (2011)
- 13.
Ben-Yaakov, D., Andelman, D., Podgonik, R., Harries, D.: Ion-specific hydration effects: Extending the Poisson–Boltzmann theory. Curr. Opin. Colloid Interface Sci. 16, 542–550 (2011)
- 14.
Ninham, B.W., Duignan, T.T., Parson, D.F.: Approaches to hydration, old and new: insights through Hofmeister effects. Curr. Opin. Colloid Interface Sci. 16, 612–617 (2011)
- 15.
Hishida, M., Kaneko, Y., Okuno, M., Yamamura, Y., Ishibashi, T., Saito, K.: Communication: salt-induced water orientation at a surface of non-ionic surfactant in relation to a mechanism of Hofmeister effect. J. Chem. Phys. 142, 171101 (2015)
- 16.
Hishida, M., Yamamura, Y., Saito, K.: Salt effects on lamellar repeat distance depending on head groups of neutrally charged lipids. Langmuir 30, 10583–10589 (2014)
- 17.
Petrache, H.I., Gouliaev, N., Tristram-Nagle, S., Zhang, M., Suter, R., Nagle, J.F.: Interbilayer interactions from high-resolution x-ray scattering. Phys. Rev. E 57, 7014–7024 (1998)
- 18.
Briggs, J., Caffrey, M.: The temperature-composition phase diagram of monomyristolein in water: equilibrium and metastability aspects. Biophys. J. 66, 573–587 (1994)
- 19.
Lynch, M.L., Kochvar, K.A., Burns, J,L., Laughlin, R.G.: Aqueous-phase behavior and cubic phase-containing emulsions in the C12E2–water system. Langmuir 16, 3537–3542 (2000)
- 20.
Luzzati, V.: Chapter 3. In: Chapman, D. (ed.) Biological Membranes. Academic Press, New York (1968)
- 21.
Pezron, I., Pezron, E., Bergenståhl, B.A., Claesson, P.M.: Repulsive pressure between monoglyceride bilayers in the lamellar and gel states. J. Phys. Chem. 94, 8255–8261 (1990)
- 22.
MERCK MILLIPORE, Concentration Density Finder
- 23.
Hishida, M., Seto, H., Yamada, N.L., Yoshikawa, K.: Hydration process of multi-stacked phospholipid bilayers to form giant vesicles. Chem. Phys. Lett. 455, 297–302 (2008)
- 24.
Helfrich, W.: Steric interactions of fluid membranes in multilayer systems. Z. Naturforsch 33a, 305–315 (1978)
- 25.
Petrache, H.I., Zemb, T., Belloni, L., Parsegian, V.A.: Salt screening and specific ion adsorption determine neutral-lipid membrane interactions. Proc. Nat. Acad. Sci. USA 103, 7982–7987 (2006)
- 26.
Pashley, R.M., McGuiggan, P.M., Ninham, B.W., Brady, J., Evans, D.F.: Direct measurements of surface forces between bilayers of double-chained quaternary ammonium acetate and bromide surfactants. J. Phys. Chem. 90, 1637–1642 (1986)
- 27.
Petrache, H.I., Tristram-Nagle, S., Harries, D., Kučerka, N., Nagle, J.F., Parsegian, V.A.: Swelling of phospholipids by monovalent salt. J. Lipid Res. 47, 302–309 (2005)
- 28.
Marcus, Y.: Effect of ions on the structure of water: structure making and breaking. Chem. Rev. 109, 1346–1370 (2009)
Acknowledgments
This work was supported in part by a Grant-in-Aid for Scientific Research from JSPS (Grant Nos. 24740289, 15K13546) for M.H. The SAXD experiments were performed under the approval of the Photon Factory Program Advisory Committee (Proposal Nos. 2013G525 and 2013G530).
Author information
Affiliations
Corresponding author
Rights and permissions
About this article
Cite this article
Hishida, M., Kaneko, Y., Yamamura, Y. et al. Salt Effects on Lamellar Structure of Nonionic Surfactants. J Solution Chem 45, 1612–1619 (2016). https://doi.org/10.1007/s10953-016-0529-z
Received:
Accepted:
Published:
Issue Date:
Keywords
- Nonionic surfactant
- Lamellar repeat distance
- Monovalent ion
- Role of water structure