Abstract
Toxicokinetics (TK) provides critical information for integrating chemical toxicity and exposure assessments in order to determine potential chemical risk (i.e., the margin between toxic doses and plausible exposures). For thousands of chemicals that are present in our environment, in vivo TK data are lacking. The publicly available R package “httk” (version 1.8, named for “high throughput TK”) draws from a database of in vitro data and physico-chemical properties in order to run physiologically-based TK (PBTK) models for 553 compounds. The PBTK model parameters include tissue:plasma partition coefficients (Kp) which the httk software predicts using the model of Schmitt (Toxicol In Vitro 22 (2):457–467, 2008). In this paper we evaluated and modified httk predictions, and quantified confidence using in vivo literature data. We used 964 rat Kp measured by in vivo experiments for 143 compounds. Initially, predicted Kp were significantly larger than measured Kp for many lipophilic compounds (log10 octanol:water partition coefficient > 3). Hence the approach for predicting Kp was revised to account for possible deficiencies in the in vitro protein binding assay, and the method for predicting membrane affinity was revised. These changes yielded improvements ranging from a factor of 10 to nearly a factor of 10,000 for 83 Kp across 23 compounds with only 3 Kp worsening by more than a factor of 10. The vast majority (92%) of Kp were predicted within a factor of 10 of the measured value (overall root mean squared error of 0.59 on log10-transformed scale). After applying the adjustments, regressions were performed to calibrate and evaluate the predictions for 12 tissues. Predictions for some tissues (e.g., spleen, bone, gut, lung) were observed to be better than predictions for other tissues (e.g., skin, brain, fat), indicating that confidence in the application of in silico tools to predict chemical partitioning varies depending upon the tissues involved. Our calibrated model was then evaluated using a second data set of human in vivo measurements of volume of distribution (Vss) for 498 compounds reviewed by Obach et al. (Drug Metab Dispos 36(7):1385–1405, 2008). We found that calibration of the model improved performance: a regression of the measured values as a function of the predictions has a slope of 1.03, intercept of − 0.04, and R2 of 0.43. Through careful evaluation of predictive methods for chemical partitioning into tissues, we have improved and calibrated these methods and quantified confidence for TK predictions in humans and rats.
Introduction
Analysis of pooled human plasma samples has indicated the presence, mostly in low levels, of more than 2000 potentially anthropogenic compounds [1]. Many more thousands of chemicals have been indicated in a recent analysis of house dust samples from homes in the United States [2]. The presence of these chemicals in our blood and our environment may be due to widespread commercial use of as many as 30,000 different chemicals [3]. Ideally these thousands of chemicals would be screened on the basis of risk posed to human health.
Two key factors that drive chemical risk assessment are toxicity and exposure potential [4]. However, toxicokinetic (TK) models are needed to predict tissue concentrations due to exposure in order to estimate the margin between toxic doses and exposures [5, 6]. Traditional TK methods are resource intensive, often requiring hundreds of test animals per chemical [7] and either the development of radiolabeled compound [8] or analytical chemistry methods of sufficient quality to quantify chemical concentration in tissue [9]. Most of these chemicals are non-therapeutic (e.g., industrial plasticizers) and therefore both ethical and cost considerations limit human TK testing [10]. For the many thousands of chemicals that need TK, even animal testing is economically out of reach [7]. As an alternative, relatively high throughput TK (HTTK) methods have been developed, based upon chemical structure-derived properties and limited in vitro assays that allow tissue concentrations to be predicted without the need for precise in vivo data [6, 11, 12]. HTTK methods are used by the pharmaceutical industry to determine the range of efficacious doses and to prospectively evaluate success of planned human clinical trials [13,14,15].
Physiologically based toxicokinetic (PBTK) models vary in complexity and certainty depending upon the available data for estimating model parameters. PBTK models present several advantages over more empirical models (e.g., the two compartment model [16]): mapping the mechanics of the models onto physiologic processes provides an interpretation for parameter values that can speed their estimation by constraining the plausible values [17, 18]. PBTK models also facilitate interspecies extrapolation since some processes (driven by chemical properties), including partitioning of chemical into various cellular constituents (e.g., lipid), are reasonably assumed to be consistent across species even as the blood flows, volumes of tissues, and fractional volumes of tissue constituents vary in known and well characterized ways [19,20,21].
Partition coefficients, defined as the concentration ratio of two adjacent compartments at equilibrium, are used in some PBTK models in determining individual tissue concentrations of compounds relative to blood or plasma. Many models with similar structures have been developed to determine tissue:plasma partition coefficients (Kp) [22,23,24,25,26]. However, high-throughput screening for thousands of chemicals requires a model that can be parameterized for many compounds using a small set of easily generated data. Schmitt’s model [22] predicts red blood cell to plasma partitioning, and thus blood to plasma partition coefficients [27], and requires knowledge of only lipophilicity (i.e., log Pow), the fraction unbound in plasma (fup), and chemical ionization equilibria (pKa). These parameters can be predicted with quantitative structure-activity relationships (QSAR) when measurements are unavailable. The fup is typically measured in vitro, though models for predicting fup from chemical structure have recently become available [28, 29].
The Kp are also used in calculating steady-state volume of distribution, Vss, defined as the implied volume (e.g., L) that yields the peak concentration (e.g., mg/L) as observed in plasma given an intravenous dose (e.g., mg). The Vss is calculated by summing all Kp, each multiplied by its respective tissue volume, and the plasma volume [22]. Multiplying Vss by the plasma concentration yields the total amount of a compound within a person or animal, assuming equilibrium. The Vss determines the initial concentration and elimination rate of one compartment models, and can be measured in vivo from blood samples, allowing further Kp model evaluation in a human context [30].
In this report we compare predictions of Kp and Vss from Schmitt’s model (2008) (with modifications) to in vivo data in order to guide revision and calibration. These improved and calibrated predictors then can be used to predict chemical partitioning in humans for thousands of chemicals that are unlikely to ever have a human clinical trial. Estimated standard errors establish tissue-specific levels of confidence for the prediction of chemical partitioning for use in risk-based decision making.
Methods
We collected 964 rat Kp values estimated from in vivo experiments for 143 compounds and used them to evaluate and calibrate the predictions of Schmitt’s model [22]. First, we implemented refinements to the Schmitt (2008) model that improve the agreement between predicted and in vivo measured Kp values. Next, we quantified the remaining differences between in silico predictions and in vivo measurements via linear regressions of the in vivo data on our predicted values to estimate calibration coefficients and standard errors for Kp predictions. We evaluated these calibrated predictions by using them to predict Vss and blood to plasma partitioning for humans and compared them against measured data for 498 and 279 chemicals, respectively [30]. We provide our revised algorithm with the regressions in the freely available, open source R software package “httk”.
The Kp and Vss were initially predicted with the method contained in R package httk version 1.5 [31,32,33,34] which uses the model described in Schmitt [22] with an additional regression for calculating membrane affinity [10]. We note that, in this methods section, K with the upper-case subscript “P” refers to protein:water partition coefficient (KP), while throughout the rest of the text K with the lower-case subscript “p” refers to tissue:plasma partition coefficients (Kp). The revised methods and data described here were released with R package “httk” version 1.8, which includes additional values for species-specific tissue and plasma component fractional volumes, log Pow, pKa, and fup that both provide data for new compounds and revise data for compounds previously contained in the package. Throughout our evaluations we use the root-mean square errors (RMSE) between the log10 predicted and measured values as a guide to overall predictive ability, with lesser RMSE being preferred. We note that the difference between the logarithms of two numbers is equivalent to the logarithm of the ratio of the two numbers, and therefore the RMSE is a measure of the bias and variance of the absolute fold-change (up or down).
Data
Sources of measurements of Kp
The evaluation used 964 rat Kp measurements of 143 compounds from 11 sources [22, 23, 25, 35,36,37,38,39,40,41,42] that included both reviews and primary papers. The Kp measurements for a given compound and tissue sometimes varied across sources, with values reported as an individual measurement, a range of values, or the mean of multiple measurements. For each Kp, duplicate values were removed, and the means of the individual values were used. Values from Yun and Edginton [41] and Rodgers et al. [36] were used when it was not clear if there were duplicates within the means. The Kp were used from Gueorguieva et al. [38] that were calculated with the closed loop method. The Kp were measured in vivo with a variety of dosing methods including intravenous infusion and bolus injection. Rat red blood cell Kp were calculated from in vitro blood to plasma partitioning (B:P ratio), using a hematocrit value of 0.46 [43], assuming the remaining blood volume to be plasma. Human B:P ratio, used in a separate evaluation, were taken from 6 sources [10, 12, 44,45,46,47] and converted into red blood cell Kp in the same way as for rats but with a hematocrit value of 0.44 [43].
Sources of measurements of pKa, fup, log Pow, tissue volumes, and Vss
The pKa and fup values were taken from their respective Kp data sources, and when unavailable, pKa was calculated with the ChemAxon pKa prediction [48, 49]. The log Pow were also taken from their respective Kp data source where available. The sources for the compound specific data (log p, membrane affinity, fup, and pKa) used for rat data are included in Supplemental Table 1, and the sources used with human data are included in httk version 1.8. Species-specific (rat and human) fractional tissue component and plasma protein volumes came from Ruark et al. [27], replacing the Schmitt [22] values for all tissues except for bone and gut. Similar tissue volume data were used in Schmitt [22] as in Ruark et al. [27] for rats, with a few differences. However, the use of the latter data yielded significantly better results and uncovered an error in the fractional volume of neutral lipid in the brain in Schmitt’s tissue data set, which had led to a systematic over-prediction of Kp in brain. Thirteen compounds were excluded because of their arbitrary fup value of 0.5. All other rat Kp data available for the evaluated tissues were used except for Laniquidar, which had a fup of 0, and brain Kp of Sparfloxacin, also 0. In the adjustment of fup, the fractional volumes of neutral lipid and neutral phospholipid were taken from Peyret et al. [26] for rats and Poulin and Haddad [50] for humans. Empirical data for 498 compounds was taken from Obach et al. [30] to evaluate Vss. These Vss were inferred from a variety of in vivo studies administering i.v. dosing to humans [29]. Tissue volumes, L/kg, for calculating Vss were calculated by converting the fractional mass of each tissue with its density [51, 52], lumping the remaining tissues into the rest-of-body, excluding the mass of the gastrointestinal contents. Hematocrit was taken from Davies and Morris [43]. Membrane affinity values, used in Kp calculation when available, were taken from Schmitt [22], Endo et al. [53], and other sources cited in the package.
Schmitt’s model
In Schmitt’s model, each tissue is composed of cells and interstitium, with each cell consisting of neutral lipid, neutral phospholipid, water, protein, and acidic phospholipid. Each tissue cell is defined as the sum of separate compartments for each constituent, all of which partition with a shared water compartment. The partitioning between the cell components and cell water is compound specific and determined by log Pow (in neutral lipid partitioning), membrane affinity (phospholipid and protein partitioning), and pKa (neutral lipid and acidic phospholipid partitioning). For a given compound the partitioning into each component is identical across tissues. Thus the differences among tissues are driven by their composition, i.e., the varying volumes of components such as neutral lipid. However, pH differences across tissues also determine small differences in partitioning between cell and plasma water. The fup is used as the plasma water to total plasma partition coefficient and to approximate the partitioning between interstitial protein and water.
The partition coefficients for all components of a cell are summed together to calculate the cell:cell water partition coefficient [22]:
where F component represents the fractional volumes of the cell and K component represents the component:cellular water partition coefficients for water (W), neutral lipid (nL), neutral phospholipid (nPL), acidic phospholipid (aPL), and protein (P).
The total amount in the cell, Acell, is defined as the sum of the amounts across all cell compartments in the model. Vcell, the total cell volume, can be larger than the total volume of the model components, assuming negligible partitioning into components beyond the scope of the model, but except for in the case of bone and gut, it is taken to be the sum of only the model components. The concentration in the cell is given by:
K tissue is defined as the partition coefficient between the tissue components and the plasma water:
where we sum the components of the tissue, cell and interstitium (int), together in the same way as the components of the cell [22]. Since interstitial water is assumed to have the same pH as plasma water, \(K_{interstitial\,water:plasma\,water} = 1\), and this factor can be ignored. However, to account for the concentration difference between the cellular water and plasma water for each tissue due to pH differences, Kcell is converted with K cell water:plasma water [22]:
where D represents the distribution coefficient:
with α = 0.001 [22]. Equation 4 assumes that the partitioning into neutral lipid, DDx, is proportional to the rate of the compound exiting either compartment through the cell membrane (DxCx), resulting in an equilibrium concentration in each compartment proportional to the ionized fraction of the compound. Dcell is also used as the neutral lipid partition coefficient of the tissue, KnL. Ionization is calculated with the Henderson–Hasselbalch equation using pH values from Schmitt [22] for the cells, and a pH of 7.4 for plasma. The neutral fraction of zwitterions is treated as neutral.
fup is used as Kplasma water:plasma in converting Ktissue to Kp [22]:
The plasma protein to water partition coefficient, \(K_{P}^{pl}\), is solved for and substituted for the interstitial protein to water partition coefficient, \(K_{P}^{int}\), assuming plasma and interstitium both consist of only protein and water [22]. The superscripts “pl” and “int” denote partitioning with plasma and interstitium water rather than cellular water (no superscript):
After making the substitution, the fractional volume ratio of protein in interstitium to protein in plasma, \(F_{P}^{int} /F_{P}^{pl} ,\) is taken to be 0.37:
Acidic phospholipid and protein partitioning were calculated as [22]:
with cations partitioning at a rate of 20 times more \((\alpha_{ + } = 20)\) than the neutral species into acidic phospholipid and anions partitioning 20 times less \((\alpha_{ - } = 0.05)\).
Adjustments to membrane affinity
The only difference in our initial method of calculating partition coefficients from the method in Schmitt [22] is in the calculation of \(K_{nPL}\), membrane affinity. Membrane affinity data were available for 53 compounds, primarily taken from Schmitt [22], but for the remaining compounds, membrane affinity was initially predicted with a regression on neutral compounds from Endo et al. [53], reported in Wambaugh et al. [10] and used in the R package httk. This regression was roughly equivalent to using log Pow, the suggested approximate value in Schmitt [22]. When membrane affinity data were unavailable, they were initially predicted with a regression on log p and temperature data from Endo et al. [53] on neutral compounds, shown in (11) [10], T representing the body temperature in Celsius of the species.
For compounds with log Pow greater than 106, membrane affinity values differed from log Pow by more than a factor of 2.
Five methods for predicting membrane affinity were evaluated before deciding to use a regression from Yun and Edginton [41], performed on the 59 compounds with membrane affinity data in Schmitt [22] (the 7 additional compounds to those evaluated only contained rabbit Kp). Alternate methods include: the original method from Poulin, Theil [23] in treating neutral phospholipids as 30% neutral lipid (\(K_{nL}^{pl}\)) and 70% water; using \(K_{nL}^{pl}\) as a surrogate for membrane affinity; and a technique similar to the calculation of neutral lipid and acidic phospholipid where the Wambaugh et al. [10] regression was multiplied by the unionized fraction and added to the ionized fraction multiplied by the Yun regression. These methods were evaluated by comparing the RMSE of the Kp without membrane affinity data, prior to adjusting protein binding. Equations for all methods evaluated are reported in Supplemental Table 2.
Adjustments to fraction unbound in plasma
A lipophilic un-ionized compound should bind to the neutral lipid in plasma to a much higher degree than observed for certain compounds, based on the lipid binding model in tissue (5) and fractional volume of lipid in plasma. The error in Kp prediction for these compounds may be hypothesized to be lower due to insufficient lipid binding in the in vitro protein binding assay [50, 54, 55]. This deficiency in the assay leads to a much higher unbound concentration relative to the bound concentration for lipophilic compounds and thus an overestimation of fup and Kp. To adjust for this we recalculated the plasma:water partition coefficient (1/fup) to account for neutral lipid binding in plasma, assuming that some lipid is absent from the in vitro assay. This adjustment reduces the presumably erroneous fup values to what we would expect based on the lipid binding model (5) without significantly affecting fup values already lower than expected or with small \(K_{nL}^{pl}\). Many fup for highly lipophilic compounds (log p > 5) are reduced to below the limit of detection, which would thus otherwise be difficult to accurately measure.
In (12), the neutral lipid to water partitioning, \(K_{nL}^{pl} *F_{lipid}\), is added to the plasma: water partition coefficient, 1/fup, to get an adjusted plasma: plasma water partition coefficient. This is equivalent to assuming that \(f_{up}^{in\, vitro}\) contains the correct partitioning values except for a missing fractional volume of lipid. Although lipid is present in vitro, we do not know the concentration and therefore Flipid is calculated as the sum of the physiological plasma neutral lipid fractional volume and 30% of the neutral phospholipid fractional volume in plasma. We use values from Peyret et al. [26] for rats and Poulin and Haddad [50] for humans. We decided for simplicity to treat 30% of the neutral phospholipid volume as neutral lipid and 70% as water rather than use our membrane affinity predictor [23, 26]. We applied this correction to fup and determined the improvement independent of the membrane affinity adjustment.
Adjusting Kp prediction through linear regression
To further improve Kp calculation, measured Kp were regressed against the adjusted predictions for each tissue on log10-transformed Kp using R’s default lm function. This allows us to substitute future Kp calculations into the regressions as Kp predictions to yield an expected measured value based on the observed discrepancies on a per tissue basis. The 95% prediction intervals were calculated as shown in Fig. 4. Joint tests were performed with the estimable function from the gmodels package to calculate p-values for testing the hypothesis that the true regression is the identity line, i.e., the probabilities of the observed regressions when assuming a correctly estimated variance and a true regression with a slope of 1 and intercept of 0.
Blood: plasma concentration ratio evaluation
In vitro human B:P ratio for 279 compounds were compared to in silico predictions of red blood cell and B:P ratio. B:P ratio was calculated with (13) [27] from the predicted Krbc:plasma, and Krbc:plasma was back calculated with the same equation from the in vitro B:P ratio. Both B:P ratio and Krbc:plasma were compared to predicted values. A regression censored below 0.1 was performed on log10-transformed Krbc:plasma using the function em.cens from the R package CensRegMod to incorporate negative and zero values.
Volume of distribution
To further evaluate the Kp adjustments and calibrations, Vss predictions, calculated with initial, adjusted, and calibrated Kp values, were compared to in vivo human Vss for 498 compounds from Obach et al. [30]. The Vss were calculated with (14), where the products of Kp and their respective volumes are summed together with the plasma volume. After the initial calculation, each Vss was then calculated again using the adjusted Kp values and again with the use of the regression-adjusted Kp values, excluding the red blood cell regression. Kidney and liver Kp were not adjusted to account for clearance. When the regression-adjusted Kp were used, the rest-of-body compartment was calculated as the average of the other regression-adjusted Kp. When calculating Vss without regressions, rest-of-body Kp was calculated with the same method as the others, using fractional volumes for each tissue component approximated by the mean fractional volume of that tissue component across all other tissues, excluding red blood cells. Log10-transformed measured Vss were regressed on predicted Vss using the same method as for Kp to evaluate the model performance.
Results
Our research proceeded in three stages: (1) modification of the predictive method guided by the goal of better predictions for egregious outliers among a dataset of rat Kp, (2) empirical calibration of our modified model on a tissue-by-tissue basis, and (3) evaluation of our modified and calibrated predictions using human in vivo measured volumes of distribution.
Modification of the Schmitt (2008) tissue partitioning model
Figure 1 demonstrates the improvement made by revising key assumptions. When the 964 tissue-specific partition coefficients (Kp), estimated from rat in vivo data for 143 compounds were plotted against their predicted values in Fig. 1a, outlier chemicals were identified, guiding the modifications (described below) that produced the improved predictions shown in Fig. 1b. Initially, 32 Kp for 11 compounds were over-predicted by more than a factor or 100. Including these 32, 166 Kp for 56 compounds were over-predicted by more than a factor of 10. Prediction accuracy was correlated across Kp for a given compound. Two compounds in Fig. 1a accounted for 11 of the most over-predicted Kp: Glycyrrhetinic acid [23] had 6 measured Kp which were all predicted to be larger than 100 but were measured to be less than 0.25. The predictions for Glycyrrhetinic acid improved by at least a factor of 10 due to the membrane affinity adjustment (see Methods and below). Compound JNJ17 [41] had 5 measured Kp. The initial method predicted that 2 were greater than 10,000 and an additional 3 were greater than 5000. The protein binding adjustment improved predictions for JNJ17 by a factor of 275. Glycyrrhetinic acid and JNJ17 were two of the three compounds in our data set with log p greater than 6, which demonstrates that high log p compounds initially had the greatest over-prediction. Of the 32 Kp over-predicted by more than a factor of 100, 31 were for compounds with log p greater than 4, and 27 of the 32 Kp were for the same five compounds. The predominance of error in high log p compounds was greatly reduced after adjustments. RMSE and fold-error for all modifications are included in Supplemental Table 3.
Measured versus predicted rat Kp comparisons before and after adjustments. a is of the original predictions, and b is after applying the adjustments to fup and membrane affinity. The diagonal line is the identity. Although there is a trend, in (b), with a slope of 0.65 and intercept of 0.09 with 95% confidence intervals of (0.61, 0.70) and (0.05, 0.13) respectively, the regression of measured on predicted Kp only explains 43% of the variance. There are still many Kp for which the predictions are much larger than the measured values
Membrane affinity
Membrane affinity determines the amount of chemical that partitions into lipid bilayers (e.g., cell walls) and is therefore an important parameter, albeit one for which data are often not available. We initially predicted membrane affinity using a regression based on neutral compounds [10]. We then considered four new methods: (1) using \({\text{K}}_{\text{nL}}^{\text{pl}}\) as a surrogate; (2) the method of Poulin and Theil [23] that treats neutral phospholipids as 30% lipid and 70% water; (3) using a combination of our original regression for neutral compounds and the regression performed by Yun and Edginton [41] on 59 neutral, ionized, and zwitterionic compounds in Schmitt’s data set; and, (4) using the Yun and Edginton [41] regression alone. Equations for all five methods are reported in Supplemental Table 2. For the 552 Kp measured for 93 compounds that lacked available measured membrane affinity, the four above methods yielded RMSE for the log10-transformed values of 0.91, 0.86, 0.85, 0.77, respectively, compared to an initial RMSE of 1.09, prior to modifying fup. The Kp predicted with available membrane affinity data had a RMSE of 0.48. Among the four methods, the Yun and Edginton [41] regression performed the best because of its ionization independent minimization of phospholipid partitioning relative to log Pow. Schmitt [22] mentions that acidic compounds partition at a ratio of 10–100 times less than neutrals, but this did not account for the observed over-prediction of basic compounds.
The Kp for neutral compounds were predicted slightly but not significantly better (worsening by a mean factor of 1.1 for 55 Kp lacking membrane affinity data) with the Wambaugh et al. [10] regression than with the Yun and Edginton [41] regression. Conversely, zwitterionic compounds, which were mostly un-ionized and had a similar log p range, improved by a mean factor of 1.2. Acids and bases with the same level of neutrality (83% or more at a pH of 7.4) changed even less. All 12 neutral compounds without membrane affinity data had log p less than 3, providing little information on the validity of the adjustments for lipophilic un-ionized compounds. The 9 relatively neutral compounds (70% or more neutral) in the data set with log p greater than 3, containing 62 Kp, improved by a mean factor of 1.8. Since there was no worsening in the Kp predictions for neutral compounds, and no other methods yielded better results, we selected the regression from Yun and Edginton [41] to predict membrane affinities whenever measured data were not available.
As shown in Fig. 2, the new regression for membrane affinity improved 68 Kp predictions across 18 compounds by a factor of 10, and 132 Kp across 34 compounds by a factor of 3. Of the 68 improved by more than a factor of 10, all compounds had log p greater than or equal to 3.72 and were strong bases (except 2). However, 145 Kp changed for the worse with a mean factor of 1.7. All 20 values (across 11 compounds) that worsened by more than a factor of 3 also had higher log p values (2.88 or greater, excepting 1 Kp) and were mostly strong bases, but here there was a predominance of liver Kp and under-predictions prior to adjustment. Two compounds accounted for 10 of these values (FTY-720 and JNJ 37), suggesting possible exceptionalism or experimental error. One possible source of error for FTY-720 is its fup of 0.0003, the lowest of any compound in our data set prior to modification, either in the measurement or in the assumption of only the unbound concentration penetrating the cell membrane. The 412 Kp with measured membrane affinity data were not modified, but the remaining 552 Kp had a RMSE of 0.77 after membrane affinity modification, compared to an original 1.09, on a log10 scale, improving by a mean factor of 1.9. There was consistently a similar change across tissues for each compound because of the similar fractions of neutral phospholipid across tissues.
Measured versus predicted Kp after implementing a new membrane affinity regression for 552 Kp (93 compounds) without membrane affinity data. These were initially predicted with a regression on neutral compounds [53], but improved with a regression [41] on 59 membrane affinity values compiled by Schmitt (2008). The plot is colored to represent the number of orders of magnitude each point has improved (log10 of improvement factor). Improvement is defined as the absolute value of the initial error, log10(measured / initial prediction), minus the absolute value of the final error, log10 (measured / final prediction)
Fraction unbound in plasma
For lipophilic un-ionized compounds, the actual, in vivo fup may be hypothesized to be different than is measured in vitro due insufficient lipid binding in the in vitro assay (i.e., less than the effective physiological quantity of lipid present in vitro) or other assay interference that is more pronounced for lipophilic compounds [50, 54, 55]. Adjusting for lipid binding in the in vitro assay [50, 54, 55] significantly reduced the estimated in vivo fup values for those lipophilic compounds with high fup that were not completely ionized, but because the majority of compounds did not belong to this class of compounds, they did not significantly change (Fig. 3). The only 16 Kp (3 compounds) that changed by more than a factor of 3 improved by a very high degree. The predictions for the 5 measured Kp values for JNJ17 improved by a factor of 279, due to a log p of 7, even though the initial fup was 0.02. The 10 Kp for Mazapertine (log p of 5.05 and fup of 0.03) improved by a factor of 5. Amiodarone red blood cell Kp improved by a factor of 257 even though it was 92% ionized because of its log p of 7.57 (fup of 0.05), demonstrating the exponential effect of the adjustment as log p increases. The adjustment method we have used is equivalent to assuming that all lipid is missing in vitro. In effect, some unknown amount between zero and physiologic may be missing. For those Kp with dramatic changes, the values were almost entirely determined by the amount assumed to be missing. Reducing the missing lipid by a factor of 2 yielded a change in fup of nearly the same amount. Compounds that significantly changed all had high lipophilicity with a tendency toward higher fup values and lower ionization. Although 336 Kp worsened, none did by more than a factor of 1.23. Conversely, 104 Kp improved by more than a factor of 1.23. RMSE changed from 0.88 to 0.79 on a log10 scale after modifying fup for all Kp.
Measured versus predicted Kp after adjusting fup. fup is reduced to take into account binding to lipid for lipophilic un-ionized compounds. The plot is colored to represent the number of orders of magnitude each point has improved (log10 of improvement factor). Improvement is defined as the absolute value of the initial error, log10 (measured/initial prediction), minus the absolute value of the final error, log10(measured/final prediction)
Calibration of the model
Having modified the model for predicting tissue partitioning to reduce errors using both of the methods discussed above, we then quantified tissue-specific confidence via linear regressions of the in vivo data on our predicted values to estimate calibration coefficients and standard errors for Kp predictions. These estimated calibrations and standard errors establish tissue-specific levels of confidence for the prediction of chemical partitioning.
Rat in vivo tissue partition coefficients
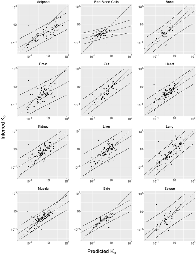
Regression coefficients for all twelve tissues for which rat in vivo data were available are reported in Table 1, and the plotted regressions are shown in Fig. 4. Additional regression coefficients using only the membrane affinity adjustment are provided in Supplemental Table 4. The regression of measured Kp on predicted Kp is significant (p-value < 0.05) in all tissues, but the correlation is weak in red blood cells, brain, and liver, all having fraction of variance explained (R2) of 0.34 or less. Bone, lung, and spleen are predicted well enough that the regressions are not far from the identity lines. Predictions were analyzed for bias (over-or under-prediction) by testing whether the data indicated that the predictions and measurements varied from the identity line (unbiased prediction). Spleen had a p-value of 0.28, bone of 0.25, lung of 0.13, and gut of 0.02. All other tissues had p-values of 7.89 × 10−6 or less, indicating bias.
Regressions (solid lines) for all tissues in evaluation with 95% confidence intervals and identities (dotted lines). The regression for red blood cells was not used in the application of the regressions to the calculation of Vss due to the limited range of points. Regression coefficients are included in Table 1
The bias in predicted Kp for adipose, brain, muscle, and skin led to predictions that mostly exceed measured Kp. The bias for kidney and liver led to predictions that are generally smaller than measured values. For liver and kidney, this is the opposite of what we expect since, considering clearance, the measured Kp would be smaller than the actual Kp given the lower concentration in tissue plasma than blood plasma. The red blood cell regression has the smallest slope, 0.27, and R2, 0.18, but red blood cell Kp is actually predicted more accurately than most other tissues, with 96% of values within a factor of 10 and RMSE of 0.46, compared to 0.59 for all. The regression is primarily determined by a small amount of extreme predictions relative to a limited range of measurements (mostly between 0.3 and 3). Thus we did not use the red blood cell regression in predicting Vss with regressions.
Figure 5 contains a heat map of regression-adjusted Kp predicted with the revised method for all compounds with available data in humans. Example calibrations of predictions for lung, adipose, and brain for three chemicals are provided in Table 2. Tissues (rows) and chemicals (columns) were clustered hierarchically to group those that are most similar. We observe more variance between compounds than between tissues. We identify 4 overlapping clusters of compounds in Fig. 5. The most distinct group is cluster 3, which consists primarily of lipophilic bases (with less lipophilic values typically having higher fup). Conversely, the tenth at the left (cluster 1) consists of acids with lower fup and log p (generally less than 0.2 and 4, respectively). Clusters 2 and 4 consist of a spectrum ranging from one extreme to the other with more lipophilic and neutral compounds in the cluster 4.
A histogram (left) and “heatmap” (right) showing the distribution of log10 human tissue:plasma partition coefficients (Kp) calculated with the modified and calibrated method. The value of each Kp is indicated by color, with the histogram at the left indicating the value corresponding to each color and the distribution of those values. In the heatmap at the right, the columns correspond to 874 compounds while the 11 rows indicate specific tissues. The color and intensity at each location indicates the value of each Kp corresponding to the chemical and tissue indicated by column and row. Rows and columns are clustered hierarchically according to Ward’s (1963) clustering criterion, so that similar chemicals and tissues are grouped together. Clustering of chemicals is indicated by the dendrogram above the heatmap, with four specific clusters indicated by number (Color figure online)
Significant overlap was found between clusters in Fig. 5 relative to fup, lipophilicity, and ionization. Lipophilicity, alkalinity, and fup correlated with higher partitioning while acidity correlated with lower partitioning. These clusters are within the bounds of what we would expect given the model assumptions: With the fup adjustment, an upper bound is placed on Kp for un-ionized compounds relative to log p, which would otherwise partition at a much higher degree than ionized compounds, but Kp for ionized compounds lacking membrane affinity data continue to increase with log p due to the regression. However, acidic phospholipid cancels this increased effect for acids and increases it for bases, yielding the chemical clusters in Fig. 5.
Figure 5 demonstrates that the regression residuals across tissues in Fig. 4 should be expected to be correlated for individual compounds. Ideally, we could determine multivariate priors where Kp for each compound are consistently over-predicted or under-predicted for a sample from the regressions. The primary obstacle to using this approach is the inconsistency of available Kp data across tissues.
Human in vitro blood: plasma concentration ratios
Although the rat in vivo data for red blood cell partitioning were limited in their ability to evaluate our predictions for that tissue, relative concentration of chemical in blood to plasma (B:P ratio) is an in vivo end-point that is often assayed in humans. By assuming a hematocrit fraction, Kp can be calculated from B:P ratio. Human in vitro B:P ratio for 279 compounds were used to further evaluate blood partitioning. Initially, inferred B:P ratio were compared to predicted values as shown in Fig. 6a. There was no clear correlation, and the highly under-predicted red blood cell Kp values were not apparent since the B:P ratio prediction floor (0.56) is much larger for these values than the additional partitioning into red blood cells. Although hematocrit is known to vary, it was not available for the subjects corresponding to the measured Rb:p. Instead, we used a standard value of 0.44 for hematocrit in predicting B:P ratio. Thus the lowest value of Kp this allows is 0.56, but measured values fell below this value 8% of the time. Since our hematocrit value yielded negative red blood cell Kp after transformation, a censored regression was performed on log10-transformed scaled Kp, yielding a slope of 0.26, intercept of − 0.22 (0.60 on plot), and standard deviation of the residuals of 0.39 (a factor of 2.5), shown in Fig. 6b. Of the 279 measured red blood cell Kp, 5 were zero, and 21 were negative. 24 other Kp had prediction errors larger than a factor of 10; of these, 17 had predictions smaller, and 7 had predictions larger than inferred from measurements. There was a clear negative correlation between fup and error (log10 of measured / inferred) across all Kp. The majority of the under-predicted Kp form a line roughly parallel to the identity, displaced by a factor of 40. 16 of the 17 Kp under-predicted by more than a factor of 10 had fup of 0.044 or less, prior to adjustment, and 8 of the 17 were acids with more than 98% ionization at a pH of 7.4. The same trend was observed for the zero and negative Kp values. Of these 26 values, 22 had measured fup at or below 0.05, and 18 (17 overlapping with the 22) were more than 90% ionization at a pH of 7.4 and again acidic (except for 1 base). Ironically, strong acids were the most under-predicted as well as the most likely to be below our threshold of prediction. This fact, together with our general tendency to under-predict red blood cell Kp, suggests that we would make better predictions with a hematocrit value larger than 0.44. However, since B:P ratio is the typical model parameter of interest rather than red blood cell Kp, the prediction method does not perform as poorly as it appears. The RMSE for log10-transformed B:P ratio error is only 0.20 compared to 0.61 for red blood cell Kp with censored values excluded; 97% of B:P ratio were predicted within a factor of 3 of the measured value. Because of the weak correlation, we again did not predict red blood cell Kp with the regression in calculating Vss.
a compares human in vitro B:P ratio and B:P ratio calculated from predicted red blood cell Kp. b compares red blood cell Kp derived with Eq. 13 from the same human in vitro B:P ratio in (b) and predicted red blood cell Kp. Both assume a hematocrit value of 0.44. Since we use this static value which does not account for biological variability and many in vitro B:P ratio were below 0.56, a regression censored at 0.1 was performed to predict to account for red blood cell Kp values at or below zero. The regression (solid line) yielded a slope of 0.26, intercept of -0.22 (0.60 on plot), and residual standard deviation of 0.39 on a log10-tranformed scale. The dotted line is the identity (Color figure online)
Analysis of residuals
Kp prediction error after adjusting fup and membrane affinity still showed a positive correlation with neutral lipid fraction and log p for un-ionized compounds (less than 50% ionized at a pH of 7.4). Kp over-prediction tended to increase with increasing neutral lipid fraction, and this effect is especially noticeable in adipose tissue and brain, the two tissues with the highest fractional volumes. The same trend exists with increasing log p when log p is greater than 1. This trend suggests that partitioning into neutral lipid and membrane affinity (predicted with log p for all but 50 compounds) may not be linear with log p. Alternatively, the in vivo measurements of Kp could be biased toward lower values for lipophilic compounds. Based on the pbtk model contained in httk, lipophilic compounds take longer to reach steady state, and 39 of the 48 compounds that were used in the Kp evaluation with available in vitro clearance data took longer than 1 day to reach at least 90% of the steady state concentration in humans, and this would take even longer for a model that includes diffusion-limited partitioning. Thus even studies with several hours of infusion dosing prior to measurement may not reach a true steady state for lipophilic compounds. In such cases, the Kp measured in vivo would be lower than its actual value.
Model evaluation
Predicted versus observed Vss
Having used the rat in vivo data to modify and calibrate our model, we turned to the human in vivo measured volumes of distribution (Vss) reported in Obach et al. [30] as an external evaluation set. With our initial, unadjusted and uncalibrated method, Vss was predicted with errors similar to the trend observed with Kp, as shown by Fig. 7a. The predictions were much higher than expected from the measurements for lipophilic compounds where the larger weight of the more over-predicted tissues resulted in Vss errors even greater than the initial Kp over-predictions. Vss for 12 compounds were larger than measured by a factor of 1000, 42 by more than 100, and 145 by more than 10.
Measured versus predicted Vss: a before adjustments, b after applying adjustments to fup and membrane affinity, and c after applying regressions. In b and c, the plot points are colored to represent the number of orders of magnitude each point has improved (difference between initial error and final error on log10 scale). In c, the regression of measured on predicted has a slope 1.03, intercept of − 0.04, and R2 of 0.43. The solid lines are the regressions and the dotted lines are the identities (Color figure online)
Overall, our Kp and Vss predictions greatly improved after adjusting fup and membrane affinity, as shown in Fig. 7b, yielding a RMSE of 0.67 compared to 1.27 previously. The two most over-predicted values improved by about a factor of 10,000,000, 11 improved by at least a factor of 100, 60 by at least 10, and 116 by 3. Predictions for 144 worsened, but only 3 by more than a factor of 3 (a factor of 6.7 at most). The four most over-predicted values, (predicted Vss > 30,000) were primarily due to high fraction unbound relative to log p in non-ionized compounds.
Vss, computed with regression-adjusted Kp (Fig. 7c), showed further improvement: 113 points further improved by at least a factor of 3 (a factor of 10 at most), and 191 points worsened, 21 by more than a factor of 3. RMSE was reduced from 0.67 to 0.48. The regression line also becomes much closer to the identity, with a slope of 1.03 and intercept of − 0.04 with R2 of 0.43. The 498 compounds in the Obach data set overlapped with only 72 of the compounds used in the partition coefficient evaluation. Thus this significant improvement of volume of distribution prediction with the regressions on rat Kp provides additional validation for the calibration. Only 3 calibrated Vss predictions were greater than 10 L/kg, and 95% of predictions were within an order of magnitude of the in vivo measurement.
Discussion
Guided by empirical evaluation against in vivo measured data, we have refined methods for tissue:plasma partition coefficient (Kp) predictions in order to produce more accurate estimates of Kp and volume of distribution (Vss). We first analyzed a data set of 964 rat in vivo Kp across 143 compounds and modified our methods to address the most egregious outliers. Regressions were then performed to account for tissue-specific trends in error and to quantify uncertainty of our predictions relative to measured values. The observed frequency and magnitude of improvements in Kp prediction, in contrast to the sparsity and minuteness of worsening errors, have led us to believe that these are appropriate revisions to be adopted when using Schmitt’s model. Statistical analyses of Kp predictions have been previously conducted using smaller data sets [22, 24, 41], however here we have taken the results of the analysis as a calibration and further evaluated these calibrated predictions. Human in vivo Vss measurements for 498 compounds provided an independent data set allowing evaluation of our refined and calibrated method. We find that our predictions provide improved high-throughput toxicokinetic estimates.
In order for PBTK models to be applied to risk assessment, it is vital to consider the uncertainty in any estimated parameters [56, 57]. Because PBTK models involve many parameters that must be inferred from experimental data, a Bayesian framework may be adopted [58,59,60,61,62,63,64,65]. In a Bayesian analysis, values of parameters known less than perfectly are characterized with “prior distributions”, probability distributions that reflect likely values for the parameters [66]. Prior distributions might be only weakly informative (e.g., partitioning is constrained between 10−3 and 103), or, at the other extreme, may be single point values (e.g., a statement like “the liver:plasma partition coefficient is 2.47”). Obtaining meaningful Bayesian estimates using weak priors can be difficult due to issues with convergence of Markov chains [66, 67]. If sufficient literature data exists to construct a stronger prior, then Bayesian analysis may proceed more rapidly. In this research we describe an analysis that provides a middle ground between weak priors and infinitely precise point estimates. By empirically evaluating the performance of in silico predictors for partition coefficients, we have developed distributions that may be used as informative priors for Bayesian analysis [68, 69] (see Tables 1 and 2) that reflect both the information about the partition coefficients contained in the prediction model and the uncertainty (i.e., the estimated standard deviation) in those predictions reflected by failures of the models to predict real data. These distributions also may be used to assess the appropriateness of uncertainty factors when using PBTK models in any risk framework [70].
Mechanistic models represent testable hypotheses and, so far as the models reproduce reality, allow interactions with the modeled system (e.g., drug design). However, all models are by definition approximations to reality and should be expected to work in only some situations [71]. Models should be expected to have differences between observations and predictions (i.e., residual unexplained variance). Model evaluation allows for testing the assumptions and generality of the model; that is, the model is a hypothesis to be tested [72]. By quantifying and extrapolating prediction errors we are making an additional hypothesis that the drivers of these errors will also be similar in other situations. This additional hypothesis can itself be tested, as we have done using additional data for Vss. We note that although we use a factor of 10 (order of magnitude) as a point of reference for error and improvement throughout this analysis, that this is not meant to imply that something close to this amount of error is good or bad. Whether or not an amount of error is acceptable depends on the application. In our high throughput screening context, we consider order of magnitude error to be acceptable.
Calibration of Kp and Vss is highly dependent on the data used in the evaluation [73]. Most of the compounds here are pharmaceuticals, potentially introducing a bias toward moieties that correspond to properties that make compounds more ideal for pharmaceutical usage, such as bioavailability. Although the adjustments we implemented improved predictions, we have not verified the actual membrane affinity of the predicted compounds to see which regression is a better predictor or the effect of adding lipid to measurements of protein binding. In particular, we have not confirmed the hypothesis that there is less than physiological lipid in the in vitro binding assay. It appears that for high log p chemicals the estimated fup is inaccurate [50], but it is possible that other mechanisms including off-target binding (e.g., plastic, membrane) interfere with the assay for high log p chemicals and rather than correcting for missing lipid we are just estimating the partitioning into lipid, neglecting protein binding.
For these data and models, the adjustments implemented seemed the most likely and most easily corrected sources of error. Measurement and prediction error of log p and pKa also introduces another level of complexity for possible error, especially considering that these are both used in our adjustments. To maintain consistency and simplicity, we chose to predict all membrane affinities with the same regression. Although there is a difference in membrane affinity between neutral and non-neutral compounds [41], treating them separately yielded no significant differences in overall prediction accuracy. More sophisticated methods for predicting membrane affinity exist, but are not easily parameterized in a high-throughput context [74, 75].
The evaluation and regressions are all based on in vivo measurements, but the quality of some of these measurements may be questionable [76, 77]. Some in vivo Kp were averages of multiple measurements with differences larger than half an order of magnitude (e.g., Cefazolin, Tetracycline) [23]. If these large differences are due to experimental error, additional error is introduced into the regressions. There is additional uncertainty in applying regressions to Kp outside of the range of evaluated Kp for each tissue. Bone and skin, for example, only have evaluated Kp ranges within a factor of 300, and the red blood cell regression was not used due to a range of only a factor of 10. Higher valued Kp generally had greater log p and thus had even larger prediction errors relative to the measured Kp. The membrane affinity and fup adjustments weakened this trend, and the new membrane affinity regression shifted many non-lipophilic compounds to lower values as well, maintaining a similar but improved distribution of points. This trend of over-prediction of lipophilic compounds and tissues (fat and brain) could also be due to measurement error resulting from equilibrium not being reached rather than an error in the prediction methods [78, 79].
TK methods provide a critical link for interpreting chemical exposure and toxicity [6]. However, for thousands of chemicals in our environment, the necessary empirical data for traditional approaches are lacking. The evaluated and calibrated method presented here provides predictions with quantified uncertainty, allowing confidence estimates in PBTK models for assessment of chemical risk to specific tissues.
References
- 1.
Park YH, Lee K, Soltow QA, Strobel FH, Brigham KL, Parker RE, Wilson ME, Sutliff RL, Mansfield KG, Wachtman LM, Ziegler TR, Jones DP (2012) High-performance metabolic profiling of plasma from seven mammalian species for simultaneous environmental chemical surveillance and bioeffect monitoring. Toxicology 295(1–3):47–55. doi:10.1016/j.tox.2012.02.007
- 2.
Rager JE, Strynar MJ, Liang S, McMahen RL, Richard AM, Grulke CM, Wambaugh JF, Isaacs KK, Judson R, Williams AJ, Sobus JR (2016) Linking high resolution mass spectrometry data with exposure and toxicity forecasts to advance high-throughput environmental monitoring. Environ Int 88:269–280. doi:10.1016/j.envint.2015.12.008
- 3.
Judson R, Richard A, Dix D, Houck K, Elloumi F, Martin M, Cathey T, Transue TR, Spencer R, Wolf M (2008) ACToR—aggregated computational toxicology resource. Toxicol Appl Pharmacol 233(1):7–13
- 4.
National Research Council (1983) Risk assessment in the federal government: managing the process. National Academies Press, Washington, DC. doi:10.17226/317
- 5.
Thomas RS, Philbert MA, Auerbach SS, Wetmore BA, Devito MJ, Cote I, Rowlands JC, Whelan MP, Hays SM, Andersen ME (2013) Incorporating new technologies into toxicity testing and risk assessment: moving from 21st century vision to a data-driven framework. Toxicol Sci 136(1):4–18
- 6.
Wetmore BA, Wambaugh JF, Allen B, Ferguson SS, Sochaski MA, Setzer RW, Houck KA, Strope CL, Cantwell K, Judson RS, LeCluyse E, Clewell HJ, Thomas RS, Andersen ME (2015) Incorporating high-throughput exposure predictions with dosimetry-adjusted in vitro bioactivity to inform chemical toxicity testing. Toxicol Sci 148(1):121–136. doi:10.1093/toxsci/kfv171
- 7.
Rovida C, Hartung T (2009) Re-evaluation of animal numbers and costs for in vivo tests to accomplish REACH legislation requirements for chemicals—a report by the transatlantic think tank for toxicology (t (4)). Altex 26(3):187–208
- 8.
Pellegatti M (2014) The debate on animal ADME studies in drug development: an update. Exp Opin Drug Metab Toxicol 10(12):1615–1620
- 9.
Tolonen A, Pelkonen O (2013) Analytical challenges for conducting rapid metabolism characterization for QIVIVE. Toxicology. doi:10.1016/j.tox.2013.08.010
- 10.
Wambaugh JF, Wetmore BA, Pearce R, Strope C, Goldsmith R, Sluka JP, Sedykh A, Tropsha A, Bosgra S, Shah I, Judson R, Thomas RS, Setzer RW (2015) Toxicokinetic triage for environmental chemicals. Toxicol Sci 147(1):55–67. doi:10.1093/toxsci/kfv118
- 11.
Waters NJ, Jones R, Williams G, Sohal B (2008) Validation of a rapid equilibrium dialysis approach for the measurement of plasma protein binding. J Pharm Sci 97(10):4586–4595
- 12.
Shibata Y, Takahashi H, Chiba M, Ishii Y (2002) Prediction of hepatic clearance and availability by cryopreserved human hepatocytes: an application of serum incubation method. Drug Metab Dispos 30(8):892–896
- 13.
Jamei M, Marciniak S, Feng K, Barnett A, Tucker G, Rostami-Hodjegan A (2009) The Simcyp® population-based ADME simulator. Exp Opin Drug Metab Toxicol 5(2):211–223
- 14.
Lukacova V, Woltosz WS, Bolger MB (2009) Prediction of modified release pharmacokinetics and pharmacodynamics from in vitro, immediate release, and intravenous data. AAPS J 11(2):323–334
- 15.
Wang Y-H (2010) Confidence assessment of the Simcyp time-based approach and a static mathematical model in predicting clinical drug-drug interactions for mechanism-based CYP3A inhibitors. Drug Metab Dispos 38(7):1094–1104. doi:10.1124/dmd.110.032177
- 16.
O’Flaherty EJ (1981) Toxicants and drugs: kinetics and dynamics. Wiley, New York
- 17.
Andersen ME (1995) Development of physiologically based pharmacokinetic and physiologically based pharmacodymamic models for applications in toxicology and risk assessment. Toxicol Lett 79(1):35–44
- 18.
Campbell JL, Clewell RA, Gentry PR, Andersen ME, Clewell HJ (2012) Physiologically based pharmacokinetic/toxicokinetic modeling. Comput Toxicol I:439–499
- 19.
Clewell HJ, Andersen ME (1985) Risk assessment extrapolations and physiological modeling. Toxicol Ind Health 1(4):111–134
- 20.
Loizou GD, Hogg A (2011) MEGen: a physiologically based pharmacokinetic model generator. Front Pharmacol 2:56
- 21.
Shiran M, Proctor N, Howgate E, Rowland-Yeo K, Tucker G, Rostami-Hodjegan A (2006) Prediction of metabolic drug clearance in humans: in vitro–in vivo extrapolation vs allometric scaling. Xenobiotica 36(7):567–580
- 22.
Schmitt W (2008) General approach for the calculation of tissue to plasma partition coefficients. Toxicol In Vitro 22(2):457–467
- 23.
Poulin P, Theil FP (2000) A priori prediction of tissue: plasma partition coefficients of drugs to facilitate the use of physiologically-based pharmacokinetic models in drug discovery. J Pharm Sci 89(1):16–35
- 24.
Payne MP, Kenny LC (2002) Comparison of models for the estimation of biological partition coefficients. J Toxicol Environ Health Part A 65(13):897–931
- 25.
Rodgers T, Rowland M (2006) Physiologically based pharmacokinetic modelling 2: predicting the tissue distribution of acids, very weak bases, neutrals and zwitterions. J Pharm Sci 95(6):1238–1257
- 26.
Peyret T, Poulin P, Krishnan K (2010) A unified algorithm for predicting partition coefficients for PBPK modeling of drugs and environmental chemicals. Toxicol Appl Pharmacol 249(3):197–207
- 27.
Ruark CD, Hack CE, Robinson PJ, Mahle DA, Gearhart JM (2014) Predicting passive and active tissue: plasma partition coefficients: interindividual and interspecies variability. J Pharm Sci 103(7):2189–2198
- 28.
Zhu X-W, Sedykh A, Zhu H, Liu S-S, Tropsha A (2013) The use of pseudo-equilibrium constant affords improved QSAR models of human plasma protein binding. Pharm Res 30(7):1790–1798
- 29.
Ingle BL, Veber BC, Nichols JW, Tornero-Velez R (2016) Informing the human plasma protein binding of environmental chemicals by machine learning in the pharmaceutical space: applicability domain and limits of predictability. J Chem Inf Model 56(11):2243–2252
- 30.
Obach RS, Lombardo F, Waters NJ (2008) Trend analysis of a database of intravenous pharmacokinetic parameters in humans for 670 drug compounds. Drug Metab Dispos 36(7):1385–1405
- 31.
Pearce RG, Setzer RW, Strope CL, Sipes NS, Wambaugh JF (2017) Httk: R package for high-throughput toxicokinetics. J Stat Softw 79(1):1–26
- 32.
R Development Core Team (2010) R: A language and environment for statistical computing. R Foundation for Statistical Computing,
- 33.
Pearce R, Strope C, Setzer RW, Sipes N, Wambaugh JF (2016) httk: r package for high-throughput toxicokinetics. J Stat Softw (in press)
- 34.
Core Team R (2016) R: a language and environment for statistical computing. R Foundation for Statistical Computing, Vienna
- 35.
Schmitt W (2008) Corrigendum to: “General approach for the calculation of tissue to plasma partition coefficients” [Toxicology in Vitro 22 (2008) 457–467]. Toxicol In Vitro 22(6):1666. doi:10.1016/j.tiv.2008.04.020
- 36.
Rodgers T, Leahy D, Rowland M (2005) Physiologically based pharmacokinetic modeling 1: predicting the tissue distribution of moderate-to-strong bases. J Pharm Sci 94(6):1259–1276
- 37.
Rodgers T, Leahy D, Rowland M (2005) Tissue distribution of basic drugs: Accounting for enantiomeric, compound and regional differences amongst β-blocking drugs in rat. J Pharm Sci 94(6):1237–1248
- 38.
Gueorguieva I, Nestorov IA, Murby S, Gisbert S, Collins B, Dickens K, Duffy J, Hussain Z, Rowland M (2004) Development of a whole body physiologically based model to characterise the pharmacokinetics of benzodiazepines. 1: estimation of rat tissue-plasma partition ratios. J Pharmacokinet Pharmacodyn 31(4):269–298
- 39.
Poulin P, Schoenlein K, Theil FP (2001) Prediction of adipose tissue: plasma partition coefficients for structurally unrelated drugs. J Pharm Sci 90(4):436–447
- 40.
Björkman S (2002) Prediction of the volume of distribution of a drug: which tissue-plasma partition coefficients are needed? J Pharm Pharmacol 54(9):1237–1245
- 41.
Yun Y, Edginton A (2013) Correlation-based prediction of tissue-to-plasma partition coefficients using readily available input parameters. Xenobiotica 43(10):839–852
- 42.
Uchimura T, Kato M, Saito T, Kinoshita H (2010) Prediction of human blood-to-plasma drug concentration ratio. Biopharm Drug Dispos 31(5–6):286–297
- 43.
Davies B, Morris T (1993) Physiological parameters in laboratory animals and humans. Pharm Res 10(7):1093–1095
- 44.
Parham F, Kohn M, Matthews H, DeRosa C, Portier C (1997) Using structural information to create physiologically based pharmacokinetic models for all polychlorinated biphenyls: I. Tissue: blood partition coefficients. Toxicol Appl Pharmacol 144(2):340–347
- 45.
Paixão P, Gouveia LF, Morais JA (2012) Prediction of the human oral bioavailability by using in vitro and in silico drug related parameters in a physiologically based absorption model. Int J Pharm 429(1):84–98
- 46.
Naritomi Y, Terashita S, Kagayama A, Sugiyama Y (2003) Utility of hepatocytes in predicting drug metabolism: comparison of hepatic intrinsic clearance in rats and humans in vivo and in vitro. Drug Metab Dispos 31(5):580–588
- 47.
Obach RS (1999) Prediction of human clearance of twenty-nine drugs from hepatic microsomal intrinsic clearance data: an examination of in vitro half-life approach and nonspecific binding to microsomes. Drug Metab Dispos 27(11):1350–1359
- 48.
Strope C, Mansouri K, Clewell H, Rabinowitz JR, Stevens C, Wambaugh JF (2017) High-throughput in-silico prediction of ionization equilibria for pharmacokinetic modeling. Sci Total Environ (in press)
- 49.
Strope CL, Mansouri K, Kancherla J, Stevens C, Wambaugh JF (2015) High-throughput pharmacokinetic modeling using computationally predicted parameter values: dissociation constants. In: Society of toxicology annual meeting, San Diego, CA
- 50.
Poulin P, Haddad S (2012) Advancing prediction of tissue distribution and volume of distribution of highly lipophilic compounds from a simplified tissue-composition-based model as a mechanistic animal alternative method. J Pharm Sci 101(6):2250–2261
- 51.
Snyder W, Cook M, Nasset E, Karhausen L, Howells G, Tipton I (1975) ICRP Publication 23: report of the task group on reference man. International Commission on Radiological Protection
- 52.
International Commission on Radiological Protection (1975) Report of the task group on reference man, vol 23. Pergamon, Oxford
- 53.
Endo S, Escher BI, Goss K-U (2011) Capacities of membrane lipids to accumulate neutral organic chemicals. Environ Sci Technol 45(14):5912–5921
- 54.
Simulations Plus (2010) GastroPlus™ Manual California, EUA
- 55.
Simulations Plus (2017) ADMET Predictor
- 56.
Barton HA, Chiu WA, Setzer RW, Andersen ME, Bailer AJ, Bois FY, DeWoskin RS, Hays S, Johanson G, Jones N (2007) Characterizing uncertainty and variability in physiologically based pharmacokinetic models: state of the science and needs for research and implementation. Toxicol Sci 99(2):395–402
- 57.
McLanahan ED, El-Masri HA, Sweeney LM, Kopylev LY, Clewell HJ, Wambaugh JF, Schlosser PM (2012) Physiologically based pharmacokinetic model use in risk assessment: why being published is not enough. Toxicol Sci 126(1):5–15. doi:10.1093/toxsci/kfr295
- 58.
Bois FY (1999) Analysis of PBPK models for risk characterization. Ann N Y Acad Sci 895(1):317–337
- 59.
Hack CE (2006) Bayesian analysis of physiologically based toxicokinetic and toxicodynamic models. Toxicology 221(2):241–248
- 60.
Tsamandouras N, Rostami-Hodjegan A, Aarons L (2015) Combining the ‘bottom up’and ‘top down’approaches in pharmacokinetic modelling: fitting PBPK models to observed clinical data. Br J Clin Pharmacol 79(1):48–55
- 61.
Bois FY (2000) Statistical analysis of Clewell et al. PBPK model of trichloroethylene kinetics. Environ Health Perspect 108(Suppl 2):307
- 62.
Liao KH, Tan YM, Conolly RB, Borghoff SJ, Gargas ML, Andersen ME, Clewell HJ (2007) Bayesian estimation of pharmacokinetic and pharmacodynamic parameters in a mode-of-action-based cancer risk assessment for chloroform. Risk Anal 27(6):1535–1551
- 63.
Nong A, Tan Y-M, Krolski ME, Wang J, Lunchick C, Conolly RB, Clewell HJ III (2008) Bayesian calibration of a physiologically based pharmacokinetic/pharmacodynamic model of carbaryl cholinesterase inhibition. J Toxicol Environ Health Part A 71(20):1363–1381
- 64.
Yang Y, Xu X, Georgopoulos PG (2010) A bayesian population PBPK model for multiroute chloroform exposure. J Expo Sci Environ Epidemiol 20(4):326–341
- 65.
Evans M, Chiu W, Okino M, Caldwell J (2009) Development of an updated PBPK model for trichloroethylene and metabolites in mice, and its application to discern the role of oxidative metabolism in TCE-induced hepatomegaly. Toxicol Appl Pharmacol 236(3):329–340
- 66.
Gelman A, Bois F, Jiang J (1996) Physiological pharmacokinetic analysis using population modeling and informative prior distributions. J Am Stat Assoc 91(436):1400–1412
- 67.
Garcia RI, Ibrahim JG, Wambaugh JF, Kenyon EM, Setzer RW (2015) Identifiability of PBPK models with applications to dimethylarsinic acid exposure. J Pharmacokinet Pharmacodyn 42(6):591–609. doi:10.1007/s10928-015-9424-2
- 68.
Tornero-Velez R, Davis J, Scollon E, Starr JM, Setzer RW, Goldsmith M, Chang D, Xue J, Zartarian V, DeVito MJ (2012) A pharmacokinetic model of cis-and trans-permethrin disposition in rats and humans with aggregate exposure application. Toxicol Sci 130:33–47
- 69.
Tornero-Velez R, Davis J, Scollon EJ, Starr JM, Setzer RW, Goldsmith M-R, Chang DT, Xue J, Zartarian V, De Vito MJ (2012) A pharmacokinetic model of cis-and trans-permethrin disposition in rats and humans with aggregate exposure application. Toxicol Sci 130(1):33–47
- 70.
Simon TW, Zhu Y, Dourson ML, Beck NB (2016) Bayesian methods for uncertainty factor application for derivation of reference values. Regul Toxicol Pharmacol 80:9–24. doi:10.1016/j.yrtph.2016.05.018
- 71.
Box GE (1979) Robustness in the strategy of scientific model building. Robust Stat 1:201–236
- 72.
Oreskes N (1998) Evaluation (not validation) of quantitative models. Environ Health Perspect 106(Suppl 6):1453
- 73.
Sheridan RP, Feuston BP, Maiorov VN, Kearsley SK (2004) Similarity to molecules in the training set is a good discriminator for prediction accuracy in QSAR. J Chem Inf Comput Sci 44(6):1912–1928
- 74.
Nagar S, Korzekwa K (2017) Drug distribution. Part 1. Models to predict membrane partitioning. Pharm Res 34(3):535–543
- 75.
Korzekwa K, Nagar S (2017) Drug distribution part 2. Predicting volume of distribution from plasma protein binding and membrane partitioning. Pharm Res 34(3):544–551
- 76.
Khor S, Mayersohn M (1991) Potential error in the measurement of tissue to blood distribution coefficients in physiological pharmacokinetic modeling. Residual tissue blood. I. Theoretical considerations. Drug Metab Dispos 19(2):478–485
- 77.
Thompson MD, Beard DA, Wu F (2012) Use of partition coefficients in flow-limited physiologically-based pharmacokinetic modeling. J Pharmacokinet Pharmacodyn 39(4):313–327. doi:10.1007/s10928-012-9252-6
- 78.
De Bruijn J, Busser F, Seinen W, Hermens J (1989) Determination of octanol/water partition coefficients for hydrophobic organic chemicals with the “slow-stirring” method. Environ Toxicol Chem 8(6):499–512. doi:10.1002/etc.5620080607
- 79.
Dionisio KL, Frame AM, Goldsmith M-R, Wambaugh JF, Liddell A, Cathey T, Smith D, Vail J, Ernstoff AS, Fantke P (2015) Exploring consumer exposure pathways and patterns of use for chemicals in the environment. Toxicol Rep 2:228–237
Acknowledgements
This project was supported by an appointment to the Internship/Research Participation Program at the Office of Research and Development, U.S. Environmental Protection Agency, administered by the Oak Ridge Institute for Science and Education through an interagency agreement between the U.S. Department of Energy and EPA. The authors thank Drs. Hugh Barton and Rogelio Tornero-Velez for their helpful reviews of the manuscript. We also appreciate conversations with Drs. Weihsueh Chiu and Barbara Wetmore on protein binding.
Disclaimer
The United States Environmental Protection Agency, through its Office of Research and Development, funded and managed the research described here. However, it may not necessarily reflect official Agency policy, and reference to commercial products or services does not constitute endorsement.
Funding
Dr. Davis received no funding from Syngenta for this project, and Syngenta was not involved in the development or approval of this research or this report.
Author information
Affiliations
Corresponding author
Electronic supplementary material
Below is the link to the electronic supplementary material.
Rights and permissions
About this article
Cite this article
Pearce, R.G., Setzer, R.W., Davis, J.L. et al. Evaluation and calibration of high-throughput predictions of chemical distribution to tissues. J Pharmacokinet Pharmacodyn 44, 549–565 (2017). https://doi.org/10.1007/s10928-017-9548-7
Received:
Accepted:
Published:
Issue Date:
Keywords
- Physiologically based toxicokinetics
- PBTK
- PBPK
- High throughput toxicokinetics
- httk
- Partition coefficients
- Volume of distribution
- Distribution
- Statistical analysis






