Influence of Organically Modified Nanoclay on Thermal and Combustion Properties of Bagasse Reinforced HDPE Nanocomposites
- 1.4k Downloads
- 3 Citations
Abstract
The nanocomposites of high density polyethylene (HDPE)/bagasse flour (BF) with different contents of the organomodified montmorillonite (OMMT) were produced by melt blending process. The thermal stability and combustion behavior of nanocomposites were characterized by thermogravimetric analysis (TGA), differential scanning calorimetry, and cone calorimeter tests. The results of TGA data of the nanocomposites indicated that the OMMT greatly enhanced the thermal stability, and char residues of the HDPE/BF blends gradually increased with increasing the OMMT content. The activation energy was determined to describe the energy consumption of the initiation of the thermal degradation process. The composites produced with the 6 phc OMMT had the highest activation energy values among the evaluated composites (106 kJ/mol), whereas composites without nanoclay exhibited the lowest one. Furthermore, as the OMMT was incorporated into the nanocomposites, the melting temperature (Tm), crystallization temperature (Tc) melting enthalpy (∆Hm) and crystallinity (Xc) of HDPE/BF blends increased. The findings showed that the OMMT effectively boosted the flame retardancy of nanocomposites due to the formation of the carbonaceous silicate char shields delayed time to ignition and the combustion process was remarkably hindered.
Keywords
Nanocomposites Organomodified montmorillonite Thermal stability Flame retardancyIntroduction
During the last few decades, thermoplastics have gained ever-increasing acceptance as an important family of engineering materials and are steadily replacing metals in a wide variety of applications. The commercial consumption of thermoplastics has steadily increased, and this trend is expected to continue despite an increase in their prices. This situation has created an impetus for cost reduction via composites by employing fillers in thermoplastics [1]. In the recent years, organic reinforcements such as natural fibers have penetrated slowly into the market of thermoplastic composites. This was because the natural fibers they offer many advantages over most common inorganic fillers such as a reduced wear of processing equipment and are renewable, recyclable, non-hazardous, and biodegradable. Natural fibers are abundantly available and have lower costs and density. The replacement of inorganic fillers with comparable natural fibers provides weight savings and decreases the cost of materials without reducing the rigidity of the composites [2, 3].
Wood plastic composites (WPCs) are defined as composite materials containing wood (in various forms such as flour or fiber) and polymer materials. These materials are a relatively new family of composite materials, in which a natural fiber (such as wood flour/fiber, kenaf fiber, hemp, sisal, etc.) is mixed with a commodity thermoplastic such as polyethylene (PE), polypropylene (PP), poly(vinyl chloride) (PVC), etc. WPCs are becoming more and more commonplace by the development of new production techniques and processing equipment. Around 100 companies involved in WPC manufacturing have been identified worldwide [1, 2, 3].
Natural fibers have several advantages, such as being inexpensive, being renewable, being lower density, undergoing little damage during processing, and their disposal causing minor ecological impact. However, there are disadvantages as well. Such as incompatibility between the hydrophilic natural fibers and the hydrophobic plastic part, low bulk density and in turn, agglomeration and difficulty in processing, water absorption and lower dimensional stability and the last but not least thermal instability of natural fibers during processing at high temperatures [4, 5].
Low thermal stability of most natural fibers is an obstacle in the production of thermoplastic composites. In order to avoid degradation of the natural fibers, the processing temperature is kept below the degradation temperature of the natural fibers (usually below 200 °C). The degradation of the natural fibers can lead to brittleness and poor mechanical integrity of thermoplastic composites [6]. Thermal degradation is also an important aspect in the development of natural fibers composites since it will strongly affect the maximum temperature used in the processing of the composites and will indirectly determine the maximum retention time of the materials in the processing system. Thermal degradation is therefore, one major limitation frequently encountered when using natural fibers as reinforcement in a polymeric matrix [5, 6]. The most common technique to investigate the mass change, thermal decomposition, and thermal stability of composite materials is thermal gravimetric analysis (TGA) [4]. In addition, knowledge of the kinetic parameters associated with thermal degradation constitutes an important tool in estimating the thermal behavior of such composites [4, 5, 6].
Polymer nanocomposites based on layered nanoclays have attracted a great deal of interest because they exhibit remarkable improvement of mechanical, thermal, and barrier properties when compared with those of pure polymer or conventional composites [7]. Smectic clays, particularly montmorillonite (MMT) minerals, serve as good nanoclay fillers owing to their ease of dispersability in the organic matrix. MMT is composed of aluminum silicate layers, which are organized in a parallel fashion to form stacks with a regular Van der Waals gap in between them called interlayer spacing or gallery [7, 8, 9]. Clays are in nature organophobic, but they can be chemically changed into organophilic by replacing the Na+, K+, Ca+2 or Mg+2 cation originally present in the galleries with one organic cation such as alkylammonium ions via an ion-exchange reaction [8]. Besides this, MMT is naturally occurring, environment friendly, cheap, and readily available in large quantities [9]. Nowadays, the application of organo-modified montmorillonite (OMMT) as a nano-sized reinforcement in WPCs has been developed. It is evident that the addition of small amount of nanoclay (3–5 wt%) substantially enhance the WPCs performance [10, 11, 12, 13, 14, 15, 16, 17, 18, 19, 20, 21, 22].
In this research work, the morphological, mechanical, thermal, and combustion characteristics of HDPE/bagasse composites filled with organically modified nanoclay were extensively investigated.
Experimental
Materials
High density polyethylene (HDPE), with trade name of HD5620EA, an injection molding grade was supplied by Arak Petrochemical Co. (Iran). The HDPE was in the form of pellets with a melt flow index of 20 g/10 min and density of 0.95 g/cm3. Mechanical properties of neat HDPE were as follows: tensile strength 22 MPa, tensile modulus 900 MPa, elongation at break 700%, flexural modulus 1000 MPa, and impact strength 30 kJ/m2. Polyethylene-grafted maleic anhydride (PE-g-MA) was obtained from Eastman Chemical Co. (Kingsport, TN, USA). Epolene G-2608 has a melt flow index of 6–10 g/10 min, an acid number of mg KOH/g, and weight average of MW ≈ 65,000 g/mol, as reported by the supplier. The organomodified montmorillonite (OMMT), with trade name of Cloisite 30B, in powder form was used as nanoclay. Natural montmorillonite modified with a bis-2-hydroxyethyl tallow quaternary ammonium (CEC = 90 meq/100 g clay, d 001 = 18.5 Å) was obtained from Southern Clay Products Co. (Gonzalez, Texas, USA). Bagasse stalks were supplied by Khuzestan Cultivation and Industry Co., Iran. The bagasse stalks were depithed and cut to 2–3 cm in length by hand. They were then washed, air-dried, and screened through a series of screens to remove dirt. In order to reduce extractives effects, woody materials were treated with water at 50 °C for 48 h. The depithed bagasse stalks were ground with a Thomas–Wiley miller to fine powder of 60-meshsize, and then oven-dried and stored in sealed plastic bags before processing.
Method
Composite Preparation
Compositions of the studied formulations
| Sample code | HDPE (Wt%) | BF (Wt%) | OMMT (phc*) | PE-g-MA (phc) |
|---|---|---|---|---|
| A1 | 50 | 50 | 0 | 2 |
| A2 | 50 | 50 | 2 | 2 |
| A3 | 50 | 50 | 4 | 2 |
| A4 | 50 | 50 | 6 | 2 |
Thermal Analysis
Thermogravimetric analysis (TGA) was used to investigate thermal decomposition behavior of samples with a Perkin Elmer 7 series apparatus thermogravimetric analyzer (TGA-Pyris 6 (Perkin Elmer instruments, England). Tests were done under high quality nitrogen (99.5% nitrogen, 0.5% oxygen content) atmosphere with a flow rate of 20 mL/min at a scan rate of 10 °C/min in a programmed temperature range of 25–600 °C. A sample of 10 mg was used for each run. Aluminum oxide was used as the reference material. At least three replications for each formulation were made and average curves were calculated. The weight change was recorded as a function of heating temperature. The rate of mass loss versus temperature was determined using derivative thermogravimetric (DTG) curve and software accompanying the analyzer.
Combustion Properties
The combustion parameters such as heat release rate (HRR), time to ignition (TTI), mass loss rate (MLR), and burning rate (BR) can be obtained from cone calorimeter. The cone calorimeter test (Cone 2, Atlas) was carried out according to ASTM E1354 standard procedures. Each specimen with dimensions of 100 mm × 100 mm × 3 mm, was placed on an aluminum foil and exposed horizontally to an external heat flux of 5 kW/m2. Limiting oxygen index (LOI) is defined as the minimum concentration of oxygen, expressed as percent volume, in a flowing mixture of oxygen and nitrogen that will support flaming combustion of a material initially at room temperature. According to this test, the higher the oxygen index, the lower flammable is the sample. The LOI technique was performed according to ASTM D2863 standard within 3 min.
Mechanical Testing
The flexural tests were conducted in accordance with ASTM D 790 using an Instron universal testing machine (model 4486, England) at a rate of 5 mm/min crosshead speed. Dimensions of the test specimens were 100 × 13 × 5 mm3. The tensile tests were measured according ASTM D790 specification on an Instron (model 4486). The specimens were tested at crosshead rate of 2 mm/min at room temperature. Dimensions of the test specimens (dogbone shape) were 167 × 10 × 3 mm3. Five specimens were tested for the tensile and flexural properties of each composite formulation.
X-ray Diffraction
Morphological Study
Studies on the morphology of the composites were carried out using a scanning electron microscope (SEM, WEGA-II TESCAN). The specimen was coated with a thin film (25 nm) of gold to avoid electrical charge accumulation during the examination and then analyzed at an accelerating voltage of 20 kV.
Result and Discussion
Thermal Behavior
TGA Analysis
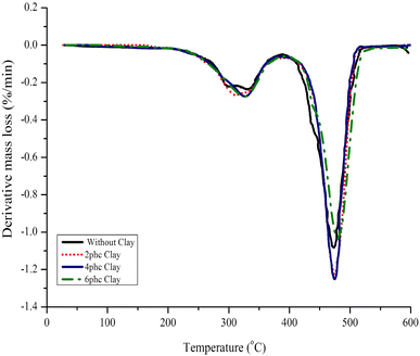
TGA thermograms of HDPE/RF composites with different OMMT content
Furthermore, it was observed that the addition of nanoclay to the HDPE/BF blends increased the thermal stability of the composites. It was found that the addition of clay slightly improved the onset of the degradation of the composites. The increase of thermal stability was attributed to the hindered diffusion of volatile decomposition products by the clay particles in the polymer matrix [25, 26, 27]. The most likely explanation is that the well dispersed individual layers of intercalated/exfoliated clay platelets form torturous path, which inhibit the passage of volatile degradation product from the polymer matrix [28]. Moreover, strong interaction between nanoclay particles and HDPE chains could restrict chain movements and consequently retard conveying free radicals produced during fragmentation process of polymer as a result of thermal degradation [29, 30].
Thermal properties of HDPE/RF composites with different OMMT content
| Sample code | T10 (°C) | T25 (°C) | T50 (°C) | Char yield (%) |
|---|---|---|---|---|
| A1 | 295.4 ± 9.67 | 377.7 ± 6.33 | 460.8 ± 14.28 | 16.29 ± 0.27 |
| A2 | 296.8 ± 12.42 | 378.5 ± 8.12 | 463.2 ± 13.61 | 19.13 ± 0.18 |
| A3 | 297.3 ± 10.53 | 380.3 ± 5.79 | 467.4 ± 11.15 | 20.47 ± 0.33 |
| A4 | 298.2 ± 11.08 | 381.1 ± 6.40 | 470.3 ± 12.43 | 21.64 ± 0.45 |
DTG curves of HDPE/RF composites with different OMMT content
Activation energies of HDPE/RF composites produced with different OMMT content
| Sample code | Stages | Temperature range (°C) | Activation energy (kJ/mol) |
|---|---|---|---|
| A1 | 1st | 305–360 | 67 |
| 2nd | 395–475 | 93 | |
| A2 | 1st | 305–365 | 71 |
| 2nd | 390–480 | 98 | |
| A3 | 1st | 305–370 | 75 |
| 2nd | 385–485 | 101 | |
| A4 | 1st | 305–375 | 78 |
| 2nd | 380–490 | 106 |
DSC Analysis
Thermal parameters for the studied formulations determined from DSC
| Sample code | Tm (°C) | Tc (°C) | Xc (%) |
|---|---|---|---|
| A1 | 134.3 ± 8.11 | 114.5 ± 5.33 | 34.89 ± 1.26 |
| A2 | 136.7 ± 6.72 | 115.8 ± 4.65 | 35.99 ± 0.85 |
| A3 | 137.2 ± 10.03 | 117.2 ± 5.09 | 36.78 ± 0.77 |
| A4 | 138.3 ± 5.49 | 118.1 ± 6.31 | 37.02 ± 1.19 |
The incorporation of 6 phc clay loading into the HDPE matrix resulted in an increase in the Tc to about 118.1 °C, with a degree of crystallinity (Xc) of 37.02%, which was due to heterogeneous nucleation of the nanoclays. The polymer molecular chains can crystallize by themselves through a self-nucleation effect (homogeneous nucleation) or by introducing a nucleating agent (heterogeneous nucleation) [21]. The nucleation effect is effective at low concentration (2 phc), but at higher content (6 phc) the high amount of fillers cannot effectively induce nucleation due to fillers–fillers contacts (agglomeration) and limited space for crystal nucleation/growth.
Fire Behavior
Flame data of HDPE/BF/OMMT nanocomposites
| Sample code | HRR (kW/m2) | TTI (s) | MLR (%) | BR (mm/min) | LOI (%) |
|---|---|---|---|---|---|
| A1 | 68.37 ± 3.19 | 34.12 ± 1.22 | 83.17 ± 4.11 | 46.29 ± 2.16 | 22.43 ± 0.83 |
| A2 | 55.91 ± 2.71 | 43.08 ± 2.08 | 78.33 ± 3.52 | 38.16 ± 1.44 | 27.58 ± 1.19 |
| A3 | 43.24 ± 3.04 | 52.65 ± 3.11 | 75.64 ± 1.88 | 29.73 ± 0.79 | 31.12 ± 1.05 |
| A4 | 37.59 ± 1.84 | 59.27 ± 2.67 | 71.31 ± 2.07 | 24.51 ± 1.03 | 34.06 ± 0.75 |
Mechanical Properties
Tensile strength and modulus of HDPE/BF composites at different loadings of OMMT
Flexural strength and modulus of HDPE/BF composites at different loadings of OMMT
X-ray Diffraction
XRD patterns of HDPE/BF composites with different OMMT content
Morphological Study
SEM micrographs of the nanocomposites fractured surfaces: a 2 phc OMMT, b 3 phc OMMT, c 5 phc OMMT
Conclusions
In this study, the thermal stability and combustion behavior of HDPE/BF/OMMT nanocomposites by TGA, DSC and CCT techniques were extensively investigated. The data from TGA analysis indicated that the OMMT greatly enhanced the thermal stability. The findings showed that the mechanical properties including tensile and flexural (strength and moduli) increased with increase in the OMMT content up to 2 phc, but then decreased. The maximum tensile strength and modulus values were found to be 33.58 and 3361.52 MPa for the composites filled with 2 phc OMMT. The char residues of the HDPE/BF blends gradually increased with increasing the OMMT content. The highest activation energy was found in the composites containing 6 phc OMMT. The results of DSC behavior of the nanocomposites revealed that the melting temperature (Tm), crystallization temperature (Tc), melting enthalpy (∆Hm), and crystallinity (Xc) of samples increased. Furthermore, the OMMT was an efficient flame retardant in the composites. The heat release rates, mass loss rate, and burning rate of the nanocomposites decreased in comparison with the HDPE/BF blends. The LOI of the composites considerably increased (22.43–34.06%) as the 6 wt% OMMT was incorporated into the composites. X-ray diffraction patterns indicated that the nanocomposites formed were intercalated, and also the samples containing 2 phc of nanoclay had higher order of intercalation and better dispersion. Based on the findings obtained from the present study, it can be said that the optimum content of the OMMT for the HDPE/BF composites is 2 phc.
References
- 1.Bledzki AK, Gassan J (1999) Composites reinforced with cellulose based fibers. J Polym Sci 24:221–274Google Scholar
- 2.Rowell RM, Sandi AR, Gatenholm DF, Jacobson RE (1997) Utilization of natural fibers in plastic composites: problem and opportunities in lignocellulosic composites. J Compos 18:23–51Google Scholar
- 3.Oksman K, Sain M (2008) Wood-polymer composites. Woodhead Publishing Ltd, Great Abington, p 366CrossRefGoogle Scholar
- 4.Tajvidi M, Takemura M (2009) Effect of fiber content and type, compatibilizer, and heating rate on thermogravimetric properties of natural fiber high density polyethylene composites. Polym Compos 30(9):1226–1233CrossRefGoogle Scholar
- 5.Kim HS, Kim S, Kim HJ, Yang HS (2006) Thermal properties of bio-flour filled polyolefin composites with different compatibilizing agent type and content. Thermochim Acta 451:181–188CrossRefGoogle Scholar
- 6.Yang HS, Wolcott MP, Kim HS, Kim HJ (2005) Thermal properties of lignocellulosic filler-thermoplastic polymer bio-composite. J Therm Anal Calorim 82:157–160CrossRefGoogle Scholar
- 7.Tjong SC (2006) Structural and mechanical properties of polymer nanocomposites: a review. J Mater Sci Eng 53:73–197CrossRefGoogle Scholar
- 8.Viswanathan V, Laha T, Balani K, Agarwal A, Seal S (2006) Challenges and advances in nanocomposite processing techniques: a review. J Mater Sci Eng 54:121–285CrossRefGoogle Scholar
- 9.Utracki LA, Sepehr M, Boccaleri E (2007) Synthetic layered nanoparticles for polymeric nanocomposites (PNCs): a review. J Polym Adv Technol 18:1–37CrossRefGoogle Scholar
- 10.Zhao Y, Wang K, Zhu F, Xue P, Jia M (2006) Properties of poly(vinyl chloride)/wood flour/montmorillonite composites: effects of coupling agents and layered silicate. J Polym Degrad Stabil 91:2874–2883CrossRefGoogle Scholar
- 11.Costache MC, Wang D, Heidecker MJ, Manias E, Wilkie CA (2006) The thermal degradation of poly(methyl methcrylate) nanocomposites with montmorillonite, layered double hydroxides and carbon nanotubes. Polym Adv Technol 17:272–280CrossRefGoogle Scholar
- 12.Wu Q, Lei Y, Clemons CM, Yao F, Xu Y, Lian K (2007) Properties of HDPE/clay/wood nanocomposites. J Plast Technol 27:108–115Google Scholar
- 13.Lei Y, Wu Q, Clemons CM, Yao F, Xu Y (2007) Influence of nanoclay on properties of HDPE/wood composites. J Appl Polym Sci 18:1425–1433Google Scholar
- 14.Han G, Lei Y, Wu Q, Kojima Y, Suzuki S (2008) Bamboo–fiber filled high density polyethylene composites; effect of coupling treatment and nanoclay. J Polym Environ 21:1567–1582Google Scholar
- 15.Hetzer M, Kee D (2008) Wood/polymer/nanoclay composites, environmentally friendly sustainable technology: a review. J Chem Eng 16:1016–1027Google Scholar
- 16.Ashori A, Nourbakhsh A (2009) Effects of nanoclay as a reinforcement filler on the physical and mechanical properties of wood based composite. Compos Mater 43(18):1869–1875CrossRefGoogle Scholar
- 17.Ghasemi I, Kord B (2009) Long-term water absorption behavior of polypropylene/wood flour/organoclay hybrid nanocomposite. Iran Polym J 18(9):683–691Google Scholar
- 18.Hemmasi A, Khademieslam H, Talaiepoor M, Ghasemi I, Kord B (2010) Effect of nanoclay on the mechanical and morphological properties of wood polymer nanocomposite. J Reinf Plast Compos 29(7):964–971CrossRefGoogle Scholar
- 19.Kord B (2010) Effect of organomodified layered silicates on flammability performance of HDPE/rice husk flour nanocomposite. J Appl Polym Sci 120:607–610CrossRefGoogle Scholar
- 20.Kord B, Hemmasi A, Ghasemi I (2011) Properties of PP/wood flour/organomodified montmorillonite nanocomposite. Wood Sci Technol 45:111–119CrossRefGoogle Scholar
- 21.Essabir H, Boujmal R, Ouadi BM, Qaiss AK (2016) Mechanical and thermal properties of hybrid composites: oil-palm fiber/clay reinforced high density polyethylene. Mech Mater 98:36–43CrossRefGoogle Scholar
- 22.Ibrahim ID, Jamiru T, Sadiku RE, Kupolati WK, Agwuncha SC (2016) Dependency of the mechanical properties of sisal fiber reinforced recycled polypropylene composites on fiber surface treatment, fiber content and nanoclay. J Polym Environ. doi: 10.1007/s10924-016-0823-2 Google Scholar
- 23.Ndiaye D, Tidjani A (2012) Effects of coupling agents on thermal behavior and mechanical properties of wood flour/polypropylene composites. J Compos Mater 46(24):3067–3075CrossRefGoogle Scholar
- 24.Zabihzadeh SM, Ebrahimi GH, Enayati A (2011) Effect of compatibilizer on mechanical, morphological, and thermal properties of chemi-mechanical pulp-reinforced PP composites. J Thermoplast Compos Mater 24:221–231CrossRefGoogle Scholar
- 25.Qin H, Zhang S, Zhao C, Feng M, Yang M, Shu Z, Yang S (2004) Thermal stability and flammability of polypropylene/montmorillonite composites. Polym Degrad Stab 85:807–813CrossRefGoogle Scholar
- 26.Lee SY, Kang IA, Doh GH, Kim WJ, Kim JS, Yoon HG, Wu Q (2008) Thermal, mechanical and morphological properties of polypropylene/clay/wood flour nanocomposites. Exp Polym Lett 2:78–87CrossRefGoogle Scholar
- 27.Guo J, Xu Y, Chen X, Hu S, He M, Qin S (2015) Influences of organic montmorillonite on the combustion behaviors and thermal stability of polyamide 6/polystyrene blends. High Perform Polym 27(4):392–401CrossRefGoogle Scholar
- 28.Biswal M, Mohanty S, Nayak SK (2011) Mechanical, thermal and dynamic-mechanical behavior of banana fiber reinforced polypropylene nanocomposites. Polym Compos 32(8):1190–1201CrossRefGoogle Scholar
- 29.Rajan A, Upadhyaya P, Chand N, Kumar V (2014) Effect of nanoclay on the thermal properties of compatibilized ethylene vinyl acetate copolymer/high-density polyethylene blends. J Thermoplast Compos Mater 27(5):650–662CrossRefGoogle Scholar
- 30.Devi RR, Gogoi K, Konwar BK, Maji TK (2013) Synergistic effect of nano TiO2 and nanoclay on mechanical, flame retardancy, UV stability, and antibacterial properties of wood polymer composites. Polym Bull 70:1397–1413CrossRefGoogle Scholar
- 31.Ayrilmis N, Kaymakci A, Ozdemir F (2013) Physical, mechanical, and thermal properties of polypropylene composites filled with walnut shell flour. J Ind Eng Chem 19:908–914CrossRefGoogle Scholar
Copyright information
Open AccessThis article is distributed under the terms of the Creative Commons Attribution 4.0 International License (http://creativecommons.org/licenses/by/4.0/), which permits unrestricted use, distribution, and reproduction in any medium, provided you give appropriate credit to the original author(s) and the source, provide a link to the Creative Commons license, and indicate if changes were made.





