Theoretical and Experimental Studies of N,N-Dimethyl-N′-Picryl-4,4′-Stilbenediamine
- 922 Downloads
- 1 Citations
Abstract
N,N-dimethyl-N′-picryl-4,4′-stilbenediamine (DMPSDA) was prepared, purified and crystallised in a form of black lustrous crystals, and its absorption and fluorescence spectra were recorded in cyclohexane, acetonitrile and dimethyl sulfoxide. Non-emissive intramolecular charge transfer state (ICT) was clearly observed in this molecule in all three solvents. Theoretical calculations demonstrating a betaine electronic structure of the trinitrophenyl group in the ground state of the molecule and a charge transfer nature of the long wavelength transition S0 → S1 supported the experimental observations of the ICT formation in the molecule.
Keywords
Intramolecular charge transfer FluorescenceAbbreviations
- DMPSDA
N,N-dimethyl-N′-picryl-4,4′-stilbenediamine
- ICT
intramolecular charge transfer
- DFT
density functional theory
- LYP
correlation functional of Lee, Yang, and Parr
- B3LYP
Becke’s three-parameter hybrid method with correlation functional of Lee, Yang, and Parr
- TD-B3LYP
time-dependent B3LYP
- DMA
dimethylamino
- TNP
trinitrophenyl
- EX
fluorescence excitation
- EM
fluorescence emission
- CH
cyclohexane
- ACN
acetonitrile
- DMSO
dimethyl sulfoxide
Introduction
We have previously discussed various time-scale processes occurring with 4,4′-disubstituted stilbenes after their irradiation [1, 2, 3]. We found that different 4,4′-disubstituted stilbenes exhibit different sensitivity to intramolecular donor-acceptor effects of substituents and medium polarity. All the investigated 4,4′-disubstituted stilbenes were divided into three groups according to their intramolecular stabilization of the excited 1 t* state. Those having strong donor dimethylamino (DMA) group at one phenyl ring and strong acceptor substituent at another phenyl ring constituted the third group called “push-pull stilbenes”. They were characterised by large charge delocalisation between donor and acceptor aromatic moieties, large dipole moment, low polarity 1p* state with preferential stabilisation of 1 t* compared to less polar 1p* state, very high activation barrier for the 1 t* → 1p* twisted transition, and net increase of the fluorescence quantum yield and fluorescence life-time with increase of solvent polarity. All these observations indicated completely different non-radiative relaxation pathway than the 1 t* → 1p* twisted transition observed in most stilbene compounds, which are not classified as “push-pull stilbenes” [1, 2, 3].
Actually, the third group has been formed by three investigated “push-pull stilbenes”, namely 4-dimethylamino-4′-cyanostilbene (DACS), 4-dimethylamino-4′-carbomethoxystilbene (DACMS) and 4-dimethylamino-4′-nitrostilbene (DANS). These three stilbenes exhibited very large Stock shifts, compared to the first and second groups [1, 2, 3]. In that case, the highly polarized excited state, which creates a huge dipole moment, is stabilised extensively by polar interactions (Stock shift value ∆E was found to be approximately 22–23 kcal/mol). Experimental observations of high fluorescence quantum yields and long fluorescence lifetimes in strongly polar solvents indicated a strongly preferred pathway toward the intramolecular charge transfer (ICT) formation in the competing photochemical processes starting from 1 t*. Assuming that this point holds in less polar solvents as well, the reduced fluorescence quantum yield and increased non-radiative decay rate is probably due to the insufficient stabilization of the ICT in these solvents. This can easily be understood by assuming that 1p* is less polar than ICT and 1 t* states, and thus increasing solvent polarity preferentially lowers a highly polar ICT state with respect to 1p*.
Although three aforementioned “push-pull” stilbenes were categorised into one group, they do not necessarily conform to the same relaxation mechanism. In fact, intramolecular charge transfer in these molecules may be observed as an emissive or non-emissive process dependent on the 4,4′-substitution pattern. In case of DANS, we assumed a non-emissive ICT state, which was attributed to a specific interaction of the nitro-group, which quenches the charge-transfer state emission [4, 5]. Actually, non-emissive ICT states were observed in polar solvents when the acceptor group is very powerful and has a low-lying anti-bonding orbital [4]. To generalise this observation, we prepared and studied a new “push-pull” stilbene having a relatively strong acceptor substituent, namely trinitrophenyl (TNP) group. This molecule has been disclosed only once in literature and only its UV absorption spectrum has been previously reported [6].
Herein, we report the synthetic preparation and experimental studies of this molecule, as well as theoretical calculations aimed at elucidating the absolute geometry of the most stable conformer, which might be responsible for the experimentally observed charge-transfer interactions in the ground state of the molecule.
Experimental
Reactants and Solvents
Reactants were either commercially available or freshly prepared as detailed in the Synthesis section. Commercially available organic solvents, namely cyclohexane (Sigma-Aldrich ACS spectrophotometric grade, ≥99 %), dimethyl sulfoxide (Sigma-Aldrich ACS spectrophotometric grade, ≥99 %) and acetonitrile (Sigma-Aldrich ACS spectrophotometric grade, ≥99 %), used for spectroscopy did not require any additional purification.
Apparatus and Methods
Semi-preparative flash chromatography used for purification of the compounds was performed with the Büchi Sepacore® flash chromatography system using 25 g silica gel cartridges (particle size 40–63 μm) and dichloromethane as an eluting solvent. 1H NMR spectra were run on 10 % (w/v) sample solutions in CDCl3 with (CH3) 4Si as an internal standard at room temperature using a 400 MHz Bruker Fourier transform spectrometer, equipped with a DMX AVANCE I system. UV absorption spectra were measured using an Agilent Cary 300 spectrophotometer, and the steady-state fluorescence spectra were recorded with Horiba Jobin Yvon FluoroLog®-3 modular spectrofluorometer and Agilent Cary Eclipse fluorescence spectrophotometer. The fluorescence excitation and emission spectra were corrected for instrumental sensitivity at different excitation and emission slits using the instrument internal excitation-emission matrix (EEM) correction [7]. A solution of quinine bisulphate in 0.1 N H2SO4 (Фf = 0.52) was taken as fluorescence standard for the determination of fluorescence quantum yields [8]. Constant-illumination fluorescence intensity decay curves at the photostationary steady-state equilibrium between the trans- and cis-isomers of DMPSDA were recorded with Shimadzu RF-5,301 spectrofluorometer equipped with the 150 W Xenon lamp as a radiation light source. The fluorescence decay at the photostationary steady-state equilibrium was monitored at the emission maximum of DMPSDA after excitation at the excitation maximum using typically 5-nm slit width for excitation and 5-nm slit width for emission. Analysis of the experimental data was performed using Origin® Pro 9.0 for Windows.
Fluorescence intensity decay curves were analysed with a polynomial fit for calculation of the trans-cis isomerization rate constants using a self-written routine within the Origin® Pro 9.0 for analysis of the first-order photochemical reaction rates.
Synthesis of N,N-Dimethyl-N′-Picryl-4,4′-Stilbenediamine
- (1)
Trans-4-Dimethylamino-4′-nitrostilbene
- (2)
Trans-4-Dimethylamino-4′-aminostilbene
- (3)
N,N-dimethyl-N′-picryl-4,4′-stilbenediamine
An equimolar mixture of 0.48 g (2 mmol) of trans-4-dimethylamino-4′-aminostilbene, prepared in a previous step, and 0.50 g (2 mmol) of 2-chloro-1,3,5-trinitrobenzene (Sigma-Aldrich 79,874) in 5 ml absolute ethanol, which yielded initially a clear solution, was left overnight with stirring The resulted black crystalline precipitate was collected by vacuum filtration on a Buchner funnel, washed with 10 % sodium bicarbonate solution, ultrapure water and then with petroleum ether (60–80°). The crude product was recrystallized from chlorobenzene, and then dried in a vacuum oven at 60° for about 2 h. Yield of the black crystalline product – 0.76 g (85 %). 1H NMR: δ 3.00 (Me2N, s, 6H); δ 6.88, δ 6.93 (CH = CH AB, d, vinyl 2H); δ 6.72, δ 7.89 (4-Me2N-Ar AA′XX′, dd, 4H); δ 7.33, δ 7.83 (4′-picrylamine-Ar AA′XX′, dd, 4H); δ 9.24 (picryl ring protons, s, 2H); δ 3.71 (NH).
Results and Discussion
Experimental Studies
Normalised absorption, excitation and emission spectra of trans-DMPSDA in different solvents: a CH, b ACN and c DMSO, and d the photostationary fluorescence decay curves under constant-illumination conditions in these three solvents
Fluorescence excitation and fluorescence emission spectra of trans-DMPSDA in three solvents at the different excitation and emission wavelengths: a CH, emission range 380–500 nm; excitation 275–350 nm; solid bold line – λem = 390 nm, λex = 320 nm; b ACN, emission range 400–520 nm; excitation 300–400 nm; solid bold line – λem = 420 nm, λex = 360 nm; and c DMSO, emission range 420–520 nm; excitation 300–400 nm; solid bold line – λem = 420 nm, λex = 360 nm
Absorption, fluorescence excitation and emission maximum wavelengths (λabs, λex and λem), fluorescence quantum yields (Φf) and apparent fluorescence decay rate constants (kapp) for N,N-dimethyl-N′-picryl-4,4′-stilbenediamine in acetonitrile (ACN), dimethyl sulfoxide (DMSO) and cyclohexane (CH) at room temperature
| Solvent | λabs (nm) | λ ex (nm) | λ em (nm) | Φf | kapp (s−1) |
|---|---|---|---|---|---|
| ACN | 360 | 360 | 420 | 0.009 | 0.643 |
| DMSO | 365 | 365 | 425 | 0.013 | 0.614 |
| CH | 350 | 350 | 390/410 | 0.001 | − |
The photostationary fluorescence decay of trans-DMPSDA is observed only in relatively polar solvents (ACN and DMSO) and originates from the non-radiative 1 t* → 1p* twisted transition, which is responsible for trans-cis isomerisation of the molecule and acts as a quenching funnel on fluorescence emission. CH is a non-polar solvent, and vibrational relaxation of the Franck-Condon state plays the primary role in its stabilisation of the excited state, thereby considerably slowing the 1 t* → 1p* transition [1, 2].
The measured fluorescence quantum yield values in all three solvents, shown in Table 1, are relatively low compared to the parent trans-4-dimethylamino-4′-aminostilbene [1, 2, 3]. We assume that part of the additional non-radiative losses are caused by the electronic energy transfer onto the TNP fragment, which intrinsically shows negligible fluorescence, due to the presence of an efficient conical intersection of the S1 state with the ground state S0 [10].
Theoretical Calculations
Theoretical calculations were conducted with the following software suites: Gaussian 03 [11], Gaussian 09 [12] and Turbomole 6.1 [13]. The ground state studies were carried out by the density functional theory (DFT) using the Becke’s Three Parameter Hybrid Method and the correlation functional of Lee, Yang, and Parr (LYP) with the correlation potentials VWM (III) (calculated in Gaussian 03 or Gaussian 09) and VWM (V) (calculated in Turbomole 6.1). The optimized structures were controlled by frequency calculations with the vibration analysis using Hessian matrix. The excited states were calculated by the Time Dependent B3LYP hybrid method for the ground state optimized structures.
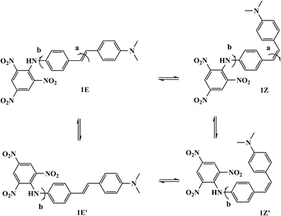
Stereoisomers 1E, 1E′, 1Z, 1Z′ of DMPSDA studied with the ab initio calculations
B3LYP optimized 3D structures of 1E, 1E′ and 1Z with the bond lengths
Absolute energy Eh, relative energy ∆E, dipole moment μg and number of negative Hessian of the equilibrium structures for isomers 1E, 1Z and 1E′calculated by B3LYP/6–31 + G (3df,2pd)
| Isomers | Eh, Hartree | ∆E, kcal/mol | μg, D | x |
|---|---|---|---|---|
| 1E | −1,574.7860481 | 0 | 10.5 | 0 |
| 1E′ | −1,574.7860106 | 0.024 | 10.3 | 0 |
| 1Z | −1,574.7780105 | 5.04 | 7.52 | 0 |
The S0 → S1 transition characteristics for the optimised isomers (Franck-Condon energy Eh FC, transition energy ∆E, the oscillator strength f, the excited state dipole moment μe, the state nature) calculated by TD-B3LYP/6–31 + G (3df,2pd)
| Isomers | Eh FC, Hartree | ∆E01 (f), eV | μe, D | State Nature |
|---|---|---|---|---|
| 1E | −1,574.7317932 | 1.48 (0.04) | 57.0 | Charge Transfer |
| 1E′ | −1,574.7319603 | 1.47 (0.04) | 56.1 | Charge Transfer |
| 1Z | −1,574.7240979 | 1.47 (0.02) | 49.5 | Charge Transfer |
Both trans-isomers 1E and 1E′of DMPSDA possess a planar geometry of the TNP-amino fragment and a weak hybridized dimethylamino group on the opposite stilbene ring. TNP rings are non-planar to the stilbene plane of symmetry. Torsion angles of the TNP rings are 23.2° for 1E and 23.0° for 1E′. The crystal structure of 2,4,6-trinitro-N-[4-(phenyldiazenyl) phenyl] aniline shows the similar geometry of the TNP ring with the torsion angle of 27.7° [14].
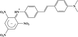
Betaine electronic structure of the TNP fragment of trans-DMPSDA
Conclusions
N,N-dimethyl-N′-picryl-4,4′-stilbenediamine (DMPSDA) was prepared in a form of lustrous black crystals, and its absorption and fluorescence spectra were recorded in cyclohexane, acetonitrile and dimethyl sulfoxide. Non-emissive intramolecular charge transfer (ICT) was clearly observed in this molecule at the longer wavelength in the absorption spectra in all three solvents. The measured fluorescence quantum yield values in all three solvents were found to be relatively low compared to the parent trans-4-dimethylamino-4′-aminostilbene. We assumed that part of the additional non-radiative losses are caused by the electronic energy transfer onto the TNP fragment, which intrinsically shows negligible fluorescence, due to the presence of an efficient conical intersection of the S1 state with the ground state S0. Theoretical calculations demonstrating a betaine electronic structure of the trinitrophenyl group in the ground state of the molecule and a charge transfer nature of the long wavelength transition S0 → S1 supported the aforementioned experimental observations of the ICT formation in the molecule.
Notes
Acknowledgements
This research is funded by the Singapore National Research Foundation and the publication is supported under the Campus for Research Excellence and Technological Enterprise (CREATE) programme (13–04–00364 А). The authors thank Huang Ruo Cheng, Tan Chong Yuan and Terence Mak of River Valley High School for their active participation in this project in the frame of the program for Singapore Science & Engineering Fair. In addition, the authors thank NTU for providing partial financial support to this program. Funding was also greatly appreciated from the Ministry of Education Tier 1 Grant: Photochrome aptamer switch assay: A universal bioassay device - RG54/13.
References
- 1.Papper V, Pines D, Likhtenshtein GI, Pines E (1997) Photophysical characterisation of trans-4,4′-disubstituted stilbenes”. J Photochem Photobiol A Chem 111:87–96CrossRefGoogle Scholar
- 2.V. Papper Substituted Stilbenes: Synthesis, Photophysical Properties and Biophysical Applications, Ph. D. Thesis, Department of Chemistry, Ben-Gurion University of the Negev, Beer-Sheva, Israel, 2000.Google Scholar
- 3.Papper V, Likhtenshtein GI (2001) Substituted stilbenes: a New view on well-known systems: New application in chemistry and biophysics”. J Photochem Photobiol A Chem 140:39–52CrossRefGoogle Scholar
- 4.Le Breton H, Bennetau B, Letard J-F, Lapouyade R, Rettig W (1996) Non-radiative twisted intramolecular charge transfer state in polar stilbenes”. J Photochem Photobiol A Chem 95:7–20CrossRefGoogle Scholar
- 5.Lapouyade R, Kuhn A, Letard J-F, Rettig W (1993) Multiple relaxation pathways in photoexcited dimethylaminonitro- and dimethylaminocyano-stilbenes”. Chem Phys Lett 208:48–64CrossRefGoogle Scholar
- 6.Chub NK, Simonov AM (1959) Dipolar ions formed by cleavage of a proton from the NH group. XIII. Compounds of stilbene series”. Zh Obshch Khim 29:2988–92Google Scholar
- 7.Horiba Scientific, NIST develops fluorescence standards with FluoroLog®, Fluorescence Technical Note FL-30Google Scholar
- 8.Meech SR, Phillips D (1983) Fluorescence standards”. J Photochem 23:193–207CrossRefGoogle Scholar
- 9.Likhtenshtein GI, Bishara R, Papper V, Uzan B, Fishov I, Gill D, Parola AH (1996) Novel fluorescence-photochrome labelling method in study of biomembrane dynamics”. J Biochem Biophys Methods 33:117–133CrossRefPubMedGoogle Scholar
- 10.Braun D, Rettig W (1997) “Excitation energy dependence of the kinetics of charge-transfer formation“. Chem Phys Lett 268:110–116CrossRefGoogle Scholar
- 11.Gaussian 03, Revision C.02, Frisch, M. J.; Trucks, G. W.; Schlegel, H. B.; Scuseria, G. E.; Robb, M. A.; Cheeseman, J. R.; Montgomery, Jr., J. A.; Vreven, T.; Kudin, K. N.; Burant, J. C.; Millam, J. M.; Iyengar, S. S.; Tomasi, J.; Barone, V.; Mennucci, B.; Cossi, M.; Scalmani, G.; Rega, N.; Petersson, G. A.; Nakatsuji, H.; Hada, M.; Ehara, M.; Toyota, K.; Fukuda, R.; Hasegawa, J.; Ishida, M.; Nakajima, T.; Honda, Y.; Kitao, O.; Nakai, H.; Klene, M.; Li, X.; Knox, J. E.; Hratchian, H. P.; Cross, J. B.; Bakken, V.; Adamo, C.; Jaramillo, J.; Gomperts, R.; Stratmann, R. E.; Yazyev, O.; Austin, A. J.; Cammi, R.; Pomelli, C.; Ochterski, J. W.; Ayala, P. Y.; Morokuma, K.; Voth, G. A.; Salvador, P.; Dannenberg, J. J.; Zakrzewski, V. G.; Dapprich, S.; Daniels, A. D.; Strain, M. C.; Farkas, O.; Malick, D. K.; Rabuck, A. D.; Raghavachari, K.; Foresman, J. B.; Ortiz, J. V.; Cui, Q.; Baboul, A. G.; Clifford, S.; Cioslowski, J.; Stefanov, B. B.; Liu, G.; Liashenko, A.; Piskorz, P.; Komaromi, I.; Martin, R. L.; Fox, D. J.; Keith, T.; Al-Laham, M. A.; Peng, C. Y.; Nanayakkara, A.; Challacombe, M.; Gill, P. M. W.; Johnson, B.; Chen, W.; Wong, M. W.; Gonzalez, C.; and Pople, J. A.; Gaussian, Inc., Wallingford CT, 2004Google Scholar
- 12.Gaussian 09, Revision A.02, Frisch, M. J.; Trucks, G. W.; Schlegel, H. B.; Scuseria, G. E.; Robb, M. A.; Cheeseman, J. R.; Montgomery, Jr., J. A.; Vreven, T.; Kudin, K. N.; Burant, J. C.; Millam, J. M.; Iyengar, S. S.; Tomasi, J.; Barone, V.; Mennucci, B.; Cossi, M.; Scalmani, G.; Rega, N.; Petersson, G. A.; Nakatsuji, H.; Hada, M.; Ehara, M.; Toyota, K.; Fukuda, R.; Hasegawa, J.; Ishida, M.; Nakajima, T.; Honda, Y.; Kitao, O.; Nakai, H.; Klene, M.; Li, X.; Knox, J. E.; Hratchian, H. P.; Cross, J. B.; Bakken, V.; Adamo, C.; Jaramillo, J.; Gomperts, R.; Stratmann, R. E.; Yazyev, O.; Austin, A. J.; Cammi, R.; Pomelli, C.; Ochterski, J. W.; Ayala, P. Y.; Morokuma, K.; Voth, G. A.; Salvador, P.; Dannenberg, J. J.; Zakrzewski, V. G.; Dapprich, S.; Daniels, A. D.; Strain, M. C.; Farkas, O.; Malick, D. K.; Rabuck, A. D.; Raghavachari, K.; Foresman, J. B.; Ortiz, J. V.; Cui, Q.; Baboul, A. G.; Clifford, S.; Cioslowski, J.; Stefanov, B. B.; Liu, G.; Liashenko, A.; Piskorz, P.; Komaromi, I.; Martin, R. L.; Fox, D. J.; Keith, T.; Al-Laham, M. A.; Peng, C. Y.; Nanayakkara, A.; Challacombe, M.; Gill, P. M. W.; Johnson, B.; Chen, W.; Wong, M. W.; Gonzalez, C.; and Pople, J. A.; Gaussian, Inc., Wallingford CT, 2004Google Scholar
- 13.Ahlrichs, R.; Bär, M.; Baron, H.–P.; Bauernschmitt, R.; Böcker, S.; Deglmann, P.; Ehrig, M.; Eichkorn, K.; Elliott, S.; Furche, F.; Haase, F.; Häser, M.; Horn, H.; Hättig, Ch.; Huber, Ch.; Huniar, U.; Kattannek, M.; Köhn, A.; Kölmel, Ch.; Kollwitz, M.; May, K.; Ochsenfeld, Ch.; Öhm, H.; Schäfer, A.; Schneider, U.; Sierka, M.; Treutler, O.; Unterreiner, B.; von Arnim, M.; Weigend, F.; Weis, P.; Weiss, H. Turbomole 5.9, Karlsruhe, 2008Google Scholar
- 14.Smith G, Wermuth UD (2011) 2,4,6-Trinitro-N-[4-(phenyldiazenyl) phenyl] aniline. Acta Crystallogr E 67:o948CrossRefGoogle Scholar
Copyright information
Open Access This article is distributed under the terms of the Creative Commons Attribution License which permits any use, distribution, and reproduction in any medium, provided the original author(s) and the source are credited.




