Ion Acoustic Solitary Waves and Double-Layers in a Plasma with Nonthermal Electrons and Positrons
- 152 Downloads
- 1 Citations
Abstract
The effects of nonthermal electron distribution and ion temperature are incorporated in the investigation of nonlinear ion acoustic waves in a pair-ion plasma. Sagdeev pseudo- potential method which takes into account the full nonlinearity of the plasma equations is used to study solitary wave solutions. It is shown that there is a region in parameter space where both negative and positive potential can coexist. For the fixed value of nonthermal electrons, it is found that the effect of increase in ion temperature is to reduce the range of co-existence of compressive and rarefactive solitons. Particular concentration of nonthermal electrons results in disappearance of rarefactive solitons while the decrease in ion temperature, at this concentration restores the lost rarefactive solitons. Also, the existence of rarefactive double layers solitons is investigated. It is found that the nonthermal electrons and ion-temperature play significant role in determining the region of the existence of double layers.
Keywords
Ion acoustic waves Solitons Nonlinear phenomena Sagdeev potentialIntroduction
The ion-acoustic (IA) waves and their underlying dynamics have been studied for several decades both theoretically and experimentally. Nonlinear theory for these waves was first considered in [1] where their basic features were studied using a mechanical analogy. It has been established that stationary ion-acoustic waves can exist in the form of periodic or solitary waves. The first experimental observation of ion-acoustic solitons was made by Ikezi et al. [2]. Subsequently, and because of quantitative discrepancies between theory and experiment, the nonlinear ion-acoustic wave theory has been developed to include the effects of a finite ion temperature [3, 4] and those due to a trapped electron population [5, 6], and high-order nonlinearity [7]. On another side, a great deal of attention has been devoted to the study of different types of collective processes in electron–positron–ion plasmas [8, 9, 10, 11, 12, 13, 14, 15, 16, 17, 18, 19, 20, 21, 22, 23, 24, 25, 26, 27, 28, 29]. It is well known that when positrons are introduced into an electron–ion plasma the response of the latter changes significantly. In contrast to the usual two-component plasma, it has been observed that the nonlinear waves in plasmas with an additional positron component behave differently. Such pair (electron and positron)-ion plasmas are common in supernovae, pulsar environments, cluster explosions, active galactic nuclei, etc.
Numerous observations clearly indicate the presence of energetic electrons as ubiquitous in a variety of astrophysical plasma environments and measurements of their distribution functions revealed them to be highly non thermal. Non thermal distributions are turning out to be a very common and characteristic feature of space plasmas where coherent nonlinear waves and structures are expected to play an important role. Such non thermal populations may be distributed isotropically in velocities or possess a net streaming motion with respect to the background plasma, and their presence has been confirmed by many observations of space plasmas [30, 31, 32, 33]. Observations made by the Viking spacecraft [34] and Freja satellite [35] have found electrostatic solitary structures in the magnetosphere with density depressions. Motivated by these events, Cairns et al. [36] showed that the presence of a non thermal distribution of electrons may change the nature of ion sound solitary structures and allow the existence of rarefactive ion-acoustic solitary structures very like those observed by Freja and Viking. Some recent theoretical work focused on the effects of particle non thermality on different types of linear and nonlinear collective processes [37, 38, 39, 40, 41, 42, 43, 44, 45, 46]. However and to the best of our knowledge, nonlinear ion acoustic solitary waves in a plasma with non thermal electrons and positrons have never been addressed in the plasma literature. Therefore, it seems worthwhile to present a theoretical work to investigate IA solitary waves in a plasma with non thermal electrons and positrons and, in particular, to identify the conditions that favour their existence.
Basic Equations
Here and in the following, j = i, e, p stands for ions, electrons and positrons, T j are the temperatures, m j the masses, e is the elementary charge, \( \sigma = \frac{{T_{i} }}{{T_{eff} }} \), in which T eff is the effective temperature of the plasma, defined by \( T_{eff} = \frac{{n_{ \circ i} }}{{\frac{{n_{ \circ e} }}{{T_{e} }} + \frac{{n_{ \circ p} }}{{T_{P} }}}} \) [48, 49, 50]. The ion number density n, the ion fluid velocity u, the pressure P, and the electrostatic potential ϕ are normalized, respectively, by n oi (the unperturbed ion density), \( c_{i} = \sqrt {T_{eff} /m} ,\,n_{ \circ i} T_{i} \,{\text{and}}\,\,T_{eff} /e \). The time t and the spatial variable x are normalized by \( \omega_{pi}^{ - 1} = \sqrt {m_{i} /4\pi n_{0} e^{2} } \) and \( \lambda_{D} = \sqrt {T_{eff} /4\pi n_{0} e^{2} } \,\, \), respectively. We assume that P = n 3 for adiabatic process. Note that it is well known that any thermodynamic process which is typically characterized by a relatively faster change of state so that the system undergoing change does not have time to exchange significant amount of heat with its surroundings is called an adiabatic process. In fact, Plasma collective behavior takes the form of different types of waves, characterized by frequency ω and wave-vector k. Depending on the phase velocity compared to the thermal velocity of the media v th , diverse equation of states must be applied leading to various waves. When ω/k ≪ v th , the particles have enough time to thermalize the plasma causing a constant temperature and validating the isothermal equation of state p = nT. In the opposite limit ω/k ≫ v th , the particle movement—and thus the heat flow—is negligible during the characteristic time of the wave (~1/ω) compared to the wavelength of the actual wave. In this case the adiabatic equation of state \( \frac{p}{{n^{\gamma } }} = {\text{constant}} \) is applicable where γ = (d + 2)/d is the specific heat ratio and d stands for the dimensionality of the problem (for our one-dimensional problem, γ = 3). For ion acoustic waves for which the particle mean free paths are small compared to the wavelength, the ion adiabaticity is thus well- justified [51].
Note that the ion-acoustic wave arises due to the restoring force provided by the electron thermal motion, while the inertia is due to the ion mass. In practice, non thermality means that a fraction of the electronic component deviates from its Maxwellian thermodynamic equilibrium by some energizing process such as (for example) turbulence or double-layers self-consistent electric fields. Interestingly, the ion-acoustic mode may get modified as there is a change in its restoring force.
There is on the positive potential side an upper limit, \( \phi_{c} = \frac{1}{2}(M - \sqrt {3\sigma } )^{2} \), which changes only with σ for given M.
Numerical Investigation and Discussion
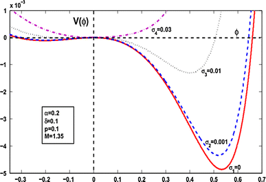
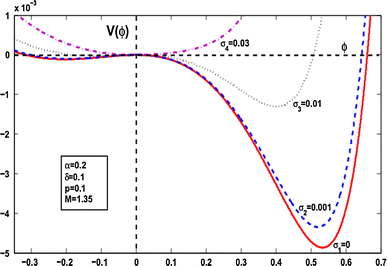
Sagdeev potential V(ϕ) with respect to ϕ for different values of σ. The parameters are indicated on the figure
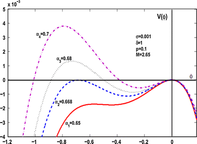
Sagdeev potential V(ϕ) with respect to ϕ for different values of α. The parameters are indicated on the figure
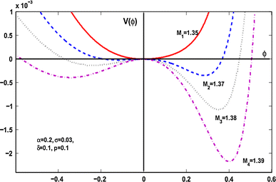
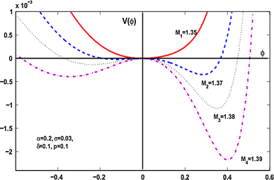
Sagdeev potential V(ϕ) with respect to ϕ for different values of M. The parameters are indicated on the figure
Effect of M and α on the coexistence of rarefactive (R) and compressive (C) IA solitons, with σ = 0.0001, p = 0.1, and δ = 0.1
| M\α | 0.15 | 0.2 | 0.25 | 0.3 |
|---|---|---|---|---|
| 1.23 | – | – | – | – |
| 1.25 | C | – | – | – |
| 1.32 | R,C | – | – | – |
| 1.33 | R,C | C | – | – |
| 1.36 | R,C | R,C | – | – |
| 1.42 | R,C | R,C | C | – |
| 1.54 | R,C | R,C | R,C | C |
| 1.6 | R,C | R,C | R,C | R,C |
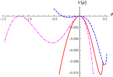
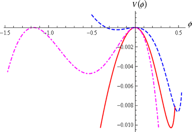
Sagdeev potential V(ϕ) with respect to ϕ, with δ = p = σ = 0.1. Solid line: α = 0.15, M = 1.506. Dashed line: α = 0.25, M = 1.5825. Dash-dotted line: α = 0.5, M = 3.63
Sagdeev potential V(ϕ) with respect to ϕ for different values of α
Sagdeev potential V(ϕ) with respect to ϕ for different values of σ
It is obvious that in the small amplitude limit, A 2 is always negative and A 3 is always positive. So, there exists only DL with negative potential. This result also is in conformity with the obtained results in Figs. 4, 5, 6 for long amplitude IA-DLs. It is obvious that the domain of allowable double layers depend drastically on the plasma parameters and, in particular, on the nonthermal electron distribution and ion temperature effects. In view of Eqs. (16–20), it becomes evident that our plasma model can admit both large and small amplitude ion acoustic double layers with only negative potential.
Conclusion
To conclude, localized ion-acoustic waves have been addressed in a plasma having warm fluid ions, non thermal electrons, and thermal positrons. Our results reveal that in such a plasma, ion-acoustic solitons as well as double-layers may exist. Their spatial patterns depend sensitively on the degree of electron non thermality and ion temperature. In particular, as the non thermal parameter α increases, higher Mach numbers are involved for the coexistence of rarefactive and compressive ion-acoustic solitary potentials. Under certain conditions, the ion-acoustic wave develops into a spatially localized double-layer (DL) structure. The latter occur naturally in a variety of space plasma environments (aurorae, solar wind, extra-galactic jets, etc.). The potential jump that they can sustain over a narrow region can energize and accelerate charged particles. Occurrence of the IA-DLs is very sensitive to the electron non thermality and the addition of a small concentration of non thermal electrons can even prevent their formation, giving rise to localized solitary potentials. Similarly, an increase of the ion temperature may destroy these IA-DLs favoring therefore the emergence of IA solitary waves. The ranges of different plasma parameters used in this investigation are very wide. Thus the results of the present investigation may help to explain the basic features of nonlinear localized ion-acoustic waves in polar cusp region of pulsars and around active galactic nuclei where e–p–i plasma can exist. These results can also help to understand nonlinear structures in plasmas containing nonthermal electrons, as in certain heliospheric environments.
References
- 1.R.Z. Sagdeev, in Reviews of plasma physics, vol. 4, ed. by M.A. Leontovich (Consultants Bureau, New York, 1966), p. 23Google Scholar
- 2.H. Ikezi, R. Taylor, D. Baker, Phys. Rev. Lett. 25, 11 (1970)ADSCrossRefGoogle Scholar
- 3.F.D. Tappert, Phys. Fluids 15, 2446 (1972)ADSCrossRefGoogle Scholar
- 4.S. Tagare, Plasma Phys. 15, 1247 (1973)ADSCrossRefGoogle Scholar
- 5.H. Schamel, Plasma Phys. 14, 205 (1972)CrossRefGoogle Scholar
- 6.H. Schamel, J. Plasma Phys. 9, 377 (1973)ADSCrossRefGoogle Scholar
- 7.S. Watanabe, J. Phys. Soc. Jpn. 44, 611 (1978)ADSCrossRefGoogle Scholar
- 8.A.D. Verga, C. Ferro Fontán, Phys. Lett. A 101, 494 (1984)ADSCrossRefGoogle Scholar
- 9.P.K. Shukla, N.N. Rao, M.Y. Yu, N.L. Tsintsadze, Phys. Rep. 135, 1 (1986)ADSCrossRefGoogle Scholar
- 10.M.Y. Yu, P.K. Shukla, L. Stenflo, Astrophys. J. 309, L63 (1986)ADSCrossRefGoogle Scholar
- 11.F.B. Rizzato, J. Plasma Phys. 40, 289 (1988)ADSCrossRefGoogle Scholar
- 12.T. Tajima, T. Taniuti, Phys. Rev. A 42, 3587 (1990)ADSCrossRefGoogle Scholar
- 13.F.C. Michel, Theory of neutron star magnetospheres (Chicago University Press, Chicago, 1991)Google Scholar
- 14.P.K. Shukla, N.L. Tsintsadze, L.N. Tsintsadze, Phys. Fluids B5, 811 (1993)Google Scholar
- 15.P.K. Shukla, L. Stenflo, Astrophys. Space Sci. 209, 323 (1993)ADSMATHCrossRefGoogle Scholar
- 16.L.N. Tsintsadze, P.K. Shukla, Plasma Phys. Rep. 19, 134 (1993)ADSGoogle Scholar
- 17.V.I. Berezhiani, M.Y. El- Ashry, U.A. Mofiz, Phys. Rev. E 50, 448 (1994)ADSCrossRefGoogle Scholar
- 18.L.N. Tsintsadze, N.L. Tsintsadze, P.K. Shukla, L. Stenflo, Astrophys. Space Sci. 222, 259 (1994)ADSMATHCrossRefGoogle Scholar
- 19.S.I. Popel, S.V. Vladimirov, P.K. Shukla, Phys. Plasmas 2, 716 (1995)ADSCrossRefGoogle Scholar
- 20.J. Srinivas, S.I. Popel, P.K. Shukla, J. Plasma Phys. 55, 209 (1996)ADSCrossRefGoogle Scholar
- 21.G.S. Lakhina, F. Verheest, Astrophys. Space Sci. 253, 97 (1997)ADSMATHCrossRefGoogle Scholar
- 22.A.M. Mirza, Phys. Plasmas 7, 3588 (2000)ADSCrossRefGoogle Scholar
- 23.A.A. da Costa, D.A. Diver, G.A. Stewart, Astron. Astrophys. 366, 129 (2001)ADSCrossRefGoogle Scholar
- 24.Q. Haque, H. Saleem, J. Vranjes, Phys. Plasmas 9, 474 (2002)ADSCrossRefGoogle Scholar
- 25.H. Saleem, Q. Haque, J. Vranjes, Phys. Rev. E 67, 057402 (2003)ADSCrossRefGoogle Scholar
- 26.R.S. Tiwari, A. Kaushik, M.K. Mishra, Phys. Lett. A 365, 335 (2007)ADSCrossRefGoogle Scholar
- 27.R.S. Tiwari, Phys. Lett. A 372, 3461 (2008)ADSMATHCrossRefGoogle Scholar
- 28.S. Ghosh, R. Bharuthram, Astrophys. Space Sci. 314, 121 (2008)ADSMATHCrossRefGoogle Scholar
- 29.H.R. Pakzad, Phys. Lett. A 373, 847 (2009)ADSMATHCrossRefGoogle Scholar
- 30.M.V. Goldman, M.M. Oppenheim, D.L. Newman, Nonlinear Process. Geophys. 6, 221 (1999)ADSCrossRefGoogle Scholar
- 31.W.C. Feldman, S.J. Anderson, S.J. Bame, S.P. Gary, J.T. Gosling, D.J. McComas, M.F. Thomsen, G. Paschmann, M.M. Hoppe, J. Geophys. Res. 88, 96 (1983). doi: 10.1029/JA088iA01p00096 ADSCrossRefGoogle Scholar
- 32.R. Lundlin, A. Zakharov, R. Pellinen, H. Borg, B. Hultqvist, N. Pissarenko, E.M. Dubinin, S.W. Barabash, I. Liede, H. Koskinen, Nat. Lond. 341, 609 (1989)ADSCrossRefGoogle Scholar
- 33.Y. Futaana, S. Machida, Y. Saito, A. Matsuoka, H. Hayakawa, J. Geophys. Res. 108, 151 (2003). doi: 10.1029/2002JA009366 CrossRefGoogle Scholar
- 34.R. Boström, IEEE Trans. Plasma Sci. 20, 756 (1992)ADSCrossRefGoogle Scholar
- 35.P.O. Dovner, A.I. Eriksson, R. Boström, B. Holback, Geophys. Res. Lett. 21, 1827 (1994)ADSCrossRefGoogle Scholar
- 36.R.A. Cairns, A.A. Mamun, R. Bingham, R. Boström, R.O. Dendy, C.M.C. Nairn, P.K. Shukla, Geophys. Res. Lett. 22, 2709 (1995)ADSCrossRefGoogle Scholar
- 37.S. Ghosh, R. Bharuthram, M. Khan, M.R. Gupta, Phys. Plasmas 11, 3602 (2004)ADSCrossRefGoogle Scholar
- 38.L.P. Zhang, J.K. Xue, Phys. Plasmas 12, 042304 (2005)ADSCrossRefGoogle Scholar
- 39.J.K. Xue, L.P. Zhang, Phys. Plasmas 13, 022104 (2006)ADSCrossRefGoogle Scholar
- 40.W.F. El-Taibany, I. Kourakis, Phys. Plasmas 13, 062302 (2006)ADSCrossRefGoogle Scholar
- 41.W.F. El-Taibany, M. Wadati, R. Sabry, Phys. Plasmas 14, 032304 (2007)ADSCrossRefGoogle Scholar
- 42.M. Tribeche, R. Amour, Phys. Plasmas 14, 103707 (2007)ADSCrossRefGoogle Scholar
- 43.M. Tribeche, G. Boumezoued, Phys. Plasmas 15, 053702 (2008)ADSCrossRefGoogle Scholar
- 44.H. Hakimi Pajouh, H. Abbasi, Phys. Plasmas 15, 103705 (2008)ADSCrossRefGoogle Scholar
- 45.H. Alinejad, Astrophys. Space Sci. 325, 209 (2010)ADSMATHCrossRefGoogle Scholar
- 46.H. Alinejad, Astrophys. Space Sci. 327, 131 (2010)ADSMATHCrossRefGoogle Scholar
- 47.A.A. Mamun, Phys Rev. E 55, 1852 (1997)ADSCrossRefGoogle Scholar
- 48.H.K. Malik, Phys. Plasmas 15, 072105 (2008)ADSCrossRefGoogle Scholar
- 49.H.K. Malik, K. Singh, IEEE Trans. Plasma Sci. 33, 1995 (2005)ADSCrossRefGoogle Scholar
- 50.Y. Nishida, Phys. Fluids 27, 2176 (1984)ADSCrossRefGoogle Scholar
- 51.F.F. Chen, Introduction to plasma physics (Plenum, New York, 1974)Google Scholar
- 52.A.A. Mamun, Eur. Phys. J. D. 11, 143 (2000)ADSGoogle Scholar
- 53.R. Sabry, Phys. Plasmas 16, 072307 (2009)ADSCrossRefGoogle Scholar





