Abstract
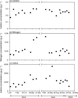
Brown algal species are among the most efficient iodine accumulators and thus heavily influence the biogeochemical cycling of iodine in coastal environments. Previously, we reported seasonal variability in iodine concentrations in the brown alga Ecklonia cava collected from the Japanese coast over a 2-year period. In this study, we sought to identify the factors controlling this observed variability by investigating the relationships between the concentrations of iodine and major organic compounds (carbohydrates and fatty acids). The concentrations of total carbohydrates and individual constituent monosaccharides showed no significant correlations with iodine concentration, implying that carbohydrate concentration and composition are not the dominant controls on iodine concentration in E. cava. However, fucose concentrations were significantly correlated when data points of highest iodine concentrations were removed, potentially suggesting some influence of structural carbohydrate on iodine variability. Significant positive correlations with iodine concentration were only observed in odd-chain fatty acids, which are known to be bacterial biomarkers; in particular, the C17:1 fatty acid showed the highest correlation (r = 0.83). The concentrations of the remaining fatty acids, as well as total concentration of fatty acids, did not correlate significantly with iodine concentrations. Our results suggest that, in general, the concentration and composition of fatty acids do not directly influence iodine variability and that iodine concentrations in E. cava are predominantly controlled by bacteria living on its surface.
This is a preview of subscription content, access via your institution.





References
Amachi S, Mishima Y, Shinoyama H, Muramatsu Y, Fujii T (2005) Active transport and accumulation of iodide by newly isolated marine bacteria. Appl Environ Microbiol 71:741–745
Ar Gall E, Küpper FC, Kloareg B (2004) A survey of iodine content in Laminaria digitata. Bot Mar 47:30–37
Armstrong E, Rogerdon A, Leftley JW (2000) The abundance of heterotrophic protists associated with intertidal seaweeds. Estuar Coast Shelf Sci 50:415–424
Barbeyron T, L’Haridon S, Michel G, Czjzek M (2008) Mariniflexile fucanivorans sp. nov., a marine member of the Flavobacteriaceae that degrades sulphated fucans from brown algae. Iut J Syst Evol Micr 58:2107–2113
Bengtsson MM, Sjotub K, Øvreås L (2010) Seasonal dynamics of bacterial biofilms on the kelp Laminaria hyperborea. Aquat Microb Ecol 60:71–83
Bianchi TS, Cannuel EA (2011) Chemical biomarkers in aquatic ecosystems. Princeton University Press, Princeton, p 396
Bisgrove SR, Kropf DL (2001) Cell wall deposition during morphogenesis in fucoid algae. Planta 212:648–658
Carpenter LJ (2003) Iodine in the marine boundary layer. Chem Rev 103:4953–4962
Charpy-Roubaud C, Sournia A (1990) The comparative estimation of phytoplanktonic, microphytobenthic and microphytobenthic primary production in the oceans. Mar Microb food webs 4:31–57
Dalsgaard J, John MS, Kattner G, Müller-Navarra D, Hagen W (2003) Fatty acid trophic markers in the pelagic marine environment. Adv Mar Biol 46:225–340
Descamps V, Colin S, Lahaye M, Jam M, Richard C, Potin P, Barbeyron T, Yvin JC, Kloareg B (2005) Isolation and culture of a marine bacterium degrading the sulfated fucans from marine brown algae. Mar Biotechnol 8:27–39
Fleurence J, Gutbier G, Mabeau S, Leray C (1994) Fatty acids from 11 marine macroalgae of the French Brittany coast. J Appl Phycol 6(5–6):527–532. https://doi.org/10.1007/BF02182406
Fuge R, Johnson CC (2015) Iodine and human health, the role of environmental geochemistry and diet, a review. Appl Geochem 63:282–302
Hama T, Yanagi K (2001) Production and neutral aldose composition of dissolved carbohydrates excreted by natural marine phytoplankton populations. Limnol Oceanogr 46:1945–1955
Haroun R, Yokohama Y, Aruga Y (1989) Annual growth cycle of the brown alga Ecklonia cava in central Japan. Sci Mar 53:349–356
Hasegawa H, Kakiuchi H, Akata N, Ohtsuka Y, Hisamatsu S (2017) Regional and global contributions of anthropogenic iodine-129 in monthly deposition samples collected in Northeast Japan between 2006 and 2015. J Environ Radioact 171:65–73
Hou X, Yan X (1998) Study on the concentration and seasonal variation of inorganic elements in 35 species of marine algae. Sci Total Environ 222:141–156
Kayama M, Araki S, Sato S (1989) Lipids of marine plants. In: Ackman RG (ed) Marine biogenic lipids, fats and oils. CRC Press, Boca Raton, p 348
Khotimchenko SV, Vaskovsky VE, Titlyanova TV (2002) Fatty acids of marine algae from the Pacific coast of North California. Bot Mar 45:17–22
Küpper FC, Carpenter LJ, McFiggans GB, Palmer CJ et al (2008) Iodide accumulation provides kelp with an inorganic antioxidant impacting atmospheric chemistry. Proc Natl Acad 105:6954–6958
Küpper FC, Carrano CJ (2019) Key aspects of the iodine metabolism in brown algae: a brief critical review. Metallomics 11:756–764
Kloareg B, Quatrano RS (1988) Structure of the cell walls of marine algae and ecophysiological functions of the matrix polysaccharides. Oceanogr Annu Rev Mar Sci 26:259–315
Leblanc C, Colin C, Cosse A, Delage L, la Barre S, Morin P, Fiévet B, Voiseux C, Ambroise Y, Verhaeghe E, Amouroux D, Donard O, Tessier E, Potin P (2006) Iodine transfers in the coastal marine environment: the key role of brown algae and of their vanadium-dependent haloperoxidas. Biochimie 88:1773–1785
Matanjun P, Mohamed S, Mustapha NM, Muhammad K (2009) Nutrient content of tropical edible seaweeds, Eucheuma cottonii, Caulerpa lentillifera and Sargassum polycystum. J Appl Phycol 21:75–80
Nitschke U, Dixneuf S, Ruth AA, Schmid M, Stengel DB (2013) Molecular iodine (I2) emission from two Laminaria species (Phaeophyceae) and impact of irradiance and temperature on I2 emission into air and iodide release into seawater from Laminaria digitata. Mar Environ Res 92:102–109
Nitschke U, Stengel DB (2014) Iodine contributes to osmotic acclimatisation in the kelp Laminaria digitata (Phaeophyceae). Planta 239:521–530
Nitschke U, Stengel DB (2015) A new HPLC method for the detection of iodine applied to natural samples of edible seaweeds and commercial seaweed food products. Food Chem 172:326–334
Nitschke U, Walsh P, McDaid J, Stengel DB (2018) Variability in iodine in temperate seaweeds and iodine accumulation kinetics of Fucus vesiculosus and Laminaria digitata (Phaeophyceae, Ochrophyta). J Phycol 54:114–125
Russell NJ, Nichols DS (1999) Polyunsaturated fatty acids in marine bacteria—a dogma rewritten. Microbiol 145:767–779
Saenko GN, Kravtsova YY, Ivanenko VV, Sheludko S (1978) Concentration of iodine and bromine by plants in the seas of Japan and Okhotsk. Mar Biol 47:243–250
Saiz-Lopez A, Plane JMC, Baker AR, Carpenter JL, von Glasow R, Gomez-Martín JC, McFiggans G, Saunders RW (2012) Atmospheric chemistry of iodine. Chem Rev 112:1773–1804
Satoh Y, Wada S, Hisamatsu S (2018) Seasonal variations in iodine concentrations in a brown alga (Ecklonia cava Kjellman) and a seagrass (Zostera marina L.) in the northwestern Pacific coast of central Japan. J Oceanogr 74:339–445
Snyder G, Aldahan A, Possnert G (2010) Global distribution and long-term fate of anthropogenic 129I in marine and surface water reservoirs. Geochem Geophys Geosyst 11:1–19
Stiger-Pouvreau V, Bourgougnon N, Deslandes E (2016) Carbohydrates from seaweeds. In: Fleurence J, Levine I (eds) Seaweed in health and disease prevention. Academic Press, NY pp, pp 223–274
Suzuki T, Otosaka S, Kuwabara J, Kawamura H, Kobayashi T (2013) Iodine-129 concentration in seawater near Fukushima before and after the accident at the Fukushima Daiichi Nuclear Power Plant. Biogeosciences 10:3839–3847
Verhaeghe EF, Fraysse G-KJ, Wu T, Deves G et al (2008) Microchemical imaging of iodine distribution in the brown alga Laminaria digitata suggests a new mechanism for its accumulation. J Biol Inorg Chem 13:257–269
Yokohama Y, Tanaka J, Chihara M (1987) Productivity of the Ecklonia cava community in a bay of Izu Peninsula on the Pacific coast of Japan. Bot Mag Tokyo 100:129–141
Yoshimura K, Ogawa T, Hama T (2009) Degradation and dissolution properties of photosynthetically-produced phytoplankton lipid materials in early diagenesis. Mar Chem 114:11–18
Williams SL, Smith JE (2007) A global review of the distribution, taxonomy, and impacts of introduced seaweeds. Annu Rev Ecol Evol Syst 38:327–359
Acknowledgments
We wish to sincerely thank Dr. Shinji Ueda and Dr. Shun’ichi Hisamatsu for providing insightful suggestions and advice for improving our manuscript. This study was carried out as part of a joint research with the Japanese Association for Marine Biology (JAMBIO).
Author information
Affiliations
Corresponding author
Additional information
Publisher’s note
Springer Nature remains neutral with regard to jurisdictional claims in published maps and institutional affiliations.
Rights and permissions
About this article
Cite this article
Satoh, Y., Wada, S. Using organic compounds to assess the dominant controls on seasonal iodine variability in the brown alga Ecklonia cava in the northwestern Pacific coast of central Japan. J Appl Phycol 32, 519–527 (2020). https://doi.org/10.1007/s10811-019-01912-8
Received:
Revised:
Accepted:
Published:
Issue Date:
Keywords
- Iodine
- Phaeophyta
- Ecklonia cava
- Carbohydrate
- Fatty acid
- Bacteria